高精度冷轧板型控制与装备技术

“高精度冷轧板形控制与装备技术”研究针对汽车板、家电板、电工钢等对冷轧带钢平直度和边部减薄越来越高的质量需求,旨在通过板带材变形理论、板形调控功效、多变量优化算法等研究,开发突破板形目标曲线自适应设定、多变量优化闭环控制、调节机构动态替代控制、边部减薄控制等关键技术,形成冷轧带钢板形控制核心技术体系,实现工业应用与技术推广。
冷轧机板形控制核心技术具有典型的多变量、多控制回路、非线性、强耦合、时变性强的特征,是冶金领域高科技产品的代表之一。现代化的主流板形控制冷轧机通常具备多种板形控制的调节机构,如轧辊倾斜控制、工作辊/中间辊弯辊控制、工作辊/中间辊窜辊和工作辊分段冷却控制,众多的调节机构是实现高精度板形控制的保证,但也为实际的控制带来了很大的难题。深入研究冷轧板形控制系统的核心模型,制定合理有效的板形控制策略,开发适用于实际冷轧带钢生产的板形控制系统,对提高我国冷轧板形控制水平具有重要的意义。
中国从上世纪70年初开始从事冷轧板形控制核心技术研究,多年来中国冷轧生产线的板形控制系统全部依赖进口。德国、瑞典、日本等国外供应商出于对核心技术的保密和达到技术垄断的目的,对板形控制系统中的关键模型通常采取了“黑箱”的形式。经过攻关团队多年来不断的研究与实践,从板形理论、板形工艺、控制系统、数学模型、系统集成等诸多方面展开全方位、综合性的研究与开发,使中国成为世界上少数可以提供全套冷轧板形核心控制技术的国家。
针对板带材变形过程与板形调控功效、多变量优化方法等内容进行了理论研究,获得了各调节机构对于带钢板形的影响规律,形成了适于工业应用的快速优化算法,为板形闭环控制奠定了基础。
板形控制的前提是对各种板形调节手段性能的正确认识,调控功效作为闭环反馈控制系统的基础,是板形调节机构对板形影响规律的量化描述。研究各个板形调节机构对各个测量段处板形的影响规律,以此为基础,再结合各个测量段处的板形偏差做整体的最优控制计算,求解各个板形调节机构的最优调节量。

1.1板带材变形过程与板形调控功效

板形调控功效的获取分为两个过程,首先通过有限元仿真模拟得到系数的先验值,然后不断通过自学习过程来改进功效系数。以冷轧轧制过程为对象,选用生产现场实际轧制工艺参数,制定辊系和带钢网格的数量与分布策略,合理设定轧辊和轧件的材料力学性能参数,给出张力及弯辊力等力能载荷的施加方法,采用ANSYS/LS-DYNA软件建立了带钢冷轧过程三维有限元模型。轧后带钢实测横向厚度曲线与模拟计算的厚度分布曲线趋势一致,绝对误差小于11μm,相对误差小于1%。
分别给定不同调节机构的设定值进行模拟测试。以弯辊力为例,将工作辊弯辊力值从零逐渐增大到工程允许范围。弯辊力较小时,轧制压力在整个接触区域近似呈马鞍形分布,随着弯辊力的增加,变为凸字形分布。
由有限元仿真模型可以得到轧后带钢纵向长度在宽度方向的分布,采用相对长度差法可以计算出当前带钢的板形实际分布。根据同种调节机构的不同设定值偏差以及板形变化,就可以得到当前工况下的板形调控功效先验值。但调控功效系数受带钢规格、工艺设备状态等因素的影响较大,以先验值为基础进行在线自学习就显得尤为重要。
轧制过程生产数据关联关系复杂且随机扰动大,正交信号校正(OSC)将自变量中与因变量的线性无关的部分去除,以实现减少潜变量个数,减小数据中的随机扰动。偏最小二乘算法(PLS)将高维数据中多个相关的变量分解为几个互相正交的独立分量,同时考虑到数据中自变量和因变量之间存在线性关系,在满足一定的条件下将所有自变量和因变量分解成互相正交的独立分量,在提取主成分时考虑到因变量对自变量的约束作用,使提取的主成分更准确和稳定。将两种算法相结合,以先验值为基础,采用OSC-PLS算法获得了现场实际板形调控功效系数。

