干货|运放基本电路超全解析!
2022年5月24日 14:58我们经常看到很多非常经典的运算放大器应用图集,但是这些应用都建立在双电源的基础上,很多时候,电路的设计者必须用单电源供电,但是他们不知道该如何将双电源的电路转换成单电源电路。
在设计单电源电路时需要比双电源电路更加小心,设计者必须要完全理解这篇文章中所述的内容。
所有的运算放大器都有两个电源引脚,一般在资料中,它们的标识是VCC+和VCC-,但是有些时候它们的标识是VCC+和GND。这是因为有些数据手册的作者企图将这种标识的差异作为单电源运放和双电源运放的区别。但是,这并不是说他们就一定要那样使用――他们可能可以工作在其他的电压下。在运放不是按默认电压供电的时候,需要参考运放的数据手册,特别是绝对最大供电电压和电压摆动说明。
绝大多数的模拟电路设计者都知道怎么在双电源电压的条件下使用运算放大器,比如图一左边的那个电路,一个双电源是由一个正电源和一个相等电压的负电源组成。一般是正负15V,正负12V和正负5V也是经常使用的。输入电压和输出电压都是参考地给出的,还包括正负电压的摆动幅度极限Vom以及最大输出摆幅。
单电源供电的电路(图一中右)运放的电源脚连接到正电源和地。正电源引脚接到VCC+,地或者VCC-引脚连接到GND。将正电压分成一半后的电压作为虚地接到运放的输入引脚上,这时运放的输出电压也是该虚地电压,运放的输出电压以虚地为中心,摆幅在Vom 之内。有一些新的运放有两个不同的最高输出电压和最低输出电压。这种运放的数据手册中会特别分别指明Voh 和Vol 。需要特别注意的是有不少的设计者会很随意的用虚地来参考输入电压和输出电压,但在大部分应用中,输入和输出是参考电源地的,所以设计者必须在输入和输出的地方加入隔直电容,用来隔离虚地和地之间的直流电压。(参见1.3节)
通常单电源供电的电压一般是5V,这时运放的输出电压摆幅会更低。另外现在运放的供电电压也可以是3V 也或者会更低。出于这个原因在单电源供电的电路中使用的运放基本上都是Rail-To-Rail 的运放,这样就消除了丢失的动态范围。需要特别指出的是输入和输出不一定都能够承受Rail-To-Rail 的电压。虽然器件被指明是轨至轨(Rail-To-Rail)的,如果运放的输出或者输入不支持轨至轨,接近输入或者接近输出电压极限的电压可能会使运放的功能退化,所以需要仔细的参考数据手册是否输入和输出是否都是轨至轨。这样才能保证系统的功能不会退化,这是设计者的义务。
单电源工作的运放需要外部提供一个虚地,通常情况下,这个电压是VCC/2,图二的电路可以用来产生VCC/2的电压,但是他会降低系统的低频特性。
R1 和R2 是等值的,通过电源允许的消耗和允许的噪声来选择,电容C1 是一个低通滤波器,用来减少从电源上传来的噪声。在有些应用中可以忽略缓冲运放。
在下文中,有一些电路的虚地必须要由两个电阻产生,但是其实这并不是完美的方法。在这些例子中,电阻值都大于100K,当这种情况发生时,电路图中均有注明。
虚地是大于电源地的直流电平,这是一个小的、局部的地电平,这样就产生了一个电势问题:输入和输出电压一般都是参考电源地的,如果直接将信号源的输出接到运放的输入端,这将会产生不可接受的直流偏移。如果发生这样的事情,运放将不能正确的响应输入电压,因为这将使信号超出运放允许的输入或者输出范围。
解决这个问题的方法将信号源和运放之间用交流耦合。使用这种方法,输入和输出器件就都可以参考系统地,并且运放电路可以参考虚地。当不止一个运放被使用时,如果碰到以下条件级间的耦合电容就不是一定要使用:第一级运放的参考地是虚地第二级运放的参考第也是虚地这两级运放的每一级都没有增益。任何直流偏置在任何一级中都将被乘以增益,并且可能使得电路超出它的正常工作电压范围。
