离心风机内部培训资料
2021年9月10日 13:33离心风机
第一章 概述
风机已有悠久的历史。中国在公元前许多年就已制造出简单的木制砻谷风车,它的作用原理与现代离心风机基本相同。1862年,英国的圭贝尔发明离心风机,其叶轮、机壳为同心圆型,机壳用砖制,木制叶轮采用后向直叶片,效率仅为40%左右,主要用于矿山通风。1880年,人们设计出用于矿井排送风的蜗形机壳,和后向弯曲叶片的离心风机,结构已比较完善了。1892年法国研制成横流风机;1898年,爱尔兰人设计出前向叶片的西罗柯式离心风机,并为各国所广泛采用;19世纪,轴流风机已应用于矿井通风和冶金工业的鼓风,但其压力仅为100~300帕,效率仅为15~25%,直到二十世纪40年代以后才得到较快的发展。1935年,德国首先采用轴流等压风机为锅炉通风和引风;1948年,丹麦制成运行中动叶可调的轴流风机;旋轴流风机、子午加速轴流风机、斜流风机和横流风机也都获得了发展。
用途及分布
一. 用途
离心风机是依靠输入的机械能,提高气体压力并排送气体的机械。离心风机广泛用于工厂、矿井、隧道、冷却塔、车辆、船舶和建筑物的通风、排尘和冷却;锅炉和工业炉窑的通风和引风;空气调节设备和家用电器设备中的冷却和通风;谷物的烘干和选送;风洞风源和气垫船的充气和推进等。
锅炉通风机有两种:一种是向锅炉内输送空气的,叫做锅炉送风机,输送的是常温下的空气;另一种是从锅炉内抽吸烟气用的,叫做锅炉引风机,输送的是温度为70~250的烟气。锅炉制粉系统中的排粉风机,一般都是离心式。
风机的工作原理与透平压缩机基本相同,只是由于气体流速较低,压力变化不大,一般不需要考虑气体比容的变化,即把气体作为不可压缩流体处理。
二. 风机的分类
从能量转换的观点来看,风机是把原动机的机械能转变为气体的动能和压力能的一种机械。根据作用原理,一般可分为离心式、轴流式、往复式、回转式等。目前我国电厂中用的最多的是离心式,因为它具有效率高、流量大、输出流量均匀、结构简单、操作方便,噪音小等优点。
风机分类方法不一,习惯上有下面几种分类方法。
1.按介质在风机内部流动方向分类
分为离心、轴流及混流通风机。
1.1离心通风机的特征是:介质沿着轴向进入,而在叶轮内沿着径向流动,如图2所示。
图2离心通风机示意图
1-集流器;2-叶轮;3-机壳
轴流式风机—气流轴向驶入旋转叶片通道,由于叶片与气体相互作用,气体被压缩后近似在园柱型表面上沿轴线方向流动,如图3所示。
图3轴流通风机示意图
1-集流器;2-整流罩;3-叶轮;4-机壳;5-后整流罩
混流式风机—气体与主轴成某一角度的方向进入旋转叶道,近似沿锥面流动,如图4所示。
图4混流通风机示意图
1-集流器;2-叶轮;3-机壳
横流式风机—气体横贯旋转叶道,而受到叶片作用升高压力。
2.按生产压力的高低分类(以绝对压力计算)
通风机—排气压力低于112700Pa。
鼓风机—排气压力在112700Pa-343000Pa之间。
压缩机—排气压力高于343000Pa以上
3.通风机高低压相应分类如下(在标准状态下)
低压离心通风机:全压P≤1000Pa。
中压离心通风机:全压P=1000-8000Pa。
高压离心通风机:全压P=8000-30000Pa。
低压轴流通风机:全压P≤500Pa。
高压轴流通风机:全压P=500-3000Pa
4.按叶片出口角分类
可分为后弯(向后)式、径向式和前弯(前向)式风机,如图5所示。
后弯式风机 叶片出口角β2<90°。
径向式风机 叶片出口角β2=90°。
前弯式风机 叶片出口角β2>90°
图5 按叶片出口角分类的风机类型
(a)后弯式;(b)径向式;(c)前弯式
风机的工作原理与结构
三. 风机的工作原理
由电机带动叶轮旋转,叶轮中的叶片迫使气体旋转,对气体做功,使其能量增加,气体在离心力的作用下,向叶轮四周甩出,通过涡型机壳将速度能转换成压力能,当叶轮内的气体排出后,叶轮内的压力低于进风管内压力,新的气体在压力差的作用下吸入叶轮,气体就连续不断的从风机内排出。
离心风机是根据动能转换为势能的原理,利用高速旋转的叶轮将气体加速,然后减速、改变流向,使动能转换成势能(压力)。在单级离心风机中,气体从轴向进入叶轮,气体流经叶轮时改变成径向,然后进入扩压器。在扩压器中,气体改变了流动方向并且管道断面面积增大使气流减速,这种减速作用将动能转换成压力能。压力增高主要发生在叶轮中,其次发生在扩压过程。在多级离心风机中,用回流器使气流进入下一叶轮,产生更高压力。
四. 风机的部件
离心通风机结构简单,制造方便。置办和机壳一般都用钢板制成,通常采用焊接结构,也进也用铆接。图6是一台离心通风机的结构示意图。
图6离心通风机结构示意图
1-叶轮;2-稳压器;3-集流器;4-机壳;5-调节器;6-进风箱;7-轮毂;8-主轴;9-叶片;10-舌;11-扩散器
