矢量分析和场论 附矢量分析与场论文档下载
标量、矢量和张量
▎标量 Scalar - heat and mass are scalars
只具有数值大小(magnitude),而没有方向(direction)的量,称为“标量”。例如,质量、密度、温度、速率、体积、时间和热量等物理量。无论选取什么坐标系,标量的数值恒保持不变。标量间的运算遵循一般的代数法则。
▎矢量 Vector - Heat and mass fluxes are vectors
又被称为“向量”。有些物理量physical quantities,是由数值大小magnitude和方向direction二者共同确定的,这些物理量被称为“向量”。例如,速度、加速度、位移、力、冲量、动量和磁场强度等都是矢量。向量间的运算并不遵循一般的代数法则,在相加减时它们遵从几何运算法则。
▎张量 Tensor - momentum flux is a tensor
以二阶张量为例,其不仅具有数值大小,而且具有两个方向。流体力学中作用在流体元上的应力场即为二阶张量。零阶张量(r=0)为标量;一阶张量(r=1)为向量;二阶张量(r=2)则成为矩阵。
点积、叉积和混合积
▎点积 Dot Product
点积,又被称为向量的内积或数量积。求得的结果是一个数。向量a·向量b=|a||b|cos<a, b>。在物理学中,已知力与位移求功,实际上就是求向量F与向量s的内积,要用点乘。
点积的几何意义:向量a到向量b的投影。这在论述上有一定的问题,应该说成向量a在单位向量b上的投影。
点积的力学意义:一物体在力F的作用下,沿直线AB移动了S,F与AB的夹角为 α,如下图,则力对物体做的功为
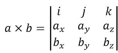
▎叉乘 Cross Product
叉乘,又被称为向量的外积、向量积。求得的结果是一个向量,记这个向量为c。向量c的模可表示为|向量c|=|向量a×向量b|=|a||b|sin<a, b>。向量c的方向与向量a和b所在的平面垂直,且方向要用“右手法则”判断(用右手的四指先表示向量a的方向,然后手指朝着手心的方向摆动到向量b的方向,大拇指所指的方向就是向量c的方向)。
因此,向量的外积不遵守乘法交换率,因为向量a×向量b=-向量b×向量a在物理学中,已知力与力臂求力矩,就是向量的外积,即叉乘。
为了解决已知两有向线段,求已他们为邻边的平行四边形的面积的问题,引入了叉积,(叉乘的意义也正在与此)。
物理意义:力矩,如下图,O为一根杠杆L的支点,有一个力F作用在其上点P处,F与OP的夹角为θ,由力学规定,力F对支点O的力矩是一个向量M,它的模是
叉积模的几何意义:表示以向量a和向量b为邻边的平行四边形的面积。
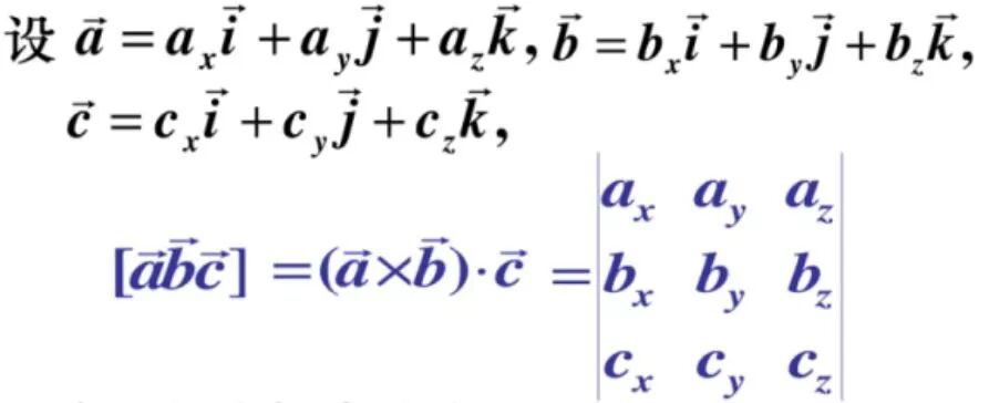
▎混合积 Mixed Product
已知三个向量a,b和c,数量(a×b)·c被称为这三个向量的混合积。
向量混合积的几何意义:它是一个数,它的绝对值表示以向量a,b和c为棱的平行六面体的体积。