如果有任何疑问,装配一台有耦合电容的原型,然后每次取走其中的一个,观察电工作是否正常。除非输入和输出都是参考虚地的,否则这里就必须要有耦合电容来隔离信号源和运放输入以及运放输出和负载。一个好的解决办法是断开输入和输出,然后在所有运放的两个输入脚和运放的输出脚上检查直流电压。所有的电压都必须非常接近虚地的电压,如果不是,前级的输出就就必须要用电容做隔离。(或者电路有问题)
在一些应用中,组合运放可以用来节省成本和板上的空间,但是不可避免的引起相互之间的耦合,可以影响到滤波、直流偏置、噪声和其他电路特性。设计者通常从独立的功能原型开始设计,比如放大、直流偏置、滤波等等。在对每个单元模块进行校验后将他们联合起来。除非特别说明,否则本文中的所有滤波器单元的增益都是 1。
每一个刚开始做模拟设计的人都想知道如何选择元件的参数。电阻是应该用1 欧的还是应该用1 兆欧的?一般的来说普通的应用中阻值在K 欧级到100K 欧级是比较合适的。高速的应用中阻值在100 欧级到1K 欧级,但他们会增大电源的消耗。便携设计中阻值在1 兆级到10 兆欧级,但是他们将增大系统的噪声。用来选择调整电路参数的电阻电容值的基本方程在每张图中都已经给出。如果做滤波器,电阻的精度要选择1% E -96系列(参看附录A)。一但电阻值的数量级确定了,选择标准的E-12系列电容。
用E-24系列电容用来做参数的调整,但是应该尽量不用。用来做电路参数调整的电容不应该用5%的,应该用1%。
放大电路有两个基本类型:同相放大器和反相放大器。他们的交流耦合版本如图三所示。对于交流电路,反向的意思是相角被移动180度。这种电路采用了耦合电容 ――Cin 。Cin被用来阻止电路产生直流放大,这样电路就只会对交流产生放大作用。如果在直流电路中,Cin被省略,那么就必须对直流放大进行计算。
在高频电路中,不要违反运放的带宽限制,这是非常重要的。实际应用中,一级放大电路的增益通常是100倍(40dB),再高的放大倍数将引起电路的振荡,除非在布板的时候就非常注意。如果要得到一个放大倍数比较的大放大器,用两个等增益的运放或者多个等增益运放比用一个运放的效果要好的多。
传统的用运算放大器组成的反相衰减器如图四所示。
在电路中R2要小于R1。这种方法是不被推荐的,因为很多运放是不适宜工作在放大倍数小于1倍的情况下。正确的方法是用图五的电路。
在表一中的一套规格化的R3 的阻值可以用作产生不同等级的衰减。对于表中没有的阻值,可以用以下的公式计算
R3=(Vo/Vin)/(2-2(Vo/Vin))
如果表中有值,按以下方法处理:
为Rf和Rin在1K到100K之间选择一个值,该值作为基础值。 将Rin 除以二得到RinA 和RinB。
将基础值分别乘以1 或者2 就得到了Rf、Rin1 和Rin2,如图五中所示。
在表中给R3 选择一个合适的比例因子,然后将他乘以基础值。
比如,如果Rf是20K,RinA和RinB都是10K,那么用12.1K的电阻就可以得到-3dB的衰减。
图六中同相的衰减器可以用作电压衰减和同相缓冲器使用。
图七是一个反相加法器,他是一个基本的音频混合器。但是该电路的很少用于真正的音频混合器。因为这会逼近运放的工作极限,实际上我们推荐用提高电源电压的办法来提高动态范围。
同相加法器是可以实现的,但是是不被推荐的。因为信号源的阻抗将会影响电路的增益。
就像加法器一样,图八是一个减法器。一个通常的应用就是用于去除立体声磁带中的原唱而留下伴音(在录制时两通道中的原唱电平是一样的,但是伴音是略有不同的)。
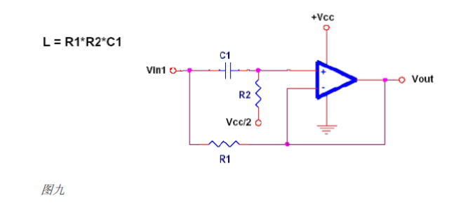