1.进口导叶(也叫调节器,见图7):在离心式风机的叶轮前的进口附近,有可调节转角的导叶,通过调节开度对风量进行调节。
图7 进口导叶
2.集流器(图8):集流器装在叶轮前,作用是减小导入叶轮处气流损失。
2.1圆筒形:叶轮进口处会形成涡流区,直接从大气进气时效果更差。
2.2圆锥形:好于圆筒形,但它太短,效果不佳。
2.3弧形:好于前两种。
2.4锥弧形:最佳,高效风机基本上都采用此种集流器。
图8 集流器类型
3.叶轮(图9):通过离心力提高气体压力。
图9 叶轮
4.主轴(图10):风机传动部分是主轴、轴承、轴承箱组成。
图10 主轴
5.轴承箱:根据具体情况,有自然冷却轴承箱,水冷却轴承箱。
五. 风机的结构型式
1.进气方式不同的结构形式
离心通风机一般都是采用单级叶轮,单侧进气的结构,称为单吸通风机,用符号“1”表示。流量大的通风机叶轮有时做成双侧进气的,称为双吸通风机(图11),用符号“0”表示。风压高的通风机也可做成两级串联的结构形式,用符号“2”表示。
图11 双吸式离心风机
2.旋转方向不同的结构形式
离心能风机可以做成右旋和左旋两种。从原动机的一端正视,叶轮旋转为顺时针方向的,称为右旋,用“右”表示;叶轮旋转为逆时针方向的,称为左旋,用“左”表示。但必须注意,叶轮只能顺着机壳螺旋线的展开方向旋转,否则,叶轮出现反转时,流量会突然下降。
3.出风口位置不同的结构形式
离心通风机的出风口位置,根据使用的要求,可以做成向上、向下、水平向左、向右、各向倾斜等各种形式。为了使用方便起见,出风口往往做成可以自由转动的结构。一般情况下,风机制造厂规定八个基本出风口的位置。
4.传动方式不同的结构形式
根据使用情况的不同,离心通风机的传动方式有多种。如果风机的转数和电动机的转数相同,对于机体较大的风机可以采用联轴器将风机和电动机直联的传动方式,结构简单、紧凑;对于机体较小、转子较轻的风机,则可以取消轴承和联轴器,将叶轮直接装在电动机轴上,结构更加简单、紧凑。如果风机的转数和电动机的转数不相同,则可以采用皮带轮的传动方式。
表3传动方式及机械效率:
传动方式 |
机械效率 |
电动机直联传动 (A型) |
1.00 |
联轴器联接转动(D、F型) |
0.98 |
皮带传动(B、C、E型) |
0.95 |
图4-7离心通风机的传动方式
六. 风机的命名
风机的叫法很多,很不一致。一般的说,作为吸气用的叫引风机、抽风机或吸风机。作为送风用的叫送风机、通风机、排风机或吹风机。为了区别相同型号而用途不同的风机,在型号前可冠以用途代号。例如锅炉引风机代号为Y,锅炉送风机代号为G。
风机制造厂对各种风机的命名都有明确规定,下面介绍两命名方式。
1.命名方式
一般通风机全称表示方法
2.型式和品种组成表示方法
表4-2常用风机用途代号
代号 |
|||||||||
汉字 |
简写 |
汉字 |
简写 |
汉字 |
简写 |
汉字 |
简写 |
汉字 |
简写 |
通用 防爆 排尘 烧结 化气 |
T B C SJ HQ |
防腐 高温 煤粉 动力 油气 |
F W M DL YQ |
矿井 冷却 热风 高炉 天然气 |
K L R GL TQ |
锅引 锅炉 粉末 转炉 冷冻 |
Y G FM ZL LD |
纺织 隧道 凉风 煤气 空调 |
FZ SD LF MQ KT |
【例1】G4-73-11No18D右90°
表示此风机为锅炉送风机,在最高效率点的全压系数为0.4,比转数为73,单吸,第一次设计,第18号风机(即风机叶轮直径为1800毫米),以弹性联轴器连接接传动,右旋方向,风机出口角为90°。
离心风机的性能参数与性能曲线
七. 主要性能参数:流量、压头、效率、轴功率
1.流量Q:单位时间内风机所输送的流体量,常用体积流量表示,单位m3/s或m3/ h,与风机的结构、尺寸和转速有关。
2.压头p:风机对单位体积流量所提供的有效能量,单位为pa。
3.效率η:风机在实际运转中,由于存在各种能量损失,致使其实际(有效)压头和流量均低于理论值,而输入的功率比理论值为高。反映能量损失大小的参数称为效率。效率与风机的类型、尺寸、加工精度、气体流量和性质等因素有关。通常,小风机效率为50%~70%,而大型风机可达90%。
4.轴功率N与有效功率Ne:由电动机输入风机轴的功率。单位为W或kW。离心风机的有效功率是指气体在单位时间内从叶轮获得的能量。
5.转速n:风机与风机叶轮每分钟的转数即“r/min”。
6.全压:为保证正常通风,需要有克服管网阻力的静压和把气体流体输送出去的动压,风机在实际的管网中运行时,必须有静压和动压。静压和动压之和,称全压。离心风机全压指由风机所给定的全压增加量,即风机的出口和进口之间的全压之差。
