为什么一定要高压输电?有什么好处?
2022年3月11日 13:21高压交流输电的原理
首先我们很明确知道,我们使用的电都是来自于发电厂,这些发电厂的形式也是多种多样,例如火力发电厂,水电站,核电厂,风电厂以及光伏发电厂等等。那么目前由于成本以及维护费用这一块的原因,火力发电厂仍然是提供电力资源的主力军。
一般的,发电厂内发电机组的输出电压一般在千伏级,那么我们可以试想一下如果要为一个城市提供电力,站在发电厂的角度来考虑,到底发电厂需要输出多大的交流电压呢?是将发电机组输出的电压降压,保证用户端的电压为220V?还是将其升压到更高的电压输出,然后再在用户附近将其变压回220V市电呢?
我们先来看看第一种方案,用户端直接接受来自发电厂的电压,不部署变压器在用户的附近:
我们可以看到,由于电缆过长导致100KM的电缆上的阻值有近30Ω,所以当发电厂输出220V市电的时候,由公式U=I*R,很显然电缆上会分担一部分电压,这会导致用户无法得到标准的220V市电。所以发电厂需要输出比220V更高的电压,来保证用户端可以得到标准的220V市电。
现在让我们从功率的角度考虑一下这个问题。用户需要220V市电以及10A的电流输出,那么我们需要保证用户得到的是220V的电压(在10A的供电电流下)。那么现在我们就可以根据我们需要输出的电流(10A)来计算电缆上的压降以及功率了:
那么在此情况下,可以看出电缆上耗费了近3000W的功率,甚至比用户需要的功率还要高,这说明发电厂输出的电能超过一半被浪费在了传输上!!!!!
这对于实际应用来说实在是很不经济,因为电缆的功率损失导致效率的低下。这就是为什么我们需要高压交流输电系统,所以我们来看看第二种方案,发电厂将发电机组输出的电压升压到很高,然后传输出去,用户端部署变压器来得到220V市电:
从这幅图中可以看到发电机组输出的电压被升到很高,然后在输出端经过降压后得到标准的220V市电。假设变压器上导致的功率损失我们忽略不计,发电机组和升压变压器距离很近,导线电阻忽略不计,降压变压器距离用户很近,同样忽略导线电阻。那么当用户需要220V市电以及10A的电流输出时,我们可以计算一下电缆上的压降以及损耗功率:
由于当功率不变的情况下,电压越高导致电流越小,所以在这个例子中,采用高压交流输电系统情况下,在导线上损耗的功率占总输出功率中很小的部分,因此整个系统的效率得到成倍的提高。那么通过提高传输电压可以尽量的减少电缆线上的压降,以减少由于电缆线电阻导致的功率损失。
不过在这个例子中我并没有涉及到变压器的功率损失,在实际应用中变压器会由于铁损、铜损、磁滞等等原因导致功率损耗。我在这里只是想展现出输电线上电压不同对整体效率的影响,所以变压器损耗不计算在内。
高压交流输电的确解决了许多问题,例如位于湖北宜昌市的三峡水电站,是世界上最大的水利工程,其输出电压近500KV交流电,极高的电压可以最大限度的减少消耗,提高效率。其输出电力送达华中五省(湖北,湖南,河南,江西以及重庆),以及一千多公里外的华东城市群等等。这么庞大的电力供应,任何在电力传输途中遇到的问题都会被放大化,导致极高的损失。
现交流高压输电存在的问题
之前我讲解了为什么采用高压输电的原因,对于远距离输电系统中,导线中的电流应该尽量减少以减少功率损耗。那么,对于高压输电来说,在传输中损耗是否只来自导线电阻呢?
问题一:感抗
在高压交流输电系统实际使用中,电力传输线不仅仅存在一定的电阻,还存在自身的感抗。如果了解过一些关于模电的知识的话,就应该知道关于如何计算感抗的公式:
那么通过这个等式我们可以看到,当输电线上频率为50HZ(市电频率)的时候,感抗的大小就可以很方便的被计算出来。
问题二:电容
首先我们搞清楚最基本电容器的原理是什么。我这里介绍一下平行板电容器,它是一个可以存储电荷的元件,他的基本构造就是两个互相靠近的导体,中间夹上一层不导电的绝缘介质。如下图所示:
看到这个公式有些复杂,不过其实不用去计算它,我在这里只是粗略讲解平行板电容器的大小是由什么因素决定的,所以我们发现:
再根据一些模电的基础知识我们得知:
那么我们就可以根据这个公式来计算容抗了。在日常生活中,我们可以发现输电塔上往往都有好几根并排布置的输电线:
那么这些输电线之间互相并排布置,且均为导体,并且空气作为绝缘介质,那么此时在两根线之间就会存在电容:
那么计算这些平行导线之间的电容有另外的一个公式,和计算平行板电容器的公式很相似:
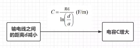
那么我们根据刚刚提到的影响电容的这些因素得知,当输电线距离越近的时候,那么他们之间的电容也就会越大:
那么电容越大会导致什么?根据前面我提到的容抗的计算公式可知,其他条件均不变时,电容越大,容抗越小:
那么容抗越小代表什么?容抗代表了电容器对交流电的阻碍大小,容抗越大代表越会阻碍交流通过,容抗越小代表对交流信号的阻碍作用越小。那么如果输电线之间间距很近会导致什么?