1.2板形闭环多变量优化算法

基于最优评价函数为目标板形与测量板形的偏差减去由各个调节机构消除的板形偏差的平方和的特点,提出了采用改进的容许方向法来求解最优评价函数,从而克服了不可逆迭代矩阵无法求解的缺点。
为了得到板形调节机构的调节量最优解,数学模型需要考虑调节机构的调节极限,当最优解仅仅满足对全部调节机构的调节量求偏导数为零时,即最优评价函数达到理想最小值,但该最优解超出调解极限,显然它是不可以使用的,因此将求调节量最优解归结为带约束条件的最优化问题:
高精度冷轧板型控制与装备技术的图1
式中, J为评价函数, △u为板形调节机构的调节量向量,A为不等式约束矩阵, b为不等式约束向量。
可以通过求解线性规划来确定板形调节量 的下降容许方向向量,由于容许方向法是基于下降容许方向进行最优调节量搜索的,因此采用单纯形法寻优下降容许方向。将求解板形调节量的下降容许方向向量的线性规划问题转化为适合单纯形法寻优的形式。给定板形偏差,分别采用传统最速下降法和本方法进调节测试,本方法在剩余偏差和迭代次数上都有一定优势。
针对板形多变量优化控制、工作辊分段冷却、边部减薄控制等内容进行了关键技术研究,形成了一系列板形工艺控制专有技术,板形控制系统结构如图1所示。
高精度冷轧板型控制与装备技术的图2

2.1基于调控功效的多目标板形闭环控制

由板形控制执行器影响效率、板形实测值与目标值偏差、板形控制影响因子和板形控制各执行器调节量等构建板形控制评价函数,通过最优化方法计算出使该评价函数最小值条件下的各执行器调节量的最小值作为一次闭环控制的输出值,从而实现了多变量的最优化板形控制。该方法可以适应具有不同板形控制执行器的轧机控制要求,只需定义并计算出执行器的板形调控功效即可,具有通用性。由上述讨论可得,功效系数和板形偏差分布具有一致的表现形式。因此,在以功效系数为基础的冷轧机板形控制模型中,板形控制目标就可以确定为将板形剩余偏差最小化。基于调控功效系数的多变量最优化板形反馈控制模型,对控制过程的描述更为准确,控制模型的结构更利于向不同板形执行结构的轧机进行推广,且功效系数矩阵方便在线动态优化和自适应,更方便使用神经元网络等多种智能控制策略。
板形闭环反馈控制采用的计算模型是基于最小二乘评价函数的板形控制策略。使用各板形调节机构的调控功效系数及板形辊各测量段实测板形值,建立板形控制效果评价函数,求解各板形调节机构的最优调节量。评价函数为:
高精度冷轧板型控制与装备技术的图3
式中,J为评价函数,m为测量辊测量段数,gi为板宽方向上各测量点的权重因子,代表调节机构对板宽方向各个测量点的板形影响程度,n为板形调节机构数目, △uj为第j个板形调节机构的调节量, Effij为第j个板形调节机构对第i个测量段的板形调节功效系数, △yi为第i个测量段板形设定值与实际值之间的偏差。
使J最小时有:
∂J/∂△uj=0(j=1,2,…,n)
可得n个方程,求解方程组可得各板形调节结构的调节量 。
控制系统获得了轧机各个板形调节机构的调控功效系数之后,按照接力的方式依次计算出各个板形调节机构的调节量,如图2所示。本层次调节量计算循环结束后,按照接力控制的顺序开始计算下一个控制层次的调节量。
高精度冷轧板型控制与装备技术的图4
当高优先级的板形调节机构调节量达到极限值,但板形偏差没有达到要求且还有可调的板形调节机构时,剩下的板形偏差则由具有次优先级的板形调节机构进行调节,以此类推,直至板形偏差达到要求或者再没有板形调节机构可调为止。