离心风机的压头p、轴功率N及效率均随流量而变,它们之间的关系可用离心风机工作性能曲线表示。
7.功率与效率
轴功率与有效功率
风机的全压p的单位是Pa,所以其有效功率为:
风机在工作时会产生机械损失、容积损失和流动损失,这些损失的大小分别用机械效率、容积效率和流动效率来衡量。
8.机械损失与机械效率
风机的机械损失包括轴与轴承的摩擦损失、轴与轴端密封的摩擦损失及叶轮圆盘的摩擦损失。
8.1轴与轴承的摩擦损失、轴与轴端密封的摩擦损失与轴承的型式、轴端密封的型式和结构有关,这项功率损失不大,约占风机轴功率P的1%~5%。
8.2叶轮圆盘的摩擦损失是主要的机械损失。
8.3产生的原因:叶轮的两侧与机壳(蜗壳)间充有泄漏的液体,这些流体受到叶轮两侧的作用力后,产生从轴心向壳体壁的回流运动,作回流运动的流体旋转角速度约为叶轮旋转角速度的一半。作回流运动的流体要消耗叶轮给它的能量,因为流体在回流时要产生摩擦、改变流动方向,要损耗能量。
9.容积损失与容积效率
9.1在旋转与静止的部件之间不可避免地有间隙存在,高压区的流体会通过间隙流入低压区。从高压区流入低压区的这部分流体,虽然在叶轮中获得了能量,但却消耗在流动的阻力上,这种能量损失称为容积损失。
9.2风机的容积损失大小用容积效率来表示:
风机的总效率
10.风机的性能曲线
风机的工作是以输送流量、产生扬程(全压)、所需轴功率及效率来体现的。
性能曲线:凡是将风机主要参数间的相互关系用曲线来表达,即称为风机的性能曲线。所以性能曲线是在一定的进口条件和转速时,风机供给的扬程或全压、所需轴功率、具有的效率与流量之间的关系曲线。
图5-1-H性能曲线
10.1性能曲线的分析
10.1.1空转状态
进口阀门关闭时的工况,称为空转状态。
效率=0,机械能全部转变为流体内能,使流体温度升高,发热,不能空转,而且不能小于某一最小流量。
10.1.2最高效率区(经济工作区)
效率~流量曲线上有一最高效率点,风机在此工况下运转,经济性最佳。选择风机时,应考虑它们经常运行在最高效率点及其附近的区域。一般规定工况点的效率应不小于最高效率的0.92~0.95,据此所得的工作范围,称为经济工作区,或最高效率区。
10.1.3三种类型的性能曲线形状
Ⅰ:平坦形性能曲线
Ⅱ:陡降形性能曲线
Ⅲ:驼峰状性能曲线
图5-2三种类型的性能曲线形状
Ⅰ:流量变化较大时,扬程、全压变化较小
Ⅱ:流量变化较大时,扬程、全压变化较大
Ⅲ:在上升段工作不稳定,上升段不出现或越窄越好。后弯式一般不出现,而前弯
式不可避免出现。
11.离心风机性能影响因素
当气体性质(温度、压强)、风机的结构尺寸、风机的转速等参数任一个发生变化时,都会改变风机的性能,此时需要对风机的性能参数或性能曲线进行换算。
11.1气体密度的影响
当输送介质的温度和压强改变时,风机的性能参数将发生相应的改变。
11.2离心风机转速n的影响
当气体的粘度不大,效率变化不明显时,不同转速下风机的流量,压头和功率与转速的关系也发生变化。
Q1、p1、N1-转速为n1时风机的体积流量、压头和轴功率;
Q2、p2、N2-转速为n2时风机的体积流量、压头和轴功率;
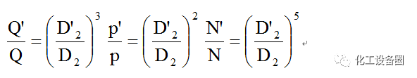
11.3离心风机叶轮直径的影响
当离心风机的转速一定时,流量、压头与叶轮直径有关 ,它们之间的近似关系为:
、
、
—叶轮直径为
时风机的性能;
、
、
—叶轮直径为
时风机的性能;
适用条件:固定转速下,叶轮直径的车削不大于20%。
第二章 多级离心风机
一. 工作原理
旋转的叶轮将气体加速,然后改变方向,使其减速,由于能量守恒,减速后的能量转化为了势能,在扩压器中,压力不断增大,然后进过回流器进入下一组叶轮,产生更高的压力,反复几组后会得到势能很大的高压气体。
图6-1多级离心风机结构图
二. 单级高速风机和多级离心风机的区别
1.按照工作原理,单级和多级离心风机都属于速度式风机的一种,即首先是工作轮在旋转的过程中,由于旋转离心力的作用及工作轮中的扩压流动,使气体的速度得到提高,随后在扩压器中把速度能转化为压力能。
2.二者的区别是单级离心风机只有一组叶轮,空气的压缩是一次压缩完成的,而多级离心风机在一根主轴上有多组叶轮,空气的压缩是在多组叶轮间用回流器使气流进入下一叶轮,逐步完成的。由于离心风机是依靠提高空气的流动速度即空气动能来压缩空气提高压力,所以要获得同样的压力,单级离心风机的叶轮必须要比多级风机的转速高数十倍,通常情况下多级风机的转速只有数千转,而单级风机的转速却高达数万转甚至高达数十万转。
3.由于压力的提供很大程度上依靠转速的提高,而转速的提供受到平衡、润滑及材料性能等多方面的限制,所以单级离心风机更多使用于低压力场合,而高压力工况更多使用多级离心风机。