图九的电路是一个对电容进行反向操作的电路,它用来模拟电感。电感会抵制电流的变化,所以当一个直流电平加到电感上时电流的上升是一个缓慢的过程,并且电感中电阻上的压降就显得尤为重要。
电感会更加容易的让低频通过它,它的特性正好和电容相反,一个理想的电感是没有电阻的,它可以让直流电没有任何限制的通过,对频率是无穷大的信号有无穷大的阻抗。
如果直流电压突然通过电阻R1 加到运放的反相输入端上的时候,运放的输出将不会有任何的变化,因为这个电压同过电容C1 也同样加到了正相输出端上,运放的输出端表现出了很高的阻抗,就像一个真正的电感一样。
随着电容C1 不断的通过电阻R2 进行充电,R2上电压不断下降,运放通过电阻R1汲取电流。随着电容不断的充电,最后运放的两个输入脚和输出脚上的电压最终趋向于虚地(Vcc/2)。
当电容C1 完全被充满时,电阻R1 限制了流过的电流,这就表现出一个串连在电感中电阻。这个串连的电阻就限制了电感的Q 值。真正电感的直流电阻一般会比模拟的电感小的多。这有一些模拟电感的限制:电感的一段连接在虚地上;模拟电感的Q值无法做的很高,取决于串连的电阻R1;模拟电感并不像真正的电感一样可以储存能量,真正的电感由于磁场的作用可以引起很高的反相尖峰电压,但是模拟电感的电压受限于运放输出电压的摆幅,所以响应的脉冲受限于电压的摆幅。
仪用放大器用于需要对小电平信号直流信号进行放大的场合,他是由减法器拓扑而来的。仪用放大器利用了同相输入端高阻抗的优势。基本的仪用放大器如图十所示。
这个电路是基本的仪用放大电路,其他的仪用放大器也如图中所示,这里的输入端也使用了单电源供电。这个电路实际上是一个单电源的应变仪。这个电路的缺点是需要完全相等的电阻,否则这个电路的共模抑制比将会很低。
图十中的电路可以简单的去掉三个电阻,就像图十一中的电路。
这个电路的增益非常好计算。但是这个电路也有一个缺点:那就是电路中的两个电阻必须一起更换,而且他们必须是等值的。另外还有一个缺点,第一级的运放没有产生任何有用的增益。
另外用两个运放也可以组成仪用放大器,就像图十二所示。
但是这个仪用放大器是不被推荐的,因为第一个运放的放大倍数小于一,所以他可能是不稳定的,而且Vin -上的信号要花费比Vin +上的信号更多的时间才能到达输出端。
这节非常深入地介绍了用运放组成的有源滤波器。在很多情况中,为了阻挡由于虚地引起的直流电平,在运放的输入端串入了电容。这个电容实际上是一个高通滤波器,在某种意义上说,像这样的单电源运放电路都有这样的电容。设计者必须确定这个电容的容量必须要比电路中的其他电容器的容量大100 倍以上。这样才可以保证电路的幅频特性不会受到这个输入电容的影响。
如果这个滤波器同时还有放大作用,这个电容的容量最好是电路中其他电容容量的1000 倍以上。如果输入的信号早就包含了VCC/2 的直流偏置,这个电容就可以省略。
这些电路的输出都包含了VCC/2 的直流偏置,如果电路是最后一级,那么就必须串入输出电容。
这里有一个有关滤波器设计的协定,这里的滤波器均采用单电源供电的运放组成。滤波器的实现很简单,但是以下几点设计者必须注意:
1. 滤波器的拐点(中心)频率
2. 滤波器电路的增益
3. 带通滤波器和带阻滤波器的的Q值
4. 低通和高通滤波器的类型(Butterworth 、Chebyshev、Bessell)
不幸的是要得到一个完全理想的滤波器是无法用一个运放组成的。即使可能,由于各个元件之间的负杂互感而导致设计者要用非常复杂的计算才能完成滤波器的设计。通常对波形的控制要求越复杂就意味者需要更多的运放,这将根据设计者可以接受的最大畸变来决定。或者可以通过几次实验而最终确定下来。如果设计者希望用最少的元件来实现滤波器,那么就别无选择,只能使用传统的滤波器,通过计算就可以得到了。