所以这也是高压输电线一般间距都较远的原因,为了最大化的减少导线之间的电容以减少电力损失。那么如果我们从宏观来看的话,大地作为一个导体,输电线作为一个导体,它们之间有空气作为绝缘介质,那么它们之间也会存在电容:
那么同样根据我刚刚提到的,其他条件均不变的时候,导体距离越近,他们之间的电容就越大,那么如果我们将输电线架设在较矮的位置,甚至是埋在地下的时候,势必会导致电容增大:
这也就是为什么高压线路需要架设在很高的地方,尽可能减少输电线与大地之间的电容。
现在看来,输电线的假设方法还有不少讲究,输电线首先自身就有电阻,并且存在自身的电感,当它架设在空中的时候还和其他输电线,大地之间形成了电容。为了方便理解输电线各个特性之间的关系,我将一根输电线简化一下,变成以下的电路:
可以看到输电线基本上可以等效成自身电阻电感,加上输电线之间或者输电线对地并联的电容,这些因素共同都造成了高压交流输电系统中电力的衰减以及流失。
问题三:趋肤效应
关于这个效应其实是在输电线中存在交流电通过时,由于导线中心反向感应电流较大的缘故,从输电线的横截面查看电流并不是均匀的、从输电线内各个位置流过的,而是会集中在输电线的表层,从而输电线内部中心区域电流通过较少,这会使得输电线对于交流电通过时阻抗增加,增加消耗。
从图上看出,外围电流密度最大,越往中心,电流密度越低。为了解决这个问题,电缆线生产厂家采用多股细导线铰接在一起,来代替一根粗导线,来最大化减少趋肤效应带来的能量损耗:
问题四:有功功率和无功功率
让我们搭建一个电路,负载采用纯阻性负载,然后测量通过电路的电流以及电压:
我们可以发现,它是同相位的,即电压最大的时候,电流也是最大的。让我们再来看看负载为纯感性负载的时候
我们可以发现,它并不是同相位的,即电压最大的时候,电流为0。并且电流信号会滞后(lag)电压信号四分之一个周期。接下来让我们看看负载为纯容性的时候:
我们可以发现,它并不是同相位的,电压最大的时候,电流仍然是0。但是这次和纯感性负载不同,电流信号超前(lead)电压信号四分之一个周期。
我们在总结一下:
那么我们使用软件计算一下功率,首先是纯阻性负载:
可以看到功率曲线上的所有值全部大于零,这里说明对于纯阻性负载,在交流信号下,电网输出的所有功率全部被负载用掉了,电网输出的所有能量全部被我们的负载用来做功(不考虑负载上各种损耗情况下)我们称这种功率为有功功率。接下来看看纯感性负载和纯容性负载:
我们看到功率曲线和正弦曲线一样,但是和纯阻性负载不同,功率曲线上一部分值大于零,一部分值小于零。如果我们对于图中所示的功率曲线,在单个周期内进行积分运算的话,我们可以发现他的值是零,这代表了什么意思呢?为什么单个周期内功率积分会是零?
那么这个功率曲线也代表了纯感性负载和纯容性负载的特性,由于电流和电压相位不同的原因,导致了他们在电路中并不消耗功率,而是在“吸收”电网中的能量以及“释放”能量到电网这两种状态中转换。时而将电能吸收并存储下来,时而送回到电网中去,他们并不会像纯阻 性负载一样,从电网中索取能量并且转换为热能(电热壶,加热器等等)或者其他能量类型,他们只是扮演者一个能量交换的作用,他们并不对外做功。这种类型的功率,我们称为无功功率。
那么无功功率从哪里来的呢?我们知道对于电感和电容这种储能元件来说,都会在电网中产生无功功率,那么家庭中会有哪些设备是呈感性负载或者容性负载的呢?
电风扇,日光灯的镇流器都属于感性负载。对于电网来说,导线自身电感、变压器也算的上感性负载。所以对于这些感性负载,他们会同时消耗有功功率以及无功功率:
我们前面说到无功功率并不是实际的消耗能量,他们并不对外做功。但是在实际电网中,储能器件“吸收”和“释放”电能量过程中产生的电流还是赤裸裸存在的,由于导线上的电阻,这些电流依然会引起在导线上的损耗!!!!
高压交流输电总结
首先,高压交流输电系统得益于交流电可以很容易的改变电压(通过变压器),因此在总输出功率一定的情况下,使用更高的电压可以最大化减少电网中的损失。而因为交流电网中存在导线自身电感,对地电容,趋肤效应,无功功率等等因素,导致了高压交流输电网中的巨大的能量损失。
工程师必备
- 项目客服
- 培训客服
- 平台客服
TOP




















