LIN总线入门.
2022年5月10日 13:31浏览:3203 收藏:1
LIN的特点如下:
LIN网络主从节点的功能
LIN报文的帧结构
同步间隔场
同步场
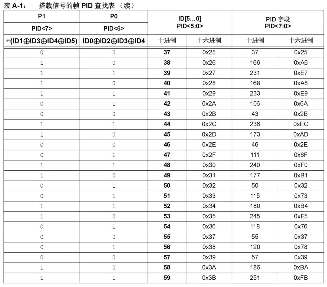
LIN的被保护标识符场(PID场)
#include <stdio.h>
#include <windows.h>
int main()
{
short p0=0,p1=0;
short LIN_ID=0x22,PID=0x00;
p0 = (LIN_ID & 0x01) ^ ((LIN_ID & 0x02) >> 1) ^ ((LIN_ID & 0x04) >> 2) ^ ((LIN_ID & 0x10) >> 4); //按位异或
p0 = p0 & 0x01;
p1 = ~(((LIN_ID & 0x02) >> 1) ^ ((LIN_ID & 0x08) >> 3) ^ ((LIN_ID & 0x10) >> 4) ^ ((LIN_ID & 0x20) >> 5));
p1 = p1 & 0x01;
PID = (p1 << 7) | (p0 << 6) | LIN_ID;
printf("p0=%#x,p1=%#x,PID=%#X\n",p0,p1,PID);
system("pause");
return 0;
}所谓奇偶校验就是在发送的每一个字节后都加上一位,使得每个字节中1的个数为奇数个或偶数个。接收方通过计算数据中1的个数是否满足奇偶性来确定数据是否有错。这个不用背,用的时候可以查表。
数据场
校验和场(checksum)
校验和场的两种类型
LIN总线的应用
LIN帧的分类
技术邻APP
工程师必备
工程师必备
- 项目客服
- 培训客服
- 平台客服
TOP
1




















