磁性传动齿轮研究综述
2022年3月23日 14:15随着永磁材料的发展、新拓扑结构的涌现以及新的分析计算模型的提出,磁性传动齿轮在21世纪得到了较大的发展,对磁性齿轮的研究具有重要的理论意义和实际价值。本文着重地归纳、分析近年来专家学者们围绕磁性传动齿轮这一主题所取得的研究成果,尤其对同轴磁性齿轮、磁性行星齿轮等磁性传动齿轮的拓扑结构与数学计算模型等研究进展进行了综述,并讨论了磁性传动齿轮有待深入研究的方向和未来的发展趋势。
1 同轴磁性齿轮
1.1 同轴磁性齿轮的工作原理
经典的同轴磁齿轮主要由三部分构成:内转子、外转子以及调磁环。永磁体均匀地排布在内转子的外表面和外转子的内表面,调磁铁心块串联成调磁环放置在内、外转子间的中间位置。并且内转子永磁体极对数pin、外转子永磁体极对数pout以及调磁铁心块的个数Ns满足:
Ns=pin+pout
(1)
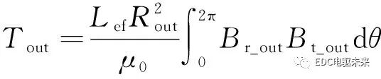
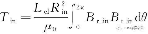
同轴磁齿轮的工作原理:在内转子转速nin与外转子转速nout满足nin/nout=pout/pin的条件下,调磁环对气隙磁场产生了调制效应,同极同步的谐波对相互耦合,进而产生了稳定的转矩。根据麦克斯韦张量法可知,磁场耦合在内、外转子上产生的磁力转矩分别如下:
(2)
(3)
式中:Tin,Tout分别表示内转子与外转子的磁力转矩;Lef表示同轴磁齿轮的轴向长度;Rin,Rout分别表示内气隙与外气隙的半径;μ0表示真空磁导率;Br_in,Bt_in分别表示内气隙中磁密的径向分量和切向分量;Br_out,Bt_out分别表示外气隙中磁密的径向分量和切向分量。
1.2 同轴磁性齿轮的拓扑发展
2001年,英国谢菲尔德大学的Atallah K与Howe D首次提出了基于磁场调制原理的同轴磁场调制式磁性齿轮[9],其拓扑结构如图1所示。模拟研究表明,通过使用高性能永磁体,该磁性齿轮的转矩密度理论上可以达到100 kN·m/m3。同轴磁场调制式磁性齿轮的提出开创了同轴磁性齿轮研究的新局面。
图1 同轴磁齿轮结构图
此后的一段时间内,磁场调制式磁性齿轮成为磁性传动齿轮的主要研究方向。2005年,丹麦奥尔堡大学的Rasmussen P O提出了采用聚磁式转子结构的磁场调制式磁性齿轮[10],其拓扑结构如图2所示。经过试验,其转矩密度可以达到54 kN·m/m3,效率可以达到81%,对磁性齿轮中的损耗分量进行了系统的分析,发现一个比较大的磁损耗来源于轴承。同时,文献[10]指出采用聚磁式转子结构,尺寸比文献[9]提出的磁性齿轮更小,机械稳定性更高,可有效提高系统的可靠性。
图2 聚磁式结构同轴磁性齿轮
2010年,JIAN L将Halbach磁极阵列应用到同轴磁齿轮的设计中[11],其拓扑结构如图3所示。Halbach磁极阵列可以增强气隙侧的气隙磁密,工程上被公认为是一种近似理想的磁极分布结构。JIAN L通过模拟实验得出结论:采用Halbach磁极阵列的同轴磁性齿轮与传统的同轴磁性齿轮相比,至少可以提高13%的转矩密度,降低67%的齿槽转矩,并且可以降低28%的铁损。Halbach磁极阵列同轴磁性齿轮在几乎不增加永磁体消耗的情况下,可有效地提高转矩密度,降低转矩波动,具有重大的工程实际意义。