2.2板形调节机构动态替代控制

对于一般的对称性板形缺陷,工作辊弯辊可以起到良好的板形控制效果,但工作辊弯辊常出现达到调节极限的状况。如果其他对称性板形调节机构还没有超限,则可以利用它们在其调节区间内进行调节。中间辊弯辊和窜辊的板形调控功效系数曲线呈对称性的抛物线分布,相比工作辊弯辊控制而言,对带钢的对称性板形缺陷调控能力较弱。但是,中间辊辊径较大,靠近辊颈处不易发生挠曲变形,在对带钢中部对称性板形缺陷进行调节的同时,不会影响到带钢边部的板形控制效果。一般采用中间辊弯辊和中间辊窜辊进行板形替代控制。
首先按照最优控制算法根据实测板形偏差以及板形调控功效系数来计算轧辊倾斜、工作辊弯辊、中间辊弯辊和中间辊窜辊等板形调节机构的调节量,若计算后的工作辊弯辊实际值超过其极限值,则检查用于实现替代功能的中间辊弯辊/窜辊的实际值是否超过其极限值,若不超限,则使用替代模式进行控制,反之则使用正常控制模式。
为了更符合现场实际生产状况,在研究制定工作辊弯辊超限替代控制方案时,按照工作辊弯辊实际值超限的程度制定替代控制策略。考虑到实际生产中工作辊弯辊控制的动态特性,还可以根据其执行效率设定动作滞后因子,将工作辊弯辊控制的响应滞后考虑进来,来判断工作辊弯辊是否调节超限。
考虑到中间辊窜辊控制会导致辊间压力分布不均情况更加突出,加速轧辊的磨损。为了避免中间辊出现高频横移动作,在制定工作弯辊超限替代控制模型时,将中间辊弯辊设定为具有最高优先级,一旦出现工作辊弯辊超限,在中间辊弯辊和窜辊控制都不超限的情况下,首先选择中间辊弯辊作为替代执行机构,若出现中间辊弯辊替代调节超限时,再使用中间辊窜辊来进行替代控制。

2.3工作辊分段冷却模糊控制

轧制过程中出现非对称轧制负荷以及散热不均时,会引起轧辊局部“热点”,造成轧辊辊径的不均匀分布,导致产生局部高次复杂板形缺陷。这类的局部板形缺陷很难通过传统的弯辊、窜辊、倾斜等调节手段予以消除,尤其是在轧制超薄带钢时这种局部缺陷更为明显。通过喷射乳化液对轧辊进行润滑和冷却能减少摩擦热,并能不断地吸收带钢的变形热,降低轧辊温度,可以起到控制轧辊热辊形的作用。
模糊控制能够摆脱对精确模型的推导,且具有鲁棒性强、可解决常规控制难以解决的非线性、时变大纯滞后等问题的优点,在此将模糊控制引入到冷轧机的工作辊分段冷却控制中。考虑到熟练操作人员仅利用经验性的知识,定性地判断冷却液与带钢板形之间的关系。如果板形偏差在某个局部较大,则向轧辊相应部位喷射冷却液,以控制辊缝形状,减小板形偏差。
板形控制的最关键问题就是消除板形偏差,另外还要考虑板形偏差在时间上以及空间上的变化,因此工作辊分段冷却模糊控制器选择板形偏差 、板形偏差的变化 以及板形偏差在空间上的变化趋势 作为系统的输入量,输出量为冷却阀开启的占空比 ,因此工作辊分段冷却模糊控制器是一个多维模糊控制器,其结构如图3所示。根据离散论域内输入量和输出量之间的模糊关系,制定了离线模糊控制查询表,减少了在线计算时间,提高了模糊控制器的执行效率。
高精度冷轧板型控制与装备技术的图5