4.单级离心风机一般是依靠齿轮箱获得极高转速,由于转速特别高,所以风机的控制和维护保养特别重要,必须同时配套单独的润滑油站,同时由于高转速带来诸多部件如叶片等磨损较大,所以单极风机的寿命较多极离心风机低。
5.而目前的单级高速离心风机,采用三元叶轮,结构紧凑、噪声低、运行平衡,很好的解决了以上问题。
三. 喘振极限
离心风机的一个显著特征就是有流量限制。低于极限流量介质就不能从低压环境传输到高压环境;这是因为低于极限流量时造成出口压力高于风机内部压力,将导致介质被迫从出口管道倒流进入风机,与风机的旋转方向相反,使风机内部压力急剧升高,当风机内部压力与出口压力相当时介质又恢复从风机内部流到出口。这种现象会反复出现,通常频率较低,称之为喘振,只有采取措施提高流量,喘振才能够消除。风机工作过程中应避免出现喘振现象,因为喘振时风机的主轴将受到一个反向的扭矩,会导致入口侧的轴承疲劳损坏。
压缩比比较大的大风机发生喘振时产生的破坏力足以使风机叶轮及管道损坏掉。所以必须安装安全回路或旁通以避免喘振,在风机启动时也会用到。
四. 喘振现象及原因
具有驼峰型特性的风机在运行过程中,当负荷减小,负载流量下降到某一定值时,出现工作不稳定现象。这时流量忽多忽少,一会儿向负载排气,一会儿又从负载吸气,发出如同哮喘病人“喘气”的噪声,同时伴随着强烈振动,这种现象称之为喘振。
发生喘振现象的根源是离心风机所具有的驼峰型特性。图一给出了具驼峰型特性的离心风机的工作特性曲线。
图中,曲线1是离心风机在某一转速下的特性曲线,代表出口绝压P2和入口绝压P1之比与风机流量之间的关系,是一个驼峰曲线,驼峰点M处的流量为Qm。曲线2是管路特性曲线,正常工作点为A。可以看出,在驼峰点右侧,工作是稳定的。因为任何偶然因素造成的工作点波动(例如流量增加),对于风机特性曲线1而言,压力会减小,而对于管路特性曲线2而言,压力会增加,这两个相互矛盾的结果最终会使工作点返回到原来的位置,在驼峰点M的左侧,这种情况正好相反,任何偶然因素造成的工作点波动将使沿风机特性曲线1上的压力变化趋势与沿管路特性曲线2上的压力变化趋势具有完全的一致性,其结果加剧了工作点的偏移,使之不能返回到原来的工作点上,风机的工作出现不稳定情况。
因此,驼峰点M右侧的区域为稳定工作区域,驼峰点M左侧的区域为不稳定工作区域。负荷下降使处于驼峰右侧的工作点向驼峰点靠近,工作点越靠近驼峰点M,越会出现工作不稳定的可能性,驼峰型特性是发生喘振现象的主要原因。
五. 出现喘振的风机大致现象如下:
1.电流减小且频繁摆动、出口风压下降摆动。
2.风机声音异常噪声大、振动大、机壳温度升高。
3.引送风机喘振动使炉膛负压波动燃烧不稳。
六. 防喘振控制思路
图二给出了风机在不同转速下的特性曲线,可以看出。转速不同,相应的驼峰点和驼峰流量也不同。转速越低,驼峰点越向左移,驼峰流量越小。把不同转速下的驼峰点连接起来,就构成了一条曲线,曲线右侧为稳定工作区,曲线左侧为喘振区。我们称驼峰流量为极限流量,相应的驼峰点连接曲线被称为喘振极限线。显然,只要在任何转速下,控制风机的流量,使其大于极限流量,则风机便不会发生喘振问题。这就是防喘振控制的基本思想。
考虑到吸入气体的状态如压力、温度、密度等都会引起风机特性曲线的微小变化,因此应考虑一定的安全容量,确保实际工作点不至于太靠近喘振极限,以免发生喘振事故。
七.防喘振控制方案
在风机出口管路设置放空阀。
风机的喘振控制方案通常有多种,最常用的有入口流量控制和风机电流控制。下图为典型的风机电流防喘振控制方案。当风机的电流达到防喘振控制的限定值时,防喘振阀打开,风机脱离喘振区。
图6-4 多级离心风机防喘振控制方案图
第三章 轴流风机
一. 轴流风机的工作原理
气流由集流器进入轴流风机,经前导叶获得预旋后,在叶轮动叶中获得能量,再经后导叶,将一部分偏转的气流动能转变为静压能,最后气体流经扩散筒,将一部分轴向气流的动能转变为静压能后输入到管路中。
轴流式风机的横截面一般为翼剖面。叶片可以固定位置,也可以围绕其纵轴旋转。叶片与气流的角度或者叶片间距可以不可调或可调。改变叶片角度或间距是轴流式风机的主要优势之一。小叶片间距角度产生较低的流量,而增加间距则可产生较高的流量。
先进的轴流式风机能够在风机运转时改变叶片间距(这与直升机旋翼颇为相似),从而相应地改变流量。这称为动叶可调(VP)轴流式风机。
轴流风机又叫局部通风机,是工矿企业常用的一种风机,安不同于一般的风机它的电机和风叶都在一个圆筒里,外形就是一个筒形,用于局部通风,安装方便,通风换气效果明显,安全,可以接风筒把风送到指定的区域。
图7-1轴流通风机
二. 轴流风机的结构
1.进气箱:主要作用是改变气流方向,同时收敛进气室,改变气流流动状况,使气流在进入集流器之前更为均匀。
2.集流器:主要作用是使气流加速,降低流动损失,使气流能均匀地充满可调前导叶。