图3 Halbach磁极阵列同轴磁性齿轮
湖南大学的刘晓等提出了一种双磁场调制同轴磁齿轮[12],相较于传统的同轴磁齿轮,其外转子永磁体采用辐条式结构,同时在最外层增设一个静止的辅助调磁环,其拓扑结构如图4所示。辅助调磁环可以有效地减少磁通泄露,加强磁场谐波,使产生工作转矩的谐波含量得到提高。通过模拟实验,双磁场调制同轴磁齿轮比传统同轴磁齿轮的永磁体利用率提高了73%,比采用聚磁式转子结构的同轴磁齿轮的永磁体利用率提高了44%。由于双磁场调制同轴磁齿轮拓扑结构的特殊性,其辅助调磁环受力情况较复杂,为了验证其机械结构的可靠性,刘晓在文献[13]中建立了多物理场仿真模型并进行了仿真验证。双磁场调制同轴磁齿轮相比于传统同轴磁齿轮,永磁体利用率得到显著的提高,为同轴磁性齿轮的拓扑研究指出了新的方向。但也应该考虑到,在引入辅助调磁环后,气隙由2个变成3个,拓扑结构更复杂,对其进行数学解析的难度增加,也对工业装配水平提出了更高的要求。
图4 双磁场调制同轴磁齿轮结构示意图
最近,Ali Moghimi提出了一种新型的三速同轴磁性齿轮[14],其主要由3个转子(内转子、中转子和外转子)以及2个调磁环(内调磁环和外调磁环)组成,拓扑结构如图5所示。在文献[15]中,Ali Moghimi团队通过实验验证了:在三速同轴磁齿轮中,对中间转子进行优化设计可以提高气隙中的磁感应强度,进而提高最大输出转矩。三速同轴磁齿轮存在3个转子,可以实现一种多端口输入或者多端口输出的工作状态,比如可以将其应用在混合型风力发电机上,将阻力型叶片通过主轴安装在中转子上,将升力型叶片(H型)安装在外转子上,二者共同捕获风能,进而提高整个系统的运行效率[16]。三速同轴磁齿轮提高了磁性传动齿轮的最大输出转矩,然而其机械稳定性与可靠性还有待验证,并且气隙的数量为4个,拓扑的复杂性大大增加,给工程实际应用增加了难度。
图5 三速同轴磁齿轮结构示意图
Abdelhamid D Z对调磁环的结构进行设计与优化,比较了3种不同的调磁环结构对同轴磁性齿轮性能的影响[17],其拓扑结构分别如图6(a)、图6(b)、图6(c)所示。文献[17]中,Abdelhamid D Z通过时步有限元仿真得出结论:对调磁环进行适当设计可以在不减小转矩传递效率的情况下,降低同轴磁齿轮的转矩脉动,并且指出,当调磁块连接桥的位置靠近低极数的转子时,同轴磁性齿轮可以输出更高的工作转矩。文献[18]中,蹇林旎副教授考虑到调磁环所受到的机械应力问题,研究了采用内桥调磁环结构、外桥调磁环结构以及双桥调磁环结构的同轴磁性齿轮,采用“整体分析方法”与“细节分析方法”分析3种调磁环结构上的机械应力,最后通过有限元分析与样机实验得出结论:在综合考虑同轴磁性齿轮转矩传递能力与装置机械强度的情况下,采用双桥调磁环结构的同轴磁性齿轮是综合性能最好的。
图6 调磁环结构图
使用高性能材料制作同轴磁性齿轮是提高同轴磁性齿轮综合性能的一种关键方式。文献[19]采用高磁导率材料取代传统的铁磁材料来制作调磁环,调磁环的径向厚度大大减小,其拓扑结构如图7所示。采用高磁导率材料制作调磁环切实地降低了调磁环的径向厚度,减小了同轴磁性齿轮的尺寸。通过有限元仿真发现,其可以有效地抑制端部效应,提高永磁体的利用率。该方法可以应用到微小型同轴磁性齿轮的设计与制造中。
