数控车床常用计算公式
          
  2021年8月4日 13:12
   2021年8月4日 13:12浏览:2361  收藏:1
 
 
 
 直径Φ  倒角量 a   角度θ    正切函数tan  θ 正弦函数 sin θ 余弦函数 cos θ 圆弧半径R    乘以号x 
 
 
 
 
 除以号÷  先运算(  )内结果,再运算【  】,再运算全式 
 
 
 
 
 例子:Φ 30直径外端倒角1.5x60°      
 程式:Go X32 Z2     
 
 
 1,倒角起点直径X=  Φ-2xaxtanθ°   
 X=30-2x1.5x1.732=24.804   
 G1 X24.804  Z0   F0.2 
 
 
 2,倒角起点长度Z=0  
 其中tan60°由数学用表查出 
 G1 X30 Z-1.5  F0.15 
 
 
 
 
 
 
 例子:Φ 20孔径外端倒角2x60°       
 程式:Go X18 Z2     
 
 
 
 1,倒角起点直径X=  Φ+2xaxtanθ°    
 x=20+2x2x1.732=26.928   
 G1 x26.928  Z0   F0.2 
 
 
 2,倒角起点长度Z=0  G1 X20   Z-2  F0.15 
 
 
 
 
 
 
 例子:Φ 35直径外端圆角R3   
 程式:Go X36 Z2 
 
 
 1,倒角起点直径X=  Φ-2*R     
 X=35-2x3=29     
 G1  X29   Z0  F0.2 
 
 
 2, 倒角起点长度 Z=0     
 G3 X35 Z-3 R3  F0.15 
 
 
 
 
 
 
 例子;    Φ 20孔径外端圆角R2     
 程式:G0 X18 Z2         
 
 
 1,倒角起点直径X=  Φ+2*R   
 X=20+2x2=24    
 G1 X24 Z0 F0.2 
 
 
 2, 倒角起点长度 Z=0     
 G2 X20 Z-2 R2 F0.1 
 
 
 
 
 
 
 例子:大端Φ 35小端Φ32锥体长20 牙长16mm让刀3mm加工 
 
 
 1、计算图上锥度比例值: 
 (32-35)/20=-0.15   
 程式;G0 X37 Z3 
 
 
 (起始端直径 - 收点端直径)÷锥体长度 
  G92 X33.8 Z-16 R-1.425 F2 
 
 
 2、计算G92实际R值(车牙时,起始端至收点端的半径差):-0.15X1/2X(16+3)=-1.425   X33.1 
 
 
 锥度比例值x1/2x(有效牙长度+让刀位置) 
 X32.6 
 
 
 3、G92的收刀点直径: 
 35+(-0.15X(20-16))-2X1=32.4 
 X32.4 
 
 
 锥体收点端直径+锥度比例值x(锥体长度—有效螺纹长度)—2x牙高                       
 
 
 
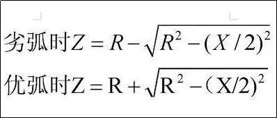
 1、当截面为劣弧时。球冠高度= R-【R2-(X/2)2)】的方差的平方根  
 
 
 
 
 2、当截面为优弧时。球冠高度=R+【R2-(X/2)2)】的方差的平方根 
 
 
 
 
 
 1、起始端X  =Φ-2R【 (1-sin θ)*tanθ-cos θ】Z=0 
 
 
 2、切点 X  =Φ+2R (1-sin θ)*tanθ      Z =-(1-Sinθ)*R 
 
 
 3、收点X=锥体大端直径Φ    Z = -(Φ-切点X)÷2÷tanθ+切点的Z(也就是锥长) 
 
 
 
 
 
  
 
          技术邻APP
工程师必备