船舶与浮冰的碰撞仿真模拟
2022年3月9日 17:28很多海域在冬季都会出现结冰现象,浮冰会严重影响航运安全,海域冰情加剧时甚至需要破冰船将水面上的冰层破碎,进而开辟船舶的航道,以引导冰区船只的正常航行,靠近北极的国家还拥有专门的北极破冰船。
图1 战斗民族“领袖”号破冰船
对于行驶在北极航道的船只,由于浮冰众多,在船舶行驶过程中很可能因为大块的浮冰撞击而导致船舶结构损伤,甚至对船体结构、海上交通及生命安全带来严重的影响。
我国“天恩”号货轮进入北极航道数天后,曾遭遇一片密集的浮冰,不过“天恩”号在设计时针对不同程度的冰情进行了不同程度的加固,除了外板、甲板、舷侧骨架、首尾结构和拖带、操纵设备等均做了相应加强外,轮机装置中主机、轴系、减速齿轮装置、螺旋桨、起动装置及冷却水系统、液压系统等设备性能提升也做足了功夫。“天恩”号最终在没有破冰船的帮助下,孤身一船成功穿越北极航道。
图2 我国“天恩”号货轮穿越布满浮冰的北极航道
1
模 拟 仿 真
1
船舶水动力
使用标准的船舶水动力CFD模拟求得船舶在静水中航行的的各流场分布和阻力值;
2
浮冰碰撞
使用Discrete Element Method (DEM)来模拟浮冰,耦合方式为单耦合,即浮冰仅从流场中获取流场对其施加的力,通过CFD与DEM的结合再现了船舶-波浪-浮冰的相互作用;
3
浮冰随机分布
使用数学模型描述自然界中浮冰的随机性。
船舶水动力
以KRISO集装箱船(KCS)模型为研究对象,该模型尺度的船模曾被用于很多实验,便于验证仿真的准确性。船型主要参数见表1。
表1:KCS船模主要参数
船舶静水模拟采用雷诺平均法(RANS)求解,VOF法描述自由液面,和 k-w SST湍流模型。
图3 船舶静水计算域与边界条件
进口速度U用无量纲弗洛德数 表示,其中g 和 Lpp 分别表示重力和船长。
浮 冰 碰 撞
浮冰采用Discrete Element Method(DEM)建模,其路径追踪基于拉格朗日方法,与欧拉流体单向耦合,即DEM颗粒从流场中获取压力和速度等,而流场不受DEM颗粒的影响。
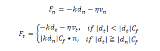
碰撞模型如图4所示。
图4 DEM碰撞模型
其中:
dn和dt分别表示法向和切向方向的重合量;
vn和vt分代表法向和切向速度;
Cf为摩擦系数;
k和η分别为弹性和耗散系数。
浮冰随机分布
以往的研究中有学者曾使用过均匀大小和均匀分布的阵列冰用于研究,如图5,但这是不切合实际的,因此会导致结果存在人为随机性,降低参考价值。
图5 均匀大小与分布的阵列冰
现实中,海洋浮冰一般具有两个特征:
1 不同的尺寸大小;
2 随机的位置分布。
图6 覆盖率40%(左)和70%(右)的自然随机分布浮冰
2
结 果 分 析
图7 仿真示例结果
本研究的重点研究对象是船舶阻力,在浮冰海况下该阻力可分为静水阻力和碰撞阻力:
静水阻力由压力和粘性阻力两部分组成,可直接从CFD模拟中导出;
碰撞阻力需要进行后处理,采用冲量平均的方法,即记录下一定时间内每个单体碰撞的冲量的总和,再对总冲量进行这段时间内的冲力计算,得出的平均冲力大小即为平均碰撞力。
图8 单个浮冰碰撞冲量历史
图9 碰撞力的收敛
3
实 验 验 证
为了验证模型的有效性,将以上模拟结果与哈工程大学开展的相关实验进行了对比。
实验中:
船舶速度区间为Fr=0.06到0.18;
浮冰的覆盖率有60%和70%两种工况;
冰的厚度为恒定的20mm。
模拟结果和实验结果对比见图10。
图10 模拟结果与实验结果对比
由图10可以看出模型结果与实验结果非常接近,从而验证了该船舶与浮冰碰撞模型的准确性及模拟方法的可行性。
详细内容可参阅:
Ship resistance when operating in floating ice floes: a combined CFD&DEM approach
https://www.researchgate.net/publication/335989873_Ship_resistance_when_operating_in_floating_ice_floes_a_combined_CFDDEM_approach
- End -
工程师必备
- 项目客服
- 培训客服
- 平台客服
TOP




