一阶滤波器是最简单的电路,他们有20dB 每倍频的幅频特性
典型的低通滤波器如图十三所示。
典型的高通滤波器如图十四所示。
文氏滤波器对所有的频率都有相同的增益,但是它可以改变信号的相角,同时也用来做相角修正电路。图十五中的电路对频率是F 的信号有90 度的相移,对直流的相移是0度,对高频的相移是180度。
二阶滤波电路一般用他们的发明者命名。他们中的少数几个至今还在使用。有一些二阶滤波器的拓扑结构可以组成低通、高通、带通、带阻滤波器,有些则不行。这里没有列出所有的滤波器拓扑结构,只是将那些容易实现和便于调整的列了出来。
二阶滤波器有40dB 每倍频的幅频特性。通常的同一个拓扑结构组成的带通和带阻滤波器使用相同的元件来调整他们的Q 值,而且他们使滤波器在Butterworth 和Chebyshev 滤波器之间变化。必须要知道只有Butterworth 滤波器可以准确的计算出拐点频率,Chebyshev 和Bessell滤波器只能在Butterworth 滤波器的基础上做一些微调。
我们通常用的带通和带阻滤波器有非常高的Q 值。如果需要实现一个很宽的带通或者带阻滤波器就需要用高通滤波器和低通滤波器串连起来。对于带通滤波器的通过特性将是这两个滤波器的交叠部分,对于带阻滤波器的通过特性将是这两个滤波器的不重叠部分。这里没有介绍反相 Chebyshev 和 Elliptic 滤波器,因为他们已经不属于电路集需要介绍的范围了。
不是所有的滤波器都可以产生我们所设想的结果――比如说滤波器在阻带的最后衰减幅度在多反馈滤波器中的会比在Sallen-Key 滤波器中的大。由于这些特性超出了电路图集的介绍范围,请大家到教科书上去寻找每种电路各自的优缺点。不过这里介绍的电路在不是很特殊的情况下使用,其结果都是可以接受的。
Sallen-Key 滤波器是一种流行的、广泛应用的二阶滤波器。他的成本很低,仅需要一个运放和四个无源器件组成。但是换成Butterworth 或Chebyshev 滤波器就不可能这么容易的调整了。这个电路是一个单位增益的电路,改变Sallen-Key 滤波器的增益同时就改变了滤波器的幅频特性和类型。实际上Sallen-Key 滤波器就是增益为1的Butterworth 滤波器。
多反馈滤波器是一种通用,低成本以及容易实现的滤波器。不幸的是,设计时的计算有些复杂,在这里不作深入的介绍。请参看参考条目【1】中的对多反馈滤波器的细节介绍。如果需要的是一个单位增益的Butterworth 滤波器,那么这里的电路就可以给出一个近似的结果。
双T 滤波器既可以用一个运放也可仪用两个运放实现。他是建立在三个电阻和三个电容组成的无源网络上的。这六个元件的匹配是临界的,但幸运的是这仍是一个常容易的过程,这个网络可以用同一值的电阻和同一值的电容组成。用图中的公式就可以同时的将R3 和C3 计算出来。应该尽量选用同一批的元件,他们有非常相近的特性。
如果用参数非常接近的元件组成带通滤波器,就很容易发生振荡。接到虚地的电阻最好在E-96 1%系列中选择,这样就可以破坏振荡条件。
典型的双运放如图20到图22所示。
运算放大器(Operational Amplifier,简称OP、OPA、OPAMP)是一种直流耦合﹐差模(差动模式)输入、通常为单端输出(Differential-in, single-ended output)的高增益(gain)电压放大器,因为刚开始主要用于加法,乘法等运算电路中,因而得名。一个理想的运算放大器必须具备下列特性:无限大的输入阻抗、等于零的输出阻抗、无限大的开回路增益、无限大的共模排斥比的部分、无限大的频宽。最基本的运算放大器如图1-1。一个运算放大器模组一般包括一个正输入端(OP_P)、一个负输入端(OP_N)和一个输出端(OP_O)。