图7 调磁环采用高磁导率材料的同轴磁齿轮齿轮
三峡大学的井立兵教授对同轴磁性齿轮进行综合优化设计,内转子采用极弧偏心式永磁体结构,外转子采用Halbach磁极阵列,调磁环采用高磁导率材料[20],其拓扑结构如图8所示。通过有限元仿真得出结论:与传统同轴磁齿轮相比,该拓扑下同轴磁性齿轮的气隙磁密正弦性效果更好,输出转矩明显提升,转矩密度可以达到173 kN·m/m3,转矩波动有效降低,验证了设计的有效性。综合优化设计下的同轴磁性齿轮综合性能有显著的提升,但复杂的设计优化以及生产流程会阻碍其在某些工程领域上的应用。
图8 内转子极弧偏心结构的同轴磁齿轮
浙江大学的沈建新教授将磁极内嵌式转子结构应用到同轴磁性齿轮中[21],即在转子铁心上开槽,然后将永磁体嵌入到槽中,其拓扑结构如图9所示。采用该种拓扑结构,永磁体与被永磁体磁化的铁磁材料可共同提供磁通的路径,在一定程度上减少永磁体的用量。样机实验证明:磁极内嵌式转子结构的同轴磁性齿轮相比于传统的表贴式同轴磁性齿轮,转矩密度提高了约24%。在稀土永磁材料价格逐渐攀升的工程背景下,采用磁极内嵌式转子结构,不仅可以提高装置的可靠性,而且有效地减少了永磁材料的使用,在整体上降低成本,推动磁性传动齿轮在实际应用中获得推广。
图9 磁极内嵌式转子结构同轴磁齿轮
2 磁性行星齿轮
为了探究更多磁性传动的形式,让磁性传动齿轮能够适用于某些高载荷的场景,各国学者们基于机械行星齿轮构思了磁性行星齿轮。目前,世界上对磁性行星齿轮的研究大多集中在新型拓扑结构以及磁性行星齿轮的动力学分析等方面。
2.1 拓扑研究概况
台湾成功大学的学者较早地提出了磁性行星齿轮的拓扑结构,磁性行星齿轮主要由太阳轮、行星轮以及齿圈构成,行星轮通过行星架连接固定,太阳轮的外表面、行星轮的外表面以及齿圈的内表面分别贴有永磁体[22],其拓扑结构如图10所示。经过实验验证:当行星轮的数量为6个时,磁性行星齿轮转矩密度可以达到100 kN·m/m3;当行星轮的数量为3个时,磁性行星齿轮的转矩密度可以达到50 kN·m/m3。这表明将磁性行星齿轮用于齿轮传动领域具有可行性。
图10 磁性行星齿轮结构图
Gouda E在文献[23]中,阐述了磁性行星齿轮的工作原理、各部件间的拓扑约束关系等,将磁性行星齿轮与传统机械齿轮的转矩传输性能进行了对比,揭示了磁性齿轮相较于传统齿轮的优势,表明在某些行业中磁性行星齿轮可以代替机械齿轮,比如在混合动力汽车、飞机制造等领域。
哈尔滨工业大学的樊华以磁性行星齿轮为研究对象,采用有限元法分别研究了齿圈定子采用永磁体励磁、电励磁、混合励磁时对磁性行星齿轮性能的影响,对比分析了3种励磁方式的优点与缺点[24],其结构分别如图11(a)、图 11(b)、图11(c)所示 。
图11 3种励磁方式的磁性行星齿轮
文献[25]提出了一种降低磁性行星齿轮齿槽转矩的方法,即采用全局优化算法与有限元分析相结合,以获得最佳的永磁体极弧组合。
文献[26]研究了行星轮数目不同的两种磁性行星齿轮,即分别有6个行星轮和3个行星轮的磁性行星齿轮,采用有限元方法分析计算了两种拓扑的气隙磁密与输出转矩。计算结果表明,在结构参数相同的情况下,带有6个行星轮的磁性行星齿轮可以提供更好的解耦和更大的输出转矩,并且两者的损耗基本相同。
