基于comsol结构有限元总结
2022年4月18日 17:011. 结构有限元基本原理
静力学分析:
应力张量:一个点处在笛卡尔座标上三个微分面上有9个应力张量,可以把这个二阶张量表示为σij,所以也可以用矩阵表示为
在材料力学中,一个三维物体内总会找到一组截面,其面上只有正应力,并没有剪应力,这个应力成为主应力,也是应力张量的不变量,按照数值大小排列为:
应变张量:
与应力一样,需要一个应变张量描述某点的变形,定义应变张量为εij,这个二阶张量可以表示为:
正应变:表示微元的相对伸长和缩短
切应变:表示微元夹角的变化
广义胡克定律:广义胡克定律描述的是应力张量和应变张量之间的关系,从而间接建立受力和变形之间的关系,如下所示:
这里剪切模量G=E/(1+2*ν)
所以写成矩阵形式就是
这里构成了线弹性材料本构方程。
这里还需要考虑受力运动方程和变形协调方程,如下:
受力方程
小变形假设方程
基于以上理论,我们就可以在comsol进行基本的结构力学计算,以上是所有复杂计算的理论基础,例如其他简化结构梁,桁架和壳体都是基于以上理论简化过来的。
下面就用comsol进行最基本的结构力学静力学分析:
如图设置边界条件:
弯头支架左边是直接固定约束,右端直接设置一个斜向力,只考虑小变形,不考虑几何非线性,得到如下应力分布和变形:
2.模态分析:
模态计算的目的:
确定机械部件的振动特性,固有频率和振型,参与系数和有效质量,预防结构共振,确定振动环境的工作可靠,结构动力学修正。
应用方面包含避免或利用共振,模态叠加法计算响应(包含频域相应,瞬态响应,响应谱和随机振动),振动和噪声控制,结构动力学优化目标或者约束条件。
原理:
这个方程描述了一般动力学方程形式,考虑了阻尼,我们先讨论不含有阻尼的形式,如下所示:
这个方程有解析解,假设运动为简谐运动:
可以得到如下方程:
由于结构不考虑不振动情形,所以可以一系列特征值ωi,然后特征频率fi=ωi/2*π,而每个特征频率下的特征值是对结果进行了归一化处理的,变形幅度经过了缩放,得到如下:
所以不同特征值之间的变形幅度不同作比较。
有阻尼模态:
首先,对于具有黏性阻尼且无外部负载的单自由度(DOF)系统,可以用下面的运动方程描述:
除以质量m后,方程的归一化形式通常写为
这里, ζ是无阻尼的固有频率,称为阻尼比。为了使运动为周期性,阻尼比必须限制在以下范围内0<ζ<1:该系统中自由振动的幅度将随以下因子衰减
这里T0就是周期,所以有
利用这种办法可以得到阻尼比
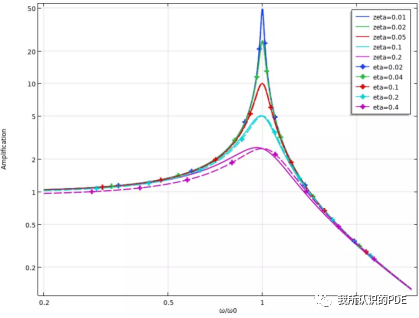
第三种情况,当结构在接近固有频率下受到谐波激励时,阻尼也较大。当恰好发生共振时,振动振幅会趋于无穷大,除非系统中存在一些阻尼。共振时的实际振幅仅由阻尼量决定。
在某些系统中,例如谐振器,其目标是获得尽可能大的振幅。这时需要使用另一种常用的阻尼测量方法:品质因子或Q因子,其定义是共振时的放大倍数。Q 因子与阻尼比有关,可以表示为:
描述阻尼的另一个方法是:假设在施加的力和所产生的位移之间,或在应力和应变之间存在一定的相移。相移仅对稳态谐波振动有意义。如果在一个完整周期内绘制应力与应变的关系图,将得到一个椭圆形的滞回曲线。
这里,将杨氏模量的实部称为存储模量,虚部称为损耗模量。损耗模量通常用损耗因子 η 来描述,因此有
由损耗因子定义的阻尼,可以用损耗角正切等效度量,损耗角正切定义为
由损耗因子定义的阻尼行为与粘性阻尼有所不同。损耗因子阻尼与位移幅值成正比,而黏性阻尼与速度成正比。因此,不能将一个数字直接转换为另一个数字。
下图比较了两种阻尼模型的单自由度系统的响应。可以看出,黏性阻尼在共振处高于损耗因子阻尼,在共振位置以下则低于损耗因子阻尼。
通常,在共振频率下考虑阻尼比和损耗因子阻尼之间的转换,此时,
但是,这仅适用于单个频率。
瑞雷阻尼:
粘滞阻尼:
在黏滞阻尼模型中,固体材料中的应力与应变率成正比。在最一般的情况下,联系应力和应变率的本构张量可以包含 21 个独立的常数。由于阻尼难以测量和量化,几乎无法得知其数值,因此我们更常使用各向同性黏滞阻尼模型。
所以,整体的来说,在comsol设置阻尼参数中一般设置损耗因子,瑞利阻尼和粘滞阻尼。
假设所有地方都使用了相同的损耗因子,阻尼矩阵可以表示为:
运动方程变为
所以在模态条件下计算得到的特征频率也是复数值,表示有损耗。
下面在comsol中进行弯头支架的无阻尼和有阻尼模态分析,首先进行无阻尼模态分析,得到结果如下:
前六阶模态数值
第一阶模态的振形图
有阻尼模态分析:
设置瑞雷阻尼
前六阶模态数值,含有复数,表示损耗
第一阶模态的振形图
工程师必备
- 项目客服
- 培训客服
- 平台客服
TOP




