方向导数和梯度
▎方向导数 Directional Derivative
方向导数∂u/∂l是指在一点M0处沿方向l,函数u(M)对距离的变化率。
▎梯度 Gradient
梯度问题可以认为是将一维的斜度扩展到了三维的梯度。
在向量微积分中,标量场的梯度是一个向量场。标量场中某一点上的梯度指向标量场增长最快的方向,梯度的长度是这个最大的变化率,即方向导数最大值。
在单变量的实值函数的情况,梯度只是导数,或者,对于一个线性函数,也就是线的斜率。
梯度一词有时用于斜度,也就是一个曲面沿着给定方向的倾斜程度。可以通过取向量梯度和所研究的方向的点积来得到斜度。梯度的数值有时也被成为梯度。
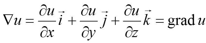
梯度运算的对象是标量,运算出来的结果会是向量。
由梯度给出全微分:
哈密尔顿算子和拉普拉斯算子
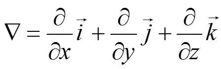
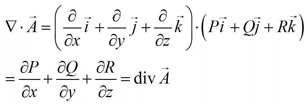
▎哈密尔顿算子▽ Hamiltonian Operator
哈密尔顿算子的定义为:
设u=u(x, y, z),则:
注意:u为标量场。
设:
注意:A为矢量场。则:
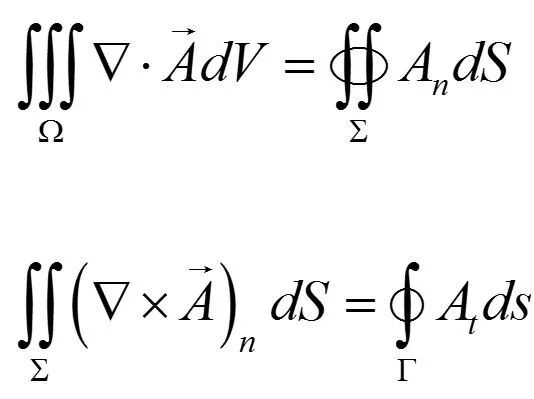
此时,高斯公式和斯托克斯公式可分别写成:
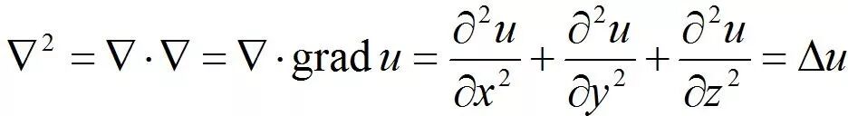
▎拉普拉斯算子 Laplace Operator
其中:
称之为拉普拉斯算子。
散度
▎散度 Divergence
散度的运算对象是向量,运算出来的结果是标量。
散度是标量,物理意义为通量源密度,可以从高斯公式里理解。散度为零,说明是无源场;散度不为零时,则说明是有源场(有正源或负源)。
散度的数学定义:在连续可微的矢量场A中,对于包含某一点(x, y, z)的小体积ΔV,其闭合曲面为S,定义矢量场A通过S的净通量与ΔV之比的极限:
为矢量场A在该点的散度 (divergence of A)。
环量和旋度
▎环量 Circulation
环量的定义:设有矢量场A(M),则沿场中某一封闭的有向曲线l的曲线积分
叫做次矢量按积分所取方向曲线l的环量。
▎旋度 Curl
旋度的运算对象是向量,运算出来的结果是向量。
旋度是矢量;其物理意义为环量密度,可以从斯托克斯公式里理解。旋度为零,说明是无旋场;旋度不为零时,则说明是有旋场。
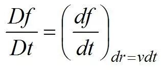
物质导数
▎物质导数 Material Derivative
物质导数的定义:Rate of change within a particular materialpoint (whose spatial coordinates vary with time).
下载地址:矢量分析与场论
工程师必备
- 项目客服
- 培训客服
- 平台客服
TOP




