文献[27]提出一种双馈型风力发电机用风电齿轮箱,将磁性行星齿轮应用于风电齿轮箱的低速级传动,其工作模式:齿圈保持静止,行星架与主轴连接作为输入端,太阳轮作为输出端带动负载。
2.2 动力学研究
燕山大学的朱学军博士对磁性行星齿轮的工作原理、设计原则以及动力学特性做了系统化的研究[28]。首先基于同轴条件、邻接条件、等极距条件、装配条件等确定了磁性行星齿轮各部件尺寸的参数约束关系。而后建立了磁性行星齿轮传动系统的平移-扭转振动的动力学模型,从分析径向力和转矩入手,推导了中心轮与行星轮之间的径向和切向的磁性耦合刚度,并对系统固有频率和振动模态进行了研究,完成了各阶模态对系统设计参数的灵敏度分析和变化规律分析。其次建立了磁性行星齿轮传动系统强迫振动的动力学模型,对系统强迫振动的时域和频域响应进行了求解。最后设计了磁性行星齿轮样机,搭建磁性行星齿轮实验平台,对极限转矩以及传动效率进行了实验,将实验结果与理论分析结果进行对比分析,证明了理论计算的正确性以及样机参数设计的合理性。
斯泰伦博斯大学的王荣杰提出了一种高效的基于能量来计算磁性行星齿轮转矩的方法[29],并设计样机进行了实验验证。实验结果表明:计算结果与实际实验结果相接近,吻合度高,证明了计算方法的有效性。
3 其它磁性传动齿轮
3.1 永磁-磁阻式磁性齿轮
永磁-磁阻式磁性齿轮是由东北大学的满永奎教授基于磁阻电机原理率先提出的[30]。内转子采用成对的永磁体励磁,定子与外转子间的气隙存在磁场,在气隙磁密基波和磁阻最小原理的作用下,外转子上产生转矩。内转子转动一个极距时,外转子转动一个梳齿来确保系统的总磁阻最小,其拓扑结构如图12所示,内转子永磁体极对数为1,外转子永磁体极对数为25,传动比为25∶1。永磁-磁阻式磁性齿轮效率高,传动比大,适用于大速度变比传动系统。
图12 永磁-磁阻式磁性传动齿轮
3.2 摆线式磁性齿轮
2006年,丹麦学者Jorgensen F T提出了一种摆线式磁性齿轮[31],其结构是非同轴内啮合的,内转子磁极对数为21,外转子磁极对数为22,传动轴与内转子连接,离心轴与内转子相连,是一种二自由度的拓扑结构。图13(a)中,当传动轴A静止,离心轴B为输入端,外转子C为输出端时,齿轮的传动比为22∶1;图13(b)中,离心轴B静止,传动轴A为输入端,外转子C为输出端时,齿轮的传动比为22∶21;图13(c)中,当外转子C静止,离心轴B为输入端,传动轴A为输出端时,齿轮的传动比为-21∶1。
图13 摆线式磁性齿轮
浙江工业大学的郝伟娜副教授对摆线式磁性齿轮进行了有限元分析与样机实验[32-34],其样机实物图如图14所示。永磁体采用Halbach充磁方式,其最大转矩密度可以达到283 kN·m/m3。
图14 摆线式磁性齿轮样机
摆线式磁性齿轮存在3种工作模式,具有相对灵活的传动比,转矩密度可以达到较高的水平。然而,由于离心轴是偏心结构的,所以在转动时会受到较大不对称的径向力,影响其使用寿命,在工程实际应用中要考虑这个问题。
3.3 磁性谐波齿轮