通常使用运算放大器时,会将其输出端与其反相输入端(inverting input node)连接,形成一负反馈(negative feedback)组态。原因是运算放大器的电压增益非常大,范围从数百至数万倍不等,使用负反馈方可保证电路的稳定运作。但是这并不代表运算放大器不能连接成正回馈(positive feedback),相反地,在很多需要产生震荡讯号的系统中,正回馈组态的运算放大器是很常见的组成元件。
开环回路
开环回路运算放大器如图1-2。当一个理想运算放大器采用开回路的方式工作时,其输出与输入电压的关系式如下:
Vout = ( V+ -V-) * Aog
其中Aog代表运算放大器的开环回路差动增益(open-loop differential gai由于运算放大器的开环回路增益非常高,因此就算输入端的差动讯号很小,仍然会让输出讯号「饱和」(saturation),导致非线性的失真出现。
闭环负反馈
将运算放大器的反向输入端与输出端连接起来,放大器电路就处在负反馈组态的状况,此时通常可以将电路简单地称为闭环放大器。闭环放大器依据输入讯号进入放大器的端点,又可分为反相(inverting)放大器与非反相(non-inverting)放大器两种。
反相闭环放大器如图1-3。假设这个闭环放大器使用理想的运算放大器,则因为其开环增益为无限大,所以运算放大器的两输入端为虚接地(virtual ground),其输出与输入电压的关系式如下:
Vout = -(Rf / Rin) * Vin
非反相闭环放大器如图1-4。假设这个闭环放大器使用理想的运算放大器,则因为其开环增益为无限大,所以运算放大器的两输入端电压差几乎为零,其输出与输入电压的关系式如下:Vout = ((R2 / R1) + 1) * Vin
闭环正回馈
将运算放大器的正向输入端与输出端连接起来,放大器电路就处在正回馈的状况,由于正回馈组态工作于一极不稳定的状态,多应用于需要产生震荡讯号的应用中。
理想运放和理想运放条件
在分析和综合运放应用电路时,大多数情况下,可以将集成运放看成一个理想运算放大器。理想运放顾名思义是将集成运放的各项技术指标理想化。由于实际运放的技术指标比较接近理想运放,因此由理想化带来的误差非常小,在一般的工程计算中可以忽略。
理想运放各项技术指标具体如下:
1.开环差模电压放大倍数Aod = ∞;
2.输入电阻Rid = ∞;输出电阻Rod =0
3.输入偏置电流IB1=IB2=0 ;
4.失调电压UIO、失调电流IIO 、失调电压温漂、失调电流温漂均为零;
5.共模抑制比CMRR = ∞;;
6.-3dB带宽fH = ∞ ;
7.无内部干扰和噪声。
实际运放的参数达到如下水平即可以按理想运放对待:电压放大倍数达到104~105倍;输入电阻达到105Ω;输出电阻小于几百欧姆;外电路中的电流远大于偏置电流;失调电压、失调电流及其温漂很小,造电路的漂移在允许范围之内,电路的稳定性符合要求即可;输入最小信号时,有一定信噪比,共模抑制比大于等于60dB;带宽符合电路带宽要求即可。
运算放大器中的虚短和虚断含意
理想运放工作在线性区时可以得出二条重要的结论:
虚短
因为理想运放的电压放大倍数很大,而运放工作在线性区,是一个线性放大电路,输出电压不超出线性范围(即有限值),所以,运算放大器同相输入端与反相输入端的电位十分接近相等。在运放供电电压为±15V时,输出的最大值一般在10~13V。所以运放两输入端的电压差,在1mV以下,近似两输入端短路。这一特性称为虚短,显然这不是真正的短路,只是分析电路时在允许误差范围之内的合理近似。