3.可调前导叶:主要作用是使气流在进入叶轮前产生预旋,可调节风量、风压、改善风机性能和提高风机调节效率。
4.集流器:主要作用是使气流进一步加速,降低流动损失,使气流能均匀的充满叶轮。
5.叶轮:将机械能转化为动能,通过叶轮对气体侮蔑获得所需的动能和静压能,与可调前导叶配合,可进一步改善风机性能和提高风机效率。
6.后导叶:主要作用是改变经叶轮流出的气流方向,克服气体流动损失。气体经过后导叶扩压整流后,使气体轴向流出,提高了局部负荷效率。
7.扩压器:主要作用是随着通流面积的增大,气体逐渐减速,将气体的动能转变为所需的静压能。
图7-2轴流风机的结构
三. 轴流风机和离心风机的区别
轴流风机的特点是流体沿着扇叶的轴向流过。比如电风扇和家庭里的排气扇。而离心式是将流体从风扇的轴向吸入后利用离心力将流体从圆周方向甩出去,比如鼓风机,抽油烟机。
1.轴流风机:流量大、压头小。
2.离心风机:压头大、流量小。
3.轴流风机的气流方向垂直与叶片的旋转方向,离心风机的气流方向切于叶片旋转方向。选用什么形式的风机最主要的是考虑流量及系统阻力损失。
四. 轴流风机的分类
轴流风机可分为四种基本型式:
1.在机壳中仅有一个叶轮。
2.在机壳内装一个叶轮和一个固定的出口导叶。
3.在机壳内装一个叶轮和一个固定的进口导叶,亦即前置静叶型。
4.在机壳中有一个叶轮并具有进出口导叶。
图7-3轴流风机四种基本型式
五. 调试方法
1.轴流风机安置完毕后,在启动前应检查风机转动的灵活性,叶片是否有卡壳摩擦现象。检查风机及相邻管道内是否有遗留东西和别的杂物。
2.检查管道内的风门是否处于开启状态。
3.人员应远离风机。
4.启动风机,检查扇叶转向是否与旋转标识标记的相符合,在检查合格后,试运行10-30分钟后停止,检查叶片有无松动现象,减振座与底子连接螺栓有无松动,一切正常后,才正式启动,投入运行。
六. 运行检查
轴流风机在运行的时候,主要监控电机的电流,电流不但是风机负荷的标记,也是一些异常变化的预报。此外,要常常检查电机与风机的振动是否正常及有无摩擦、异常响声。对并联运行的风机应注意检查风机是否在喘振状态下运行。在正常运行中,如遇下列环境应当即停机检测:
1.轴流风机产生强烈振动或碰擦声;
2.电机电流忽然上升,并超过电机的额定电流;
3.电机轴承温度急剧上升。
七. 运行启动
1.启动前的检查
1.1检查与风机启动有关的润滑油系统投用正常
1.2冷却水系统投用正常。
1.3保护和联锁装置投用正常。
1.4监测装置投用正常。
2.风机的启动程序
2.1关闭风机动叶及出口风门。
2.2启动风机。
2.3开启风机出口挡板。
2.4调节动叶,根据需要增加风量。
注:风机不得在喘振状态下运行。
八. 风机正常运行时的注意事项
调节风机负荷时,二台风机的负荷偏差不应过大,防止风机进入不稳定工况运行。
当发现风机动叶开大,出力下降、电流显著减小,就地振动大、噪声高,这时基本可以判定风机已失速。应立即手动减少喘振风机的动叶开度,直至喘振风机的电流回升至正常值。在这同时可以快速降低机组负荷,并减小另一侧风机出力或开大母管上的风门,降低管道阻力和降低母管压力,使喘振风机尽快带上负荷,平衡两侧出力。
风机的电流是风机负荷的标志,同时也是一些异常事故的预报。风机的进出口风压反映了风机的运行工况,还反映了锅炉及所属系统的漏风或受热面的积灰和积渣情况,需要经常分析。
九. 维护保养
1.使用环境应经常保持整洁,风机表面保持清洁,进、出风口不应有杂物,定期清除风机及管道内的灰尘等杂物。
2.只能在风机完全正常情况下方可运转,同时要保证供电设施容量充足,电压稳定,严禁缺损运行,供电线路必须为专用线路,不应长期用临时线路供电。
3.风机在运行过程中发现风机有异常声音、电机严重发热、外壳带电、开关跳闸、不能启动等现象,应立即停机检查。为了保证安全,不允许在风机运行中进行维修,检修后应进行试运转五分钟左右,确认无异常现象再开机运转。
4.根据使用环境条件下不定期对轴承补充或更换润滑脂(电机封闭轴承在使用寿命期内不必更换润滑油脂),为保证风机在运行过程中良好的润滑,加油次数不少于1000小时/次封闭轴承和电机轴承,严禁缺油运转。
5.风机应贮存在干燥的环境中,避免电机受潮。风机在露天存放时,应有防御措施。在贮存与搬运过程中应防止风机磕碰,以免风机受到损伤。
风机的操作
十. 单机试车
1.电机单试
1.1确认所有电气部分绝缘、接地良好。
1.2拆开电机与风机的联轴器。
1.3检查电机轴承润滑脂情况。
1.4联系电工送电。
1.5盘车无异常后点动电机,确认电机转向与风机运转方向一致,否则进行处理。
1.6启动电机运行2小时,检查记录电机温度、振动、电流。
1.7电机单试合格后,找正、恢复联轴器。
