岩土-渗透试验(变水头渗流实验)
2022年1月28日 15:531. 概述
1.1渗流基本概念
水在土中的渗流是由水头差或水力梯度(hydraulic gradiant)引起的,根据D.伯努利(Bernoulli,1738)定理,所谓水头(hydraulic head),其定义为
当水在土中渗流时,其速度很慢,因此由速度引起的水头项可以忽略,得出
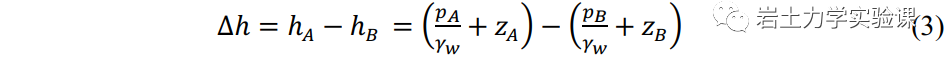
A、B两点的水头差为
1.2 土的层流渗透定律
由于土体中孔隙一般非常微小且很曲折,水在土体流动过程中黏滞阻力大,流速十分缓慢,因此多数情况下其流动状态属于层流,即相邻两个水分子运动的轨迹相互平行而混流。
法国工程师H.达西(Darcy,1855)利用图2所示的试验装置对均匀砂行了大量渗透试验,得出了层流条件下,土中水渗流速度与能量(水头)损失间关系的渗流规律,即达西定律。
达西试验装置的主要部分是一个上端开口的直立圆筒,下部放碎石,碎石上放一块多孔滤板c,滤板上面放置颗粒均匀的土样其断面积为A,长度为L。筒的侧壁装有两支测压管,分别设置在土样上下两端的过水断面处1、2。水由上端进水管a注入圆筒,并以溢水管b保持筒内为恒定水位。透过土样的水从装有控制阀门d的弯管流入容器V中。
当筒的上部水面保持恒定以后,通过砂图2达西渗透试验装置土的渗流是恒定流,测压管中的水面将恒定不变。图2中的0-0面为基准面,分别为1、2断面处的测压管水头;
即为经过砂样渗流长度L后的水头损失。
达西根据对不同尺寸的圆筒和不同类型及长度的土样所进行的试验发现,单位时间内的渗出水量q与圆筒断面积A和水力梯度i成正比,且与土的透水性质有关,即
写成等式则为
式(5)或式(6)即为达西定律表达式,达西定律表明在层流状态的渗流中,渗流速度。与水力梯度的一次方成正比.但是,对于密实的黏土,由于吸着水具有较大的黏滞阻力,因此,只有当水力梯度达到某一数值,克服了吸着水的黏滞阻力以后,才能发生渗透。
1.3 渗透试验及渗透系数
渗透系数k既是反映土的渗透能力的定量指标,也是渗流计算时必须用到的一个基本参数。它可以通过试验直接测定。测定方法可分为室内渗透试验和现场试验两大类。
(1)室内渗透试验测定渗透系数
室内测定土的渗透系数的仪器和方法较多,但从试验原理上大体可分为常水头法和变水头法两种。
常水头法是在整个试验过程中,水头保持不变,其试验装置如图3所示。前述达西渗透试验也属于这种类型。
设试样的高度即渗流长度为L,截面积为A,试验时的水位差为,这三者在试验前可以直接量测或控制。试验中只要用量筒和秒表测得在某一时段t,内经过试样的渗水量Q即可求出该时段内通过土体的单位渗水量
将上式代入式(5)中,便可得到土的渗透系数
黏性土由于渗透系数小,流经试样的水量很少,难以直接准确量测,因此,应采用控水头法。在装个试验过程中,水头是随着时间面变化的,试验装置如图4所示。试样的一端与细玻璃管相接,在试验过程中量测某一时段内细玻璃管中水位的变化,就可根据达西定律,求得土的渗透系数。
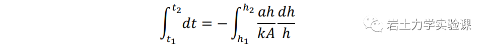
设细玻璃暂的内截面积为a,试验开始以后任一时刻t的水位差为h,经过时段dt,细玻璃管中水位下落dh,则在时段dt内经过细管的流水量为
式中,负号表示渗水量随h的减小而增加。
根据达西定律,在时段dt内流经试样的水量又可表示为
同一时间内经过土样的渗水量应与细管流水量相等:
将上式两边积分
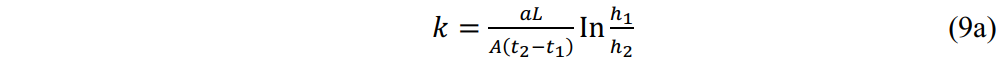
即可得到土的渗透系数
如用常用对数表示,则上式可写成
(2)现场测定渗透系数
在现场进行渗透系数k值测定时,常用现场井孔抽水试验或井孔注水试验的方法。对于均质的粗粒土层,用现场抽水试验测出的值往往要比室内试验更为可靠。
图5为一现场井孔抽水试验示意图。在现场打一口试验井,贯穿要测定,并在距井中心不同距离处设置一个或两个观测孔。然后自井中以不变的速率连续进行抽水。抽水造成井周围的地下水位逐渐下降,形成一个以井孔为轴心的降落漏斗状的地下水面。测定试验井和观察孔中的稳定水位,可以画出测压管水位变化图形。测定水头差形成的水力梯度,使地下水流向井内。假定水流是水平流向时,则流向水井的渗流过水断面应是一系列的同心圆柱面。待出水量和井中的动水位稳定一段时间后,若测得的抽水量为q,观测孔距井轴线的距离分别为r1、r2,孔内的水位高度h1、h2,通过达西定律即可求出图层的平均值。
2. 仪器设备
变水头渗透仪(见图6);天平(感量1g);量筒;温度计(分度值0.5℃);切土器、秒表、捣棒、橡皮管、支架。
3. 操作步骤
确切地说是降水头试验,适宜于弱透水性的细粒土(k<10-3cm/s)。试验前土样必须完全饱和,以排除气泡的影响。
变水头渗透试验是试验过程中水头差一直在随时间而变化,即测计dt时间段内的水位落差dh建立瞬时达西定律,从而推导出渗透系数k的表达式。
(1)根据需要用环刀在垂直或平行土样层面切取原状试样或扰动土制备成给定密度的试样,并进行充分饱和。切土时,应尽量避免结构扰动,并禁止用削土刀反复涂抹试样表面;
(2)将容器套筒内壁涂一薄层凡士林,然后将盛有试样的环刀推人套筒,并压人止水垫圈。把挤出的多余凡士林小心刮净。装好带有透水板的上、下盖,并用螺丝拧紧,不得漏气漏水;
(3)把装好试样的渗透容器与水头装置连通,如图6所示。利用供水瓶中的水充满进水管,并注入渗透容器。开排气阀,将容器侧立,排除渗透容器底部的空气,直至溢出水中无气泡。关排气阀,放平渗透容器;
(4)在一定水头作用下静置一段时间,待出水管口7有水溢出时,再开始进行试验测定;
(5)将水头管充水至需要高度后,关进水管夹,开动秒表,同时测计起始水头h1.经过时间t后,再测计终水头h2.如此连续测计2~3次后,再使水头管水位回升至需要高度,再连续测计数次,需6次以上,试验终止,同时测计试验开始时与终止时的水温。
4. 计算结果整理
5.注意事项
(1) 水头差的变化控制要适度,以准确绘制v-I曲线;
(2) 环刀取样时,应尽量避免扰动土体结构,并禁止用切土刀反复涂抹试样表面;
(3) 环刀边要套橡皮胶圈或涂一层凡士林以防漏水,透水石需要用开水浸泡。
工程师必备
- 项目客服
- 培训客服
- 平台客服
TOP




