磁性谐波齿轮最早由英国谢菲尔德大学的Rens J提出[35],Rens J发现当两个转子间的气隙长度呈现时变的正弦变化时,会产生磁场调制效应,调制后的磁场谐波相互耦合,实现两个转子间转矩的传递,单级谐波齿轮的转矩密度可以达到150 kN·m/m3。在图15(a)中,内转子为圆形时,正弦波周期数Pw=1;在图15(b)中,内转子为椭圆形时,正弦波周期数Pw=2;在图15(c)中,其正弦波周期数Pw=3。
图15 磁性谐波齿轮结构图
Li Kang研究了采用聚磁式转子结构的磁场谐波齿轮[36],传动比为25∶1。经谐波分析与有限元仿真验证,其转矩密度可以达到291 kN·m/m3。
刘蓉晖博士对磁性谐波齿轮进行了理论分析并搭建了两级偏心式磁性谐波齿轮的实验平台[37-39],经实验验证,单级磁性谐波齿轮的转矩密度达到86 kN·m/m3,两级磁性谐波齿轮的转矩密度达到43 kN·m/m3,其实验平台如图16所示。
图16 偏心式磁性谐波齿轮的实验平台
通过合理的设计,磁性谐波齿轮可以达到较高的传动比,20∶1以上,转矩密度可以达到150 kN·m/m3以上,在仿生机器人以及太空装备领域有广阔的应用前景。
4 总结与展望
由于磁性传动齿轮具有优越的理论性能,国内外的学者对磁性传动齿轮进行了深入的研究,其研究内容主要集中在创新拓扑结构,分析结构参数以及优化系统性能等方面。
磁性传动齿轮通过结构的不断改进与革新,在转矩密度方面已经能与机械传动齿轮相媲美,并且在某些方面,磁性传动齿轮保持着自己独特的优点,比如:无接触传动、免维护、噪声小、自动过载保护等。然而磁性传动齿轮在以下方面还存在一些不足之处,还有待深入研究。
1)高转矩密度与低转矩波动的拓扑优化与开发。转矩密度与转矩波动是评价磁性传动齿轮性能的关键指标,提高转矩密度与降低转矩波动一直都是磁性传动齿轮的研究方向与研究目标。目前,相较于机械传动齿轮,磁性传动齿轮的转矩波动仍相对较大,这将阻碍磁性传动齿轮在某些高精密仪器上的应用,比如手表、高精密机器人等领域。
2)更精确数学模型的改进与提出。磁性传动齿轮的设计需要理论的指导,目前在设计磁性传动齿轮时采用的主流方法仍是不断地通过有限元的仿真调试与优化,这种方法虽然比较准确,但是其计算量大、耗费时间长,难以适用于磁性传动齿轮的初步设计。
3)高性能材料的研发与应用。高性能磁性传动齿轮的研发往往离不开高性能材料的应用,纵观磁性传动齿轮的发展史,磁性传动齿轮的发展与高性能铁磁材料的发展是息息相关的。
4)降低拓扑结构的复杂度。拓扑结构的复杂程度关乎磁性传动齿轮的分析、设计与优化,关乎工程实践应用的可能性,过于复杂的拓扑结构会增加生产加工环节的难度甚至难以实现,阻碍磁性传动齿轮的工程应用和普及。
5)磁性传动齿轮的大型化。世界上目前对于磁性传动齿轮的研究还大多停留在小尺寸、小转矩等阶段,要扩大磁性传动齿轮的应用领域,必然要提高输出转矩能力与尺寸。
5 结 语
本文首先对同轴磁性齿轮进行了介绍,阐述了其工作原理,梳理了近几年来国内外学者为提高同轴磁性齿轮的综合性能所做出的成果,并对其可能的应用场景进行了分析。然后对能够承担高载荷的磁性行星齿轮进行了介绍,主要介绍了目前国内外对磁性行星齿轮拓扑结构与动力学分析两方面的研究成果。最后介绍了三种高传动比的磁性传动齿轮,即永磁-磁阻式磁性齿轮、摆线式磁性齿轮以及磁性谐波齿轮。
工程师必备
- 项目客服
- 培训客服
- 平台客服
TOP




