2.试运前的准备工作
2.1风机安装好,安装质量符合设计或有关规范要求。
2.2机座及各部连接螺栓齐全,紧固无松动。
2.3叶轮与机壳之间的间隙符合规定,叶轮安装合格。
2.4用油清洗轴承箱,排尽脏油后将规定牌号润滑油加至油标1/2~2/3处。
2.5风机轴承(箱)加入规定的润滑脂(油)。
2.6联系电工送电。
2.7有变频装置的电机变频信号置于需要的值。
2.8消防用具及检修工具齐全,作好记录,现场清洁。
3.试运行
3.1全关风机入口调节门,全开出口阀。
3.2盘动风机2~3圈,检查无卡涩和偏重现象。
3.3启动风机。注意启动时人不要对着叶轮叶片,以免物体飞出伤人。观察风机的运转声音是否正常。
3.4调节门开度0~5°,小负荷运转30分钟后,将调节门开度逐渐增大(电动机电流不超过额定值),调至规定负荷,连续运转2小时。
3.5有变频系统的电机投用电机变频系统。
3.6检查记录电机电流、风机轴承温度、电机轴承温度。
注:试机过程如出现故障,应停机处理,然后再试。
4.正常操作
4.1启动前检查
(1)电动机:电机单机试运完毕、接地线完好、电流表指示为零。
(2)确认联轴器安装完毕,防护罩安装好,地脚螺栓是否有松动。
(3)确认轴承箱加入规定牌号的润滑油,液位满足要求。
(4)确认冷却循环水引投用正常。
(5)确认风机出、入口挡板关闭。
(6)确认所有仪表系统投用(联琐正常)。
(7)确认手动盘车正常,无卡涩。
(8)联系电工送电。
4.2开风机
(1)投用轴承箱循环冷却水。
(2)全开风机出口挡板。
(3)启动风机,调节门开度,小负荷运转30分钟后,将调节门开度逐渐增大(电动机电流不超过额定值),调至规定负荷,连续运转2小时。
(4)通过入口挡板调节流量。
4.3启动后检查确认
(1)检查记录电机电流、风机轴承温度、电机轴承温度。
(2)检查各连接件紧固情况。
(3)检查风机运转有无杂音,测量风机振动情况。
(4)检查风机轴承的润滑情况。
4.4停风机
(1)联锁打旁路。
(2)打开自然通风门。
(3)调节风机变频。
(4)调整操作。
(5)停电动机。
(6)关闭风机入口阀。
(7)关闭风机出口阀。
(8)确认(鼓)快开风门打开,(引)打开烟道挡板。
(9)使风机处于备用、交付检修状态。
十一. 风机的日常维护
正确的维护、保养,是风机安全可靠运行,提高风机使用寿命的重要保证。因此,在使用风机时,必须引起充分的重视。
1.叶轮的维修、保养
在叶轮运转初期及所有定期检查的时候,只要一有机会,都必须检查叶轮是否出现裂纹、磨损、积尘等缺陷。
只要有可能,都必须使叶轮保持清洁状态,并定期用钢丝刷刷去上面的积尘和锈皮等,因为随着运行时间的加长,这些灰尘由于不可能均匀地附着在叶轮上,而造成叶轮平衡破坏,以至引起转子振动。
叶轮只要进行了修理,就需要对其再作动平衡。如有条件,可以使用便携试动平衡仪在现场进行平衡。在作动平衡之前,必须检查所有紧定螺栓是否上紧。因为叶轮已经在不平衡状态下运行了一段时间,这些螺栓可能已经松动。
2.机壳与进气室的维修保养
除定期检查机壳与进气室内部是否有严重的磨损,清除严重的粉尘堆积之外,这些部位可不进行其他特殊的维修。
定期检查所有的紧固螺栓是否紧固,对有压紧螺栓部的风机,将底脚上的蝶形弹簧压紧到图纸所规定的安装高度。
3.轴承部的维修保养
经常检查轴承润滑油供油情况,如果箱体出现漏油,可以把端盖的螺栓拧紧一点,这样还不行的话,可能只好换用新的密封填料了。
轴承的润滑油正常使用时,半年内至少应更换一次,首次使用时,大约在运行200小时后进行,第二次换油时间在1~2个月进行,以后应每周检查润滑油一次,如润滑油没有变质,则换油工作可延长至2~4个月一次,更换时必须使用规定牌号的润滑油(总图上有规定),并将油箱内的旧油彻底放干净且清洗干净后才能灌入新油。
4.其余各配套设备的维修保养
各配套设备包括电机、电动执行器、仪器、仪表等的维修保养详见各自的使用说明书。这些使用说明书都由各配套制造厂家提供,本制造厂将这些说明书随机装箱提供给用户。
5.风机停止使用时的维修保养
风机停止使用时,当环境温度低于5℃时,应将设备及管路的余水放掉,以避免冻坏设备及管路。
6.风机长期停车存放不用时的保养工作
6.1将轴承及其它主要的零部件的表面涂上防锈油以免锈蚀。
6.2风机转子每隔半月左右,应人工手动搬动转子旋转半圈(既180°),搬动前应在轴端作好标记,使原来最上方的点,搬动转子后位于最下方。
7.日常维护
(1)检查机壳温度有无异常温升。
(2)定期检查轴承温度,做好记录。
(3)定期检查是否有摩擦或振动。
(4)定期检查润滑油位。
(5)定期检查吸、排气压力。
(6)定期检查电机负荷。
(7)定期检查冷却水管是否畅通。
(8)定期巡检并做记录。
