【专业知识】高强度螺栓又叫高强度摩擦预紧螺栓,这些你知道吗?
2021年9月22日 11:35高强度螺栓是钢结构施工中最普遍常见的施工内容,所有钢结构工程师都会觉得熟悉得不能再熟悉了。然而事实可能并非如此,今天我们从最基本的概念的入手,带你重新认识高强度螺栓,可能会颠覆你最基本的认识。
高强度螺栓(High-Strength Friction Grip Bolt),英文直译为:高强度摩擦预紧螺栓,英文简称:HSFG。可见,我们中文施工中所说的高强度螺栓是高强度摩擦预紧螺栓的简称。在日常沟通中,仅仅是简略了“摩擦(Friction)”“预紧(Grip)”两个词,却造成了许多工程技术人员对高强度螺栓基本定义的理解,产生了误区。
高强度螺栓和普通螺栓的核心区别并不在于使用材料的强度,而是受力的形式。本质是是否施加预紧力,并利用静摩擦力抗剪。(我们推荐你关注“机械工程师”公众号,第一时间掌握干货知识、行业信息)
实际上在英标规范,美标规范中提到的高强度螺栓(HSFG BOLT)只有8.8级和10.9级两种(BS EN 14399 / ASTM-A325&ASTM-490),而普通螺栓却有包含有4.6,5.6,8.8,10.9,12.9等(BS 3692 11款表2);由此可见,材料强度高低并不是区别高强度螺栓与普通螺栓的关键。
由单个螺栓的计算可知,高强度螺栓抗拉和抗剪的设计强度均低于普通螺栓。其高强实质是:正常工作时,节点不允许发生任何相对滑移,即:弹塑性变形小,节点刚度大。
可见:在给定设计节点荷载的情况下,用高强度螺栓设计的节点并不一定能节省螺栓使用数量,但是其变形小,刚度大,安全储备高。适合用主梁,等要求节点刚度较大的位置,符合“强节点,弱杆件”的基本抗震设计原理。
高强度螺栓之强,并非在于其本身的承载能力设计值,而是表现于其设计节点的刚度大,安全性能高,抗破坏的能力强。
02高强度螺栓规格
国内常用的高强度螺栓分为 ASTM 及 JIS 规格。通常用的 ASTM 高强度螺栓有 A325 及 A490 两种,具体使用情况如表一所示。
表一 ASTM 高强度螺栓通用情况
A325 螺栓主要成分为 TYPE1 及 TYPE3 两种,TYPE1 为一般结构用,如需要时可以热浸镀锌,耐候钢材应配合使用TYPE3螺栓,采用 TYPE3 螺栓时设计图上应特别标明,A325 螺栓的机械性如表二所示。
表二 ASTM高强度螺栓机械性能
A490 螺栓的材料强度比 A325 高,但是 A490 螺栓不可热浸镀锌。A490 螺栓分为 3 种 TYPE 同样耐候钢材配合使用 TYPE3 型螺栓。A325 及 A490 螺栓标准直径以英尺为单位,以 1/8 英尺为单位增量,且皆介于 1 英尺至 1.5 英尺之间,以 1 英尺左右的直径较常用。
有些特殊的情况,所需螺栓直径超过 1.5,此时可采用 A490 螺栓。A490 螺栓使用情况如表一所示,材料强度如表二所示。ASTM 高强度螺栓的螺头及螺帽皆为六角形头,其中螺帽必须为重型六角形螺帽。
JIS规格的高强度螺栓分为六角螺栓头的 F 系列以及为减轻材料用量及美观需求而发展之圆螺栓头之 S 系列(见图一),圆螺栓头在安装后拆卸较困难。
图一 JIS F10T圆头型扭矩控制高强度螺栓
