塑胶件的结构设计:卡扣篇(下)
2022年5月6日 14:00卡扣设计的原则
卡扣设计的最终目标是要实现两个零件之间的成功连接固定,要达到连接固定的效果,卡扣设计时需要从以下几方面进行考虑:连接可靠性、约束完整性和装配协调性,它们是卡扣连接成功的关键要求,其他要求还应该包括制造工艺的可行性、成本的高低等。
1. 连接可靠性
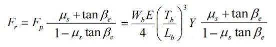
连接可靠性最核心的一点就是卡扣需要保证有足够的保持强度,以下为悬臂梁卡扣保持力的一般公式:
由以上公式可知,保持力Fr 跟Wb、E、Tb、Lb、μs、βe有关;其中
E:卡扣的弹性模量;
Tb:卡扣的厚度;
Lb:卡扣的长度;
Y:卡扣保持面的深度;
μs:卡扣的摩擦系数;
βe:卡扣的保持面角度。
1)增大Wb
卡扣的排布:卡扣应均匀设置在零件的四周,以均匀承受载荷,对于容易变形的地方(如零件的角落),可以考虑尽量让卡扣靠近这些地方。
整圈卡扣一般用在卡合量不大的零件或设计在较软材料上的零件上,常常采用强脱出模,比如常见的一些日化产品的瓶盖。
对于一些宽度较大的卡扣,为了提高母扣的强度,可以在大卡扣中设计两个小卡扣,如下图。
2)增大Tb/Lb的比值
Lb也不宜过小,否则难于装配(虽然保持强度增大了),如果因空间限制,Lb过小的情况下,需适当减小Tb,但为了兼顾卡扣的强度,可以考虑在卡扣根部添加加强筋,如下图。
3)增大Y
Y值越大,卡扣脱开需要的变形就越大,也就是保持强度越大;但是反过来,装配就变得困难,这之间是矛盾的,所以一般Y的取值在0.3-1.2之间,根据具体的应用可在0.3-1.2之间取值。
采用以下这种增强件结构,可以在Y值不变的情况下增强卡扣的保持强度,同时,通过一定的优化设计,可以兼容装配的方便性。
使用这种结构,卡扣装配后头部的保持元件被限位弹片(增强件)抵住,卡扣不易松脱,保持强度很高,稳定性好。
通过以上优化后,使其装配性更好,同时保持强度不会降低很多,缺点是如果卡扣在产品内部,拆卸性差,为了能够实现拆卸,必要的情况下可以在卡扣上方设计拆卸口,如下图,通过工具实现拆卸。
卡扣的卡合量(Y值)在装配后确定一个相对不变的值,但是在使用的过程中,外壳变形导致Y值减小而导致卡扣易松脱,以下这种限位筋(反插骨)对Y值起到一定的保持作用,限位筋离卡扣越近,卡扣的保持强度就越强,同时,限位筋应成对设计,才能有更好的效果。
但是为了兼顾装拆性能,限位筋与卡扣之间一般保持一定的距离。
对于一些特殊结构,也可以通过插入锁销填充卡扣背面的空间,防止卡扣偏斜导致卡合量Y值减小而脱开。
2. 约束完整性
约束的完整性包括定位和锁紧,如果说锁紧是卡扣连接的最终目标,那么约束就是实现最终目标最基本的关键要求。
常见的锁紧件包括钩爪、卡爪、环套、扭杆和止逆等,锁紧件与配合件组合形成锁紧副。
常见的定位件包括:销、锥销、导轨、楔、卡爪、表面、边缘、凸耳、凸台、槽、孔和活铰链等,定位件与配合件组合形成定位副。
锁紧副之前文章已经以悬臂梁卡扣为例进行大篇幅介绍,以下主要针对定位副做进一步介绍。
一个好的连接结构,应该是首先被导向,然后是定位,最后才是连接紧固,对卡扣连接而言,也应如是。
卡扣设计定位结构有以下好处:
l 确定唯一装配位置,防止装配不当损坏卡扣;
l 提高卡扣的配合精度,从而提高卡扣的连接强度;
l 抵抗卡扣某方向上的分离力,从而提高卡扣的连接强度。
定位结构在零件上一般会以两种方式存在:
在约束的设计上,完全约束是理想状态,实际设计中讲究的是适当的约束,尽量减少欠约束与过约束。
3. 装配协调性
装配的协调性考虑的是卡扣基体是基于人为装配还是机器装配,在目前阶段,我们大部分都是基于人为装配进行设计,所以,在设计过程中,除了考虑卡扣基体本身的活动空间外,还必须考虑人为操作空间(人机工程学)。
比如装配过程中,操作者需有一定的视野,如无法避免,需有导向结构。
比如有些需要经常拆卸的卡扣,拆卸位置需要有操作空间(手指空间、工具空间),且操作力应符合人机工程学要求。
4. 制造工艺的可行性、成本高低
1)如无必要,卡扣设计时应考虑避免增加模具的复杂度,把需要侧向抽芯机构的改为不需要要侧向抽芯的结构,降低模具成本。
2)如果卡扣是通过斜顶出模,需检查斜顶推出过程中是否有干涉;斜顶头部不能是斜面(顶面与出模方向的夹角小于90°),否则斜顶无法顺利退出。
3)如果顶面与出模方向的夹角小于90°,可以采取以下三种出模方式,但是模具结构变得复杂,模具成本增加。
b)内滑块结构
c)滑块出斜顶结构
工程师必备
- 项目客服
- 培训客服
- 平台客服
TOP




