注:冬季寒冷的地带,需用冷却水停机后,必须放掉冷却水,防止存水的风机结冰损坏机器。
十二. 风机故障处理
1.风机振动剧烈:
(1)风机轴与电机轴不同心。
(2)基础或整体支架的刚度不够。
(3)叶轮螺栓或铆钉松动及叶轮变形。
(4)叶轮轴盘孔与轴配合松动。
(5)机壳、轴承座与支架,轴承座与轴承盖等联接螺栓松动。
(6)叶片有积灰、污垢、叶片磨损、叶轮变形轴弯曲使转子产生不平衡。
(7)风机进、出口管道安装不良,产生共振。
2.轴承温升过高:
(1)轴承箱振动剧烈
(2)润滑脂或油质量不良、变质和含有灰尘、沙粒、污垢等杂质或充填量不当。
(3)轴与滚动轴承安装歪斜,前后两轴承不同心。
(4)滚动轴承外圈转动。(和轴承箱摩擦)。
(5)滚动轴承内圈相对主轴转动(即跑内圈和主轴摩擦)
(6)滚动轴承损坏或轴弯曲。
(7)冷却水过少或中断(对于要求水冷却轴承的风机)。
3.电动机电流过大或温升过高:
(1)启动时,调节门或出气管道内闸门未关严。
(2)电动机输入电压低或电源单相断电。
(3)风机输送介质的温度过低(即气体密度过大),造成电机超负荷。
(4)系统性能与风机性能不匹配。系统阻力小,而留的富裕量大,造成风机运行在低压力大流量区域。
4.离心风机的常见故障及排出
离心式通用风机、轴流式风机、离心式鼓风机和压缩机的性能故障、机械故障、机械震动、润滑系统故障和轴承故障等产生的原因和消除方法见表10-1,10-2,10-3。
表10-1常见故障及排出表
序号 |
故障名称 |
产生故障的原因 |
消除方法 |
1 |
异常振动噪音 |
风机轴与电机轴不同心 。 叶片有积灰、污垢、叶片磨损、叶轮变形轴弯曲使转子产生不平衡 。 轴承损坏或间隙过大 。 机壳与支架,轴承座与轴承盖等联接螺栓松动 。 |
重新找正 。 修理后重做动平衡。 更换新的轴承 。 紧固相应螺栓。 |
2 |
轴承温升过高 |
润滑脂或油不足或变质。 轴承磨损、损坏。 轴与滚动轴承安装歪斜,前、后轴承不同心 。 |
补充润滑油或更换润滑油 。 更换轴承 。 拆检重新装配 。 |
3 |
风压降低流量减小 |
传动带松弛,达不到额定转数。 叶轮严重磨损。 进口管线积水或堵塞 。 |
调整或更换传动带 拆检修理叶轮,重做动平衡或更换背后叶轮 清理进口管线 |
表10-2常见故障及排出表
序号 |
故障名称 |
产生故障的原因 |
消除方法 |
1 |
叶轮损坏或变形 |
叶片表面或钉头腐蚀或磨损。 铆钉和叶片松动。 叶轮变形后歪斜过大,使叶轮径向跳动或端面跳动过大。 |
如系个别损坏,应更换个别零件如损坏过半,应更换叶轮。 用小冲子紧住,如仍无效,则需更换铆钉。 卸下叶轮后,用铁锤矫正,或将叶轮平放,压轮盘某侧边缘 |
2 |
机壳过热 |
在阀门关闭的情况下,风机运转时间过长。 |
停车。待冷却后再开车 |
3 |
密封圈磨损或损坏 |
密封圈与轴套不同轴,在正常运转中被磨损。 机壳变形,使密封圈一侧磨损。 转子振动过大,其径向振幅之半大于密封径向间隙 密封齿内进入硬质杂物。如金属、焊渣等。 推力轴衬溶化,使密封圈与密封齿接触而磨损。 |
先清楚外部影响因素,然后更换密封圈,重新调整和找正密封圈的位置。 |
4 |
带滑下或带跳动 |
两带轮位置没有找正,彼此不在同一条中心线上。 两带轮距离较近或带过长。 |
重新找正带轮 调整带的松紧度,其方法,或者调整两带轮的间距,或更换适合的带。 |
表10-3常见故障及排出表
序号 |
原因 |
特征 |
消除方法 |
|
1 |
转子静不平衡与动不平衡 |
风机和电动机发生同样一致的振动,振动频率与转速相符合 |
轴与密封圈发生强烈的摩檫,产生局部高热,使轴弯曲。 叶片质量不对称,或一侧部分叶片被腐蚀或磨损严重 叶片附有不匀称的附着物,如铁锈、积灰或焦油等。 平衡块质量与位置不对,或位置移动,或检修后未找平衡 风机在不稳定区(即飞动区)的工况下运转,或负荷急剧变化。 双吸风机的两侧进气量不等(由于管道堵塞或两侧进气口挡板调整不当) |
应换新轴,并需同时修复密封圈。 更换坏的叶片,或调换新的叶轮,并找平衡。 清扫或檫净叶片上的附着物。 4、重找平衡,并将平衡块固定牢固。 5、开大闸阀或旁路阀门,进行况的调节。 清扫进气管道灰尘,并调整挡板使两侧进气口负压相等 |
2 |
轴安装不良 |
振动为不定性的,空转时轻,满载时大(可用减低转速方法查出) |
联轴器安装不正,风机轴和电动机轴中心未对正,基础下降。 带轮安装不正,两带轮轴不平衡。 减速机轴与风机轴和电动机轴在找正时,未考虑运转时位移的补偿量,或虽考虑但不符合要求 |
进行调整,重新找正。 进行调整,重新找正。 进行调整,留出适当的位移补偿余量。 |
3 |
转子固定部分松弛,或活动部分间隙过大 |
发生局部振动现象,,主要在轴承箱等活动部分,机体振动不明显,与转速无关,偶有尖锐的破击声或杂音 |