2.4冷轧硅钢边部减薄协调控制

为获得最佳的控制效果,边部减薄控制的基本策略为:1)将来料热轧带钢的凸度情况用于工作辊的前馈设定计算中;2)将出口的成品边部减薄情况反馈实现闭环反馈控制;3)根据工作辊窜动位置的变化给予工作辊弯辊的补偿控制。控制策略如图4,其数学模型包括3个主要部分:前馈预设定控制模型、闭环反馈控制模型和弯辊补偿模型。
高精度冷轧板型控制与装备技术的图6
边部减薄数据死区判断,在得到边部减薄特征点实测信号后,将其与边部减薄标准点相减,得到边部减薄值信号,再与边部减薄设定值计算边部减薄偏差值,然后判断偏差量是否在死区范围内(≤2μm),如果超过死区范围则进行调节,死区判断采用偏差的最大值是否超过死区限幅来确定。
边升控制中,判断边部所有检测点的边部减薄厚度,如果50次检测值边升偏差都超过+3μm,则1-3机架窜辊调节量直接+10mm,并置位边升控制启动标志,给窜辊同向控制。边部减薄的窜辊值计算中,在边部减薄评价结束后,若边部某点或某些点的边部减薄实际值不能达标,就必须计算边部减薄的修正量,以确定反馈控制的修正方向。边部楔形控制中,判断边部所有检测点的边部减薄厚度,如果100次检测值边升偏差都超过出口厚度的1%,并且1-3机架边部减薄窜辊调节量为0,楔形控制输出给窜辊调节量。
工作辊轴向位移的范围是由冷轧边部减薄区的长度和锥辊的工作长度确定的,反馈控制中,对上下辊轴向移动范围以及上下辊位差都做了限制。当工作辊轴向移动操作量超过限定范围,就会对反馈量进行修正,原则是优先保证相对减薄一侧的控制。
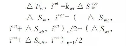
由于1-3机架工作辊窜动位置随着反馈控制的要求不断地发生变化,必然造成各机架用于板形控制弯辊执行机构的效果变化。而对于1-5机架而言,要求弯辊具备能进行自动补偿的功能,以保证弯辊的效果,补偿方法如下:
高精度冷轧板型控制与装备技术的图7
式中, △Fw,iact为i机架WR弯辊补偿量, △Sw,iact为i机架WR窜动位置变化量, △Swt,iact,△Swb,iact为上/下工作辊窜动位置实绩值, kwi为弯辊影响系数。

2.5板形控制技术发展趋势

板形控制技术是现代板带轧制系统的核心,未来板带钢领域的竞争将会更加激烈,这将加速板带轧制控制技术的进步。
1)研制更加方便可靠的、互补性强的板形调节机构的轧机,包括在线强力精细冷却装置,在辊型设计与优化工作中,注重辊廓自保持性的研究。
2)连轧机的板形调控由整个机组协调完成,因此必须考虑多执行机构/多机架间的耦合作用,特别是机架间张力和厚度控制对于板形的影响,以及不同机架板凸度与板形控制的协同策略。
3)调控功效函数包含整个板廓的各处信息,更适宜用于复杂板形控制和对控制性能细节的考察,而平直度与横断面矢量评价方法更适用于对轧机板形调控性能的整体评估,以多种方法综合分析轧机板形控制特性是未来发展趋势。
4)板形数学物理模型存在大量假设,现有控制策略难以满足更高精度需求,基于工业大数据的人工智能控制方法已经开始在轧制过程得到应用。应大力发展和创新工业数据挖掘技术,在合理制定板形性能评价指标的前提下,将闲置生产数据充分利用,进一步提高板形/边部减薄控制精度。
实际应用表明,实际板形控制质量远高于引进板形控制技术的保证值,板形标准差小于7I,硅钢边部减薄小于5μm。技术成本远低于引进技术,具有很强的市场竞争优势。
冷轧板形控制技术的开发成功,在国际冷轧带钢生产领域形成了特有的技术体系。这一工作创新性地实现了基于模型自适应与板形调控功效相结合的多变量板形闭环控制系统的理论研究和工业应用,是国内外板带钢轧制应用技术的最新研究内容。形成了拥有完全自主知识产权的控制系统和工艺控制的核心技术体系,实际应用取得了巨大的经济效益。板形控制系统和板形控制工艺技术在工业生产中得到了成功应用,技术成果具有鲜明特色,填补了国内空白,具有重要推广价值。
登录后免费查看全文
立即登录
App下载
技术邻APP
工程师必备
  • 项目客服
  • 培训客服
  • 平台客服

TOP

2
1
1