材料强度不同,F系列又分为 F8t、F10t 及 F11t 三种,s系列则分成 s8t 及 s10t 二种,其中 F11t 材质因品质较不易控制,仅部分制造商有制造生产资质,其材料强度如表三所示。
表三 JIS 高强度螺栓材料强度
JIS 螺栓直径以 mm 为单位,一般常用的直径规格在 12mm 至 24mm 之间。有过去的热浸镀锌经验可知,高强度螺栓在热浸镀锌前处理酸洗过程中会吸收氢氧,因此会产生延迟破坏现象,延迟破坏就是高强度螺栓紧固一段时间后发生突然断裂现象,这是因为金属结晶内蓄含的氢氧压力过大的结果。(我们推荐你关注“机械工程师”公众号,第一时间掌握干货知识、行业信息)
延迟破坏在 F10t 以上之高强度螺栓才会发生,F8t 以下不会发生,故摩擦结合所使用的热浸镀锌高强度螺栓只能用 F8t 以下。
因为中国土木水利工程学会所编著的《热浸镀锌钢桥设计施工手册》明确标明建筑使用 F8t 螺栓、F10 螺帽、F35 的华司组合及镀锌试验片的疲劳强度约比黑漆母材低 12kgf/mm2,因此对热浸镀锌的高强度螺母 F8t 应视情况考虑酌增螺栓用量。
螺栓的外观如图二所示,螺栓在螺栓头会标识其种类,如图三及四所示,以方便使用及施工管理。
图二 螺栓外观及尺寸
图三 ASTM 高强度螺栓之标示
图四 JIS 高强度螺栓之标示
螺栓需配合螺帽及垫圈使用,螺栓、螺帽加上垫圈组成螺栓组,表四及表五分别为 ASTM 及 JIS 高强度螺栓组的组合。耐候钢材应该配合耐候型螺栓、螺帽及垫圈使用。
表四 ASTM 高强度螺栓组
注:螺帽除A563-B外,其余皆为重型六角形螺栓。
表五 JIS 高强度螺栓组
另外垫圈可以避免螺栓或螺帽锁紧过程因旋转而伤及钢板,亦可分散螺栓顶部压力过于集中,此外,将垫圈在旋转端(螺栓头端或螺帽端)可以降低旋转面的摩擦力。
螺栓紧固过程会先锁到紧贴状态,所谓的紧贴状态就是使用专用的扳手拧螺栓数圈是结合面贴合之紧固状态。紧密状态下的螺栓内已经承受了部分预拉力。
图八为螺栓自贴紧情况开始,螺栓之轴拉轴向变形的曲线关系,横坐标为螺帽旋转圈数,等同于轴向变形,纵坐标为螺栓拉力,曲线至紧贴状态开始呈线性关系,然后在螺牙处会先屈服,曲线进入非线性阶段,紧接着螺牙处产生颈缩而强度开始下降,最后螺牙处断裂。
图八 螺栓之轴拉力-轴向变形关系曲线
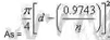
螺栓受拉力时,临界断面发生在螺牙处,螺牙的最大拉力强度为材料抗拉强度与涨紧力面As的乘积
其中,
=0.75 至 0.79Ab n = 每公分螺牙数 d=螺栓标准直径 Ab=螺栓标准断面积(cm2)=πd/4 材料的屈服发生在螺牙的凹痕处,螺牙的屈服会发生在局限在局部区域,而螺栓的轴向拉变形的关系曲线并没明确的在那个时间点,螺栓在螺牙出屈服时的载重为 proof load,等于螺栓材料的屈服强度与张力面积的乘积,A325 螺栓的 proof load 约为自身抗拉强度的 70%,A490 螺栓的 proof load 约为自身抗拉强度的 80%。
所以高强度螺栓在安装时需要加一预紧力 Tb,此预紧力为螺栓抗拉强度80%表八为 A325 与 A490 螺栓最小预紧力,表九为 JIS 螺栓最小预紧力。
A572 螺栓的最小预拉力约等于其 proof load,A490 螺栓最小预紧力也很接近其 proof load,实际施工时预拉力会高出最小预紧力,因此螺栓在施加预紧力时基本上已经屈服。
