牛津大学《ACS EL》:锡铅卤化物钙钛矿的光电特性!














































































































































































































































































































































































































































































































































































混合锡 卤化铅钙钛矿最近成为高效单结和多结光伏器件的极具前景的材料。本综述讨论了材料的内在机制和缺陷介导机制,发现增加锡含量可能导致电荷载流子迁移率增加,激子结合能降低,并可能减缓电荷载流子冷却,所有这些都有利于光伏应用。 研究发现可在中等锡含量下实现有吸引力的近红外带隙。然而,富锡的化学计量比仍然受到锡氧化和空位形成的影响,这通常会掩盖基本上可实现的性能,导致高背景空穴密度,加速电荷载流子复合,降低电荷载流子迁移率。

来自牛津大学等单位的研究人员研究了对光伏器件性能的影响,并对该领域的前景进行了展望。相关论文以题目为“ Optoelectronic Properties of Tin−Lead Halide Perovskites 发表在 ACS Energy Letters 期刊上。

论文链接:
https://pubs.acs.org/doi/10.1021/acsenergylett.1c00776?ref=pdf

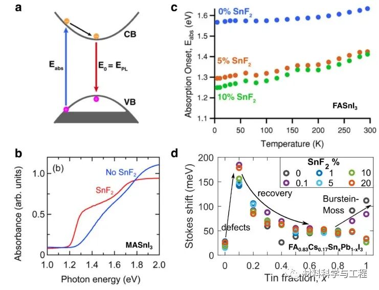
牛津大学《ACS EL》:锡铅卤化物钙钛矿的光电特性!的图1


金属卤化物钙钛矿最近成为太阳能发电的一类令人兴奋的新型半导体,其器件效率目前与商用硅电池的效率相当。到目前为止,单结器件的最高功率转换效率(PCE)依赖于铅基钙钛矿的优异性能,其具有很强的吸收能力,较长的电荷载流子寿命和扩散长度,和高缺陷容限。然而,卤化铅钙钛矿可达到的最低带隙约为1.5eV,单结器件的最大理论效率需要1.3 eV。加上对可溶形式铅毒性的关注,这些问题导致了对替代金属卤化物半导体的研究增加。目前,解决这些问题最有希望的材料是混合金属锡,其中A位通常由甲脒(FA+)、甲基铵(MA+)、铯(Cs+)或其混合物占据,x位主要由碘化物占据(以实现最低带隙),但也有报道称含有溴。如最近综述所述。与钙钛矿硅串联电池相比,这种器件结合了多种结构的增强效率、更低的加工温度和更高的成分可调性。

Sn基卤化铅钙钛矿在光伏器件中有着明显的优势,对其潜在光电特性的认识仍在不断涌现。在这里,一个障碍是内在效应和源自缺陷化学的外在效应的相互作用。此类问题在富锡化学计量中尤为突出,其中锡在其2+状态下不稳定,导致空穴的高背景掺杂密度。因此,该领域仍在努力探索光电性能的真正基本极限,这可能被这种无意掺杂所掩盖。这篇综述旨在揭示这些效应,提供一个关于锡的光电特性的清晰观点。解释了在这些材料中控制带隙弯曲特殊效应的基本科学概念,并讨论了激子结合能、电荷载流子冷却和最大可达到电荷载流子迁移率的一系列变化。(文:爱新觉罗星)

牛津大学《ACS EL》:锡铅卤化物钙钛矿的光电特性!的图2

1。锡-铅钙钛矿中的Burstein−Moss效应。

牛津大学《ACS EL》:锡铅卤化物钙钛矿的光电特性!的图3

2。锡氧化和空位形成对锡中载流子寿命的影响。

牛津大学《ACS EL》:锡铅卤化物钙钛矿的光电特性!的图4

3。成分和缺陷对锡中载流子迁移率的影响。

本文来自微信公众号“材料科学与工程”。欢迎转载请联系,未经许可谢绝转载至其他网站。

登录后免费查看全文
立即登录
App下载
技术邻APP
工程师必备
  • 项目客服
  • 培训客服
  • 平台客服

TOP

1