振动筛分机械动力学分析 附机械动力学第2版下载
2022年5月7日 16:251前言
振动在多种场合是有害的。比如传动减速机的振动、抽风机的振动、驱动电动机的振动等,这些振动轻者影响设备的使用性能和使用寿命,重者造成重大设备事故。另一方面振动有时又是可以利用的。比如振动给料机、振动筛分设备,两者均是利用振动原理达到某种工艺需求的振动筛分机械。
振动筛分机械是改革开放以来得到迅速发展的一种新型机械,目前已广泛用于采矿、冶金、石油化工、水利电力、建筑、交通运输和铁路等工业部门中,用于完成各种不同的工艺过程。随着筛分机械向大型化、重型化和高振动强度方向发展,设备故障频发,已严重制约着该类设备的制造与生产,于是对于筛分机械的动力学理论分析及其如何指导生产实践的研究日益引起人们的高度重视。
2动力学分析
2.1筛分机械的性能参数
筛分机械的主要性能参数包括:筛面倾角ɑ、抛射角δ、振幅A、振动角β,电动机转速n,角速度ω、激振器偏心质量m0、偏心半径r、减振架的质量M1、筛箱的质量M2等,这些原始设计参数有的是基本参数,有的是过程参数和标称参数,过程参数和标称参数可通过基本参数计算得来,下面以典型的双箱式直线振动筛为例介绍各种性能参数的分析及计算。
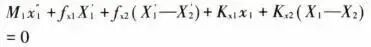
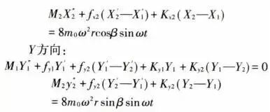
2.2力学模型
由于弹簧横向刚度不等于轴向刚度,引起筛箱以及减振架的振动方向与激振方向不相同,因此,筛机振动系统应按照二质体四自由度力学模型进行计算,这四个自由度分别是:
X方向2个:X1,X2;Y方向2个:Y1,Y2。
这四个自由度力学模型如图1所示,其中:
P0=8m0ω2rsinωt为激振力,则:
Px=P0cosβsinωt=8m0ω2rcosβsinωt为激振力水平分力;
PY=P0sinβsinωt=8m0ω2rsinβsinωt为激振力垂直分力。
2.3数学模型
振动质体1(减振架)和振动质体2(筛箱)沿X方向、Y方向动力学方程如下:X方向:
2.4解析解
经过解析解法,可得有阻尼四自由度振动系统的强迫振动特解如下:
3偏心配重质量优化
上述二质体四自由度数学模型的解析解较为复杂,仅适合理论研究,不适合实际应用。下面给出一个简化约束条件之后的结论,简化条件为:①各部位阻尼为零。②筛箱重心振动近似直线。③减振架振动值近似等于零。④筛体摇摆振动近似等于零。由此得出结论:
式中:M-筛箱整体质量(含参振过筛物料质量);
A-筛箱振幅;
M0-单个偏心块总偏心质量,由于一个筛机共有8个偏心块,故总偏心质量为8m0,r为偏心距。
通过大量的生产实际检验证明,该简化公式与解析解的结论非常接近,也与实测值非常接近实际,其误差不超过5%,故实际中,均采用简化公式进行分析和计算,把筛箱总质量M、偏心块总质量8m0及偏心距r计算出来以后,就可以计算岀筛箱振幅,将计算值和实际值进行比对,可以校核出偏心配重是否需要增减,将偏心配重质量调到最佳重量。
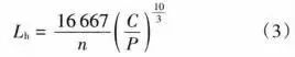
4振动轴承寿命校核
振动轴承是振动承载的关键部位,必须进行寿命校核。振动轴承寿命公式为:
式中:Lh-轴承寿命/h;
n-工作转速/(r/min);
C-轴承工作容量系数;
P-配重产生的径向力矩,P=m0ω02r。
由此公式可以看岀轴承寿命与转速、轴承工作容量、承受载荷有关。一个筛机设计完毕,其工作转速、轴承的工作容量就定型了,唯一可改变的是外部载荷轴承寿命与外部载荷P的10/3次幕成反比。可见适当减轻外部载荷对延长轴承的使用寿命是很有好处的,现在的问题很明确,即在满足生产工艺的基本需求的前提下,尽量减少配重,延长轴承的使用寿命。在实际生产中,可以通过如下步骤进行操作:
(1)首先满足生产工艺要求,筛机铭牌上有一个性能参数振幅4,一般过共振筛双振幅为8-12mm,可取其下限,令24=8mm,求得4=4mm。
(2)代入振幅与配重关系式:A=8m0r/M,或m0=MA/8r,计算出应加配重量。
(3)也可通过逐步加减配重的方法,找到一个最佳配重,以配重为变量,以筛机的筛分效率及不堵料为优化目标,逐步减少配重,直到刚刚满足生产工艺要求为止,此配重就是最佳配重。这种情况下,既能满足生产工艺的需要,又可最大限度地延长轴承使用寿命,通过计算可知,最佳的配重,可使轴承寿命大幅度延长。
(4)选择适当的工作游隙。轴承寿命与工作环境的温度有一定的关系,比如,北方的筛分设备就选择比南方的游隙低,可通过实验法选择适当径向游隙的轴承,其寿命可延长40%。
(5)轴承座的圆柱度与轴承寿命有一定关系。
当轴承座的圆柱度为0.15mm时,轴承寿命缩短15%;当轴承座的圆柱度为0.4mm时,轴承寿命可缩短40%,建议当轴承座圆柱度为0.4mm时,更换整体轴承座。
5振动器与筛箱联接螺栓强度校核
现场中经常会出现振动器经过长期运行后,联接螺栓或松或断,造成振动器整体摔下来的重大设备事故,为此必须对振动器的联接螺栓强度进行校核。
现设联接螺栓"个,材质去,内径丛,其各强度参数为δB,δS,δ-1,[δ],按有初始预紧力计算,单个螺栓承受非对称循环拉压变应力,则:
由上述计算结果可知:Sδ与[S]的关系,一般[S]取1.5-1.8,若Sδ>[S],则说明安全,反之,则说明不安全。应选择直径大的螺栓或增加螺栓个数。
同时,螺栓紧固工序要求用定扭矩扳手把紧,以达到每个螺栓受力均衡的目的,但在实际操作过程中,尤其是在抢修过程中,很难按照上述工序进行,只是简单地先用扳手把紧,再用大锤加力,此工序不能保证各个联接螺栓把紧程度一样,受力也不会均匀,可能造成某个螺栓先松后断,然后形成其它螺栓相继断裂的局面,故应该在联接螺栓紧固后,再加挡铁和卡子进行加固,确保不出现事故。
6振动电动机启动困难核验
有许多情况,比如冬季、停机后一定时间内没有运转、润滑油自动加油过多油脂黏度变大,造成摩擦阻力矩增大,往往使振动电动机不能带动筛机正常启动,故有必要对振动电动机的启动力矩进行核验。筛机振动电动机所需的启动力矩如下:
Mq,为2台电动机的启动力矩,Mr为摩擦阻力矩,一般Mr=(0.3-0.8)x8m0rg,冬季取大值,为了确保正常启动,取Mr=0.8x8m0rg=12.2m0rg。所以:
即:Mq>12.2m0rg为电动机正常启动条件。
驱动电动机启动主力矩计算公式为:
式中:P-电动机的功率;
n-转速。
若Mq>12.2m0rg,则振动电动机可正常启动,反之则不能正常启动,结合实际工作特点,处理电动机不能正常启动的方法如下:
(1)在满足生产工艺的条件下,减少配重。
(2)更换大型号的电动机,增加启动力矩。
(3)用焊烘烤一定时间,提高振动器的温度,释放腔内压力,降低轴承润滑油的粘度。
7结语
(1)通过对偏心配重质量进行了优化,找到了最佳偏心配重,在此偏心配重下,筛机的运行条件最优。
(2)通过对振动轴承寿命进行校核,指出了振动轴承运行寿命与偏心配重成反向关系,并受轴承的工作游隙和轴承座的圆柱度的影响。
(3)通过对激振器螺栓的强度进行校核,说明对于振动设备而言,关键联接部位螺栓的强度校核是必须的。
(4)通过对振动电动机启动条件的核验,指岀依靠润滑脂润滑的振动筛分机械受季节的变化影响是不可忽视的,必须加以重视。
以上工作为解决生产实际问题提供了支持。
下载地址:机械动力学第2版
工程师必备
- 项目客服
- 培训客服
- 平台客服
TOP




