原则上,在不使用螺栓破坏,且不至使螺栓产生永久塑性变形至易产生松弛前提下,螺栓的预紧力越大越好。
表八 A325 及 A490 螺栓最小预紧力
表九 JIS 螺栓最小预紧力
普通螺栓可重复使用,高强度螺栓不可重复使用。
高强度螺栓一般由高强钢材制成(45号钢(8.8s),20MmTiB(10.9S),是预应力螺栓,摩擦型用扭矩扳手施加规定预应力,承压型拧掉梅花头。普通螺栓一般由普通钢材(Q235)制成,只需拧紧即可。
普通螺栓一般为4.4级、4.8级、5.6级和8.8级。高强度螺栓一般为8.8级和10.9级,其中10.9级居多。(我们推荐你关注“机械工程师”公众号,第一时间掌握干货知识、行业信息)
普通螺栓的螺孔不一定比高强度螺栓大。实际上,普通螺栓螺孔比较小。
普通螺栓A、B级螺孔一般只比螺栓大0.3~0.5mm。C级螺孔一般比螺栓大1.0~1.5mm。
摩擦型高强度螺栓靠摩擦力传递荷载,所以螺杆与螺孔之差可达1.5~2.0mm。
承压型高强度螺栓传力特性是保证在正常使用情况下,剪力不超过摩擦力,与摩擦型高强度螺栓相同。当荷载再增大时,连接板间将发生相对滑移,连接依靠螺杆抗剪和孔壁承压来传力,与普通螺栓相同,所以螺杆与螺孔之差略小些,为1.0~1.5mm。
普通螺栓和高强度螺栓由于其设计的受力原理不同,其在施工检验方法上有极大的区别。
同等级普通螺栓各项机械性能要求均比高强度螺栓略高,但高强度螺栓较普通螺栓多一项冲击功的验收要求。
标识样式对比
普通螺栓和高强度螺栓的标示是对同等级螺栓现场识别的基本方法。由于英美标准中对于高强度螺栓扭矩值计算的取值并不相同,所以识别两种标准的螺栓也有必要。(我们推荐你关注“机械工程师”公众号,第一时间掌握干货知识、行业信息)
价格对比
高强度螺栓:(M24,L60,8.8级)
普通螺栓:(M24,L60,8.8级)
可见普通螺栓大约为高强度螺栓价格的70%,结合其验收要求的对比,可以得出,其溢价部分就应该是为了保证材料的冲击功(韧性)性能。
普通螺栓的紧固程度并无明确规定,锁紧时所施加的力一般只要连接紧密即可。但因锁紧时未施加拉力,因此容易出现螺帽松弛脱落现象,为防止松脱的方法可用弹簧垫圈或采用双螺帽的方法由外螺帽将内螺帽压紧以防止两螺帽同步旋转而松弛。
采用双螺帽时内螺帽需使用重型六角螺帽,外螺帽可采用一般螺帽(见图九),一般高强度螺栓不论承载型的或者擦阻型因预紧后存在张力,此预紧力引致接触面正应力可产生抗扭转摩擦阻力,因而可使螺帽产生不松脱现象,所以不必附加防脱装置。
图 九
但若是由于特殊用途(例如振动机械或者车体重要结构位置)必须采用特殊夹头来防止螺帽松动的情况,螺栓的夹头决定螺栓及螺牙长度或形式,以便用来防止松脱,螺帽夹紧装置详细信息见图十。
图 十
高强度螺栓目前在汽车领域使用较为广泛,主要使用在汽车强度连接及其重要的部位,像汽车的轮毂等位置,为汽车的安全稳定行驶起到无可替代的作用。
免责声明:本文系网络转载,版权归原作者所有。如涉及版权,请联系删除!文中内容仅代表作者个人观点,转载不同于本平台认同或者持有相同观点。
工程师必备
- 项目客服
- 培训客服
- 平台客服
TOP




















