最新进展---Q-Slope在煤矿边坡稳定性中的应用
2021年10月26日 11:041 引言
在过去半个世纪中,基于工程岩体分类发展起来的经验设计方法得到了广泛应用,其中最流行的工程岩体分类方法是RMR和Q-System【工程岩体分类的简要回顾】。RMR起源于地下煤矿,在RMR的基础之上,又发展出两种经验设计方法,一个是Laubscher的MRMR【崩落采矿诱发地表沉降预测的经验方法(Caving Angle)】,广泛应用在崩落采矿法中;另一个是Romana的Slope Mass Rating(SMR),广泛应用在边坡工程中。90年代Hoek发展的GSI,其格式也沿用了RMR使用的加法系统。相比之下,虽然Q-System也源于隧道工程,但Q-System使用的是乘法系统,自从70年代提出以后,很少有人在此基础上进行扩展研究。唯一的改进是Potvin(1988)提出的稳定性数N′(Modified Stability Number),使用Q-System评价空场采矿法的稳定性,参看【经验的空场设计(Empirical open stope design in Canada)历史回顾】。
2015年,Q-System的作者Barton和Bar(2015)提出了一个改进的Q-System,称为Q-Slope,用来速评估没有支护的岩石边坡稳定性。这个笔记反映了Q-Slope的最新进展,简要概括了Bar and McQuillan 发表在EUROCK 2021(European Rock Mechanics Symposium, 21-24 September, 2021) 上的论文《Q-Slope application to coal mine stability》,这篇论文讨论了Q-Slope在澳大利亚煤矿边坡中的应用。
2 背景
澳大利亚煤矿边坡的高度普遍在20m~60m, 如同大多数沉积岩形成的煤层一样,地层通常是水平的,但局部的断层和节理会引起边坡发生破坏,尤其是块体倾倒破坏[岩石边坡倾倒破坏之块体倾倒(Block Toppling)数据集],下图所示的是一些破坏实例(Coal Mine Highwall Failure Examples)。这些边坡破坏型式很难使用极限平衡法或数值模拟技术确定出稳定的边坡角度,使用经验设计方法更合适。
3 Q-Slope方法
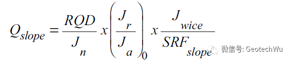
Q-System已经有40多年的历史, Q-Slope是在Q-System的基础上发展起来的,输入参数和计算方法与Q-System基本相同。Q-Slope是一种经验的评估开挖岩石边坡稳定性方法,它允许岩石工程师和工程地质学家在施工过程中,随着岩石质量状况的明显变化而对边坡角度进行可能的调整。通过欧洲、澳大利亚、亚洲和中美洲的案例研究,建立了Q-slope与长期稳定边坡角之间的简单关系。
如上式所示,Q-Slope方法使用了7个参数:
(1) RQD;
(2) J_n---节理组数(joint set number);
(3) J_r---节理粗糙度(joint roughness);
(4) J_a---节理调节(joint alternation);
(5) O-factor---产状系数(orientation factor);
(6) J_wice---环境和地质条件(environmental and geological condition);
(7) SRF_slope---边坡的强度折减因子(strength reduction factor)
在以前的文章中,曾经讨论过RQD/Jn的确定方法,参看[Q-System岩石块体尺寸的估算(RQD/Jn)]。基于503个案例研究,在边坡高度小于50m, 无需支护的情况下,边坡角度beta与Q-slope之间回归出一个简单的线性关系式。
其中红色的区域表示边坡不稳定,绿色的区域表示边坡稳定。根据上述关系式,可以得出一些稳定的边坡角临界值。Q-Slope典型地使用在小于50m高的边坡,但对大于200m的均质地层也可应用。
Q-Slope = 10 -> slope angle 80°~85°
Q-Slope = 1 -> slope angle 60°~65°
Q-Slope = 0.1 -> slope angle 40°~45°
Q-Slope = 0.01 -> slope angle 25°
4 Q-Slope应用
下图所示的是澳大利亚的一个煤矿边坡,地层主要为泥岩,粉砂岩,砂岩互层,边坡高度30m, 未破坏前的边坡角为65°。下面使用Q-Slope进行反分析,以确定稳定的边坡角。
通过现场工程地质调查,估算出如下参数:
(1) RQD=70%;
(2) J_n=12; (多节理组)
(3) J_wice=1;
(4) SRF_slope=2.5
边坡破坏的成因是构造控制的破坏(Structurally controlled failure),两组节理产生出如上图所示的楔形体(Wedge involving two joint sets)【[重要]岩石边坡工程课程---楔形滑动(Wedge Sliding)分析(C8)】。
对Set A:
J_r=2;
J_a=4;
O_factor=0.75
对Set B:
J_r=2;
J_a=4;
O_factor=0.90
把上述参数值带入关系式,可得到Q-Slope=0.39,Beta=57°,这个角度与破坏前的65°小了8°,因此建议消减边坡角使得边坡稳定。
5 SSAM方法
另一种经验设计方法是SSAM, SSAM代表着Slope Stability Assessment Methodology, SSAM是专为煤矿边坡发展的经验设计方法,计算SSAM需要输入10个参数,包括岩体类型(Rock mass type), 结构产状, 贯通度和条件(Structure orientation,persistence and conditions), 风化程度(Weathering), 地下水(Groundwater), 边帮形状,高度和角度(Wall geometry, height and angle)等 。边坡破坏的可能性(概率)LoF(Likelihood of failure)按下式计算。这个关系式是基于澳大利亚和加拿大140个煤矿的实测数据回归得出的。
SSAM与Q-Slope的关系如下式表示:
SSAM=7.5*log10(Q_slope)+82.5 (图中实线)
当Q_slope大于等于2时,SSAM=65*log10(Q_slope)+65 (图中虚线)
6 结束语
尽管先进的数值模拟技术还在不断发展,但经验设计方法仍然是一种快速有效的边坡稳定性评价方法【岩石边坡工程课程---工程岩体分类[Engineering Rock Mass Classification](C5)】,不过这需要岩土工程师进行详细的工程地质调查以及具备较强的工程判断力。
工程师必备
- 项目客服
- 培训客服
- 平台客服
TOP




