轴衬和轴颈被磨损造成油间隙过大,轴衬和轴承箱之间紧力过小或有间隙而松动 转子的叶轮,联轴器或带轮与轴松动 联轴器的螺栓松动,滚动轴承的固定圆螺母松动。 |
焊补轴衬合金,调整垫片,或 刮研轴承箱中分线 修理轴和叶轮,重新配键 拧紧螺母。 |
4 |
基础或机座的刚度不够或不牢固 |
生产邻近机房的共振现象,电动机和风机整体振动,而且在各种负荷情形时都一样 |
机房基础的灌浆不良,地脚螺母松动,垫片松动,机座连接不牢固,联接螺母松动。 基础或机座的刚性不够,促使转子的不平衡度引起强烈的共振。 管道未留膨胀余地,与风机连接处的管道未加支持或安装和固定不良。 |
查明原因后,施以适当的修补和加固,拧紧螺母,填充间隙 进行调整和修理,加装支撑装置。 |
5 |
风机内部有摩檫现象 |
发生振动不规则,且集中在某一部分。噪声和转速相符合,在启动和停车时,可以听见风机内部金属乱碰声。 |
叶轮歪斜与机壳内壁相碰,或机壳刚度不够,左右晃动。 叶轮歪斜与进气口圈相碰。 推力轴衬歪斜、不平衡或磨损。 密封圈与密封齿相碰。 |
修理叶轮和推力轴衬。 修理叶轮和进气口圈。 修补推力轴衬。 更换密封圈,调整密封圈和密封齿间隙。 |
十三. 技术协议要求
1.协议阶段、制造过程的特殊要求
(1)风机的壳体(带检修口)、出入口接管及法兰按照最大许用工作压力设计、制造并检验;引风机做保温骨架(并提供保温技术要求,保温厚度60mm);
(2)鼓引风机配雨帽和防鸟网,鼓风机壳体内外表面喷砂除锈,涂防腐油漆引风机主轴带SUS316L轴套;
(3)引风机机壳内部留有一定的腐蚀余量并涂防露点腐蚀油漆,耐温300度;
(4)带排液阀一个(法兰联接,带配对法兰、垫片);
(5)轴承箱结构形式为水平刨分,并配有定位销;
(6)轴承箱配迷宫密封;引风机轴承箱冷却形式为水冷夹套,冷却水入口设置闸阀及短接,出口配闸阀、短接及玻璃视镜;
(7)轴承箱排油管配手阀及管帽;
(8)轴封:采用填料密封(石墨盘根);
(9)联轴器:柔性双膜片联轴器,带中间加长节的联轴节;
(10)防护罩:无火花型护罩(铝制),带盘车用绞链门,必须为上开式、带合面、锁紧装置的铰链门形式,保证盘车的方便进行。护罩具有足够的刚度,在承受90KG的载荷时,其变形不超过原来的0.05%。
2.经验
确定设计院给的设计值或和厂家充分沟通,以保证不出现问题。
与厂家沟通明确以下主要内容。
(1)计算基础:设计数据表、图纸(小样图)、工程规定、引用标准规范等,遵守次序、不满足的责任等。
(2)供货范围和工作范围:供货范围需要明确的文字加带供货边界标记的P&ID图(非完全按图制造时);工作范围需要明确设计、制造、验收(测试)、油漆、包装、运输等分工及需要我方配合协作的内容。另外需要明确安装调试、技术(售后)服务、人员培训、资料及图纸、配合甲方检查监造、月进度报告等。
(3)性能保证、考核和验收:明确指标、条件、方式、合格标准、不合格处理、机械保证期及其维修后延长期等。
(4)所需公用工程和现场条件、对外接口条件:水、电、仪、气、汽等消耗量、连接方式、安装条件等。
(5)质量保证、检验与试验计划及地点:检验与试验计划、机械保证、性能保证、甲方见证停止点等。
(6)为保证产品质量,确认主要分包商,材料来源(含指定)与管理。
(7)外购件、外协件、外协工序的分包单位及其质量控制与管理。
(8)安装调试、技术服务、售后服务、人员培训、开箱验收等。
(9)推荐备品备件清单、专用工具清单:规格、数量。
(10)油漆防腐、包装、运输、交货状态:要求与不符的处理(可编入通用文件)。
(11)资料及图纸内容、交付进度、设计联络会:形式、规格、内容深度、数量(正副本)、方法、形式(书面/电子)、收发单位、时间及确认时间要求,法规监管物资的证书等,最终出厂文件目录与格式。
(12)偏差、不一致及未确认事项说明。
(13)其他事项说明:HSE、保密要求、当前工厂负荷等。
(14)附:与报价有关资格证明文件、关键工序加工装备等
十四.离心风机技术现状
我国国情不同于工业发达国家,中小型离心风机是劳动力密集型产品,附加值较低,先进的工业国家不会再在技术和工艺方面大量投资,但仍在提高产品质量、降低成本、便于维护和环保四个方面注重对产品的改进。对于离心风机产品,国外公司在质量上注重于提高机械效率及延长使用寿命,向节约资源和节省能量方向发展;在成本上则加强新材料的研制,降低物耗,并注重整个系统总成本的降低;在维护上从部件的通用化、维护换件简易化向自动化、无需维修、节省人力方向发展;在环保方面,注重于谋求安全可靠、向低噪声、低振动等防公害技术方向发展。
工程师必备
- 项目客服
- 培训客服
- 平台客服
TOP




