虚断
由于运放的输入电阻一般都在几百千欧以上,流入运放同相输入端和反相输入端中的电流十分微小,比外电路中的电流小几个数量级,流入运放的电流往往可以忽略,这相当运放的输入端开路,这一特性称为虚断。显然,运放的输入端不能真正开路。
运用“虚短”、“虚断”这两个概念,在分析运放线性应用电路时,可以简化应用电路的分析过程。运算放大器构成的运算电路均要求输入与输出之间满足一定的函数关系,因此均可应用这两条结论。如果运放不在线性区工作,也就没有“虚短”、“虚断”的特性。如果测量运放两输入端的电位,达到几毫伏以上,往往该运放不在线性区工作,或者已经损坏。
输入失调电压UIO
一个理想的集成运放,当输入电压为零时,输出电压也应为零(不加调零装置)。但实际上集成运放的差分输入级很难做到完全对称,通常在输入电压为零时,存在一定的输出电压。输入失调电压是指为了使输出电压为零而在输入端加的补偿电压。实际上是指输入电压为零时,将输出电压除以电压放大倍数,折算到输入端的数值称为输入失调电压,即UIO的大小反应了运放的对称程度和电位配合情况。UIO越小越好,其量级在2mV~20mV之间,超低失调和低漂移运放的UIO一般在1μV~20μV之间 输入失调电流IIO,当输出电压为零时,差分输入级的差分对管基极的静态电流之差称为输入失调电流IIO,即
由于信号源内阻的存在,IIO的变化会引起输入电压的变化,使运放输出电压不为零。IIO愈小,输入级差分对管的对称程度越好,一般约为1nA~0.1μA。输入偏置电流IIB集成运放输出电压为零时,运放两个输入端静态偏置电流的平均值定义为输入偏置电流,即
从使用角度来看,偏置电流小好,由于信号源内阻变化引起的输出电压变化也愈小,故输入偏置电流是重要的技术指标。一般IIB约为1nA~0.1μA。
输入失调电压温漂△UIO/△T
输入失调电压温漂是指在规定工作温度范围内,输入失调电压随温度的变化量与温度变化量的比值。它是衡量电路温漂的重要指标,不能用外接调零装置的办法来补偿。输入失调电压温漂越小越好。一般的运放的输入失调电压温漂在±1mV/℃~±20mV/℃之间。
输入失调电流温漂 △IIO/△T
在规定工作温度范围内,输入失调电流随温度的变化量与温度变化量之比值称为输入失调电流温漂。输入失调电流温漂是放大电路电流漂移的量度,不能用外接调零装置来补偿。高质量的运放每度几个pA。
最大差模输入电压Uidmax
最大差模输入电压Uidmax是指运放两输入端能承受的最大差模输入电压。超过此电压,运放输入级对管将进入非线性区,而使运放的性能显著恶化,甚至造成损坏。根据工艺不同,Uidmax约为±5V~±30V。
最大共模输入电压Uicmax
最大共模输入电压Uicmax是指在保证运放正常工作条件下,运放所能承受的最大共模输入电压。共模电压超过此值时,输入差分对管的工作点进入非线性区,放大器失去共模抑制能力,共模抑制比显著下降。
最大共模输入电压Uicmax定义为,标称电源电压下将运放接成电压跟随器时,使输出电压产生1%跟随误差的共模输入电压值;或定义为 下降6dB时所加的共模输入电压值。
开环差模电压放大倍数Aud是指集成运放工作在线性区、接入规定的负载,输出电压的变化量与运放输入端口处的输入电压的变化量之比。运放的Aud在60~120dB之间。不同功能的运放,Aud相差悬殊。
差模输入电阻Rid是指输入差模信号时运放的输入电阻。Rid越大,对信号源的影响越小,运放的输入电阻Rid一般都在几百千欧以上。
运放共模抑制比KCMR的定义与差分放大电路中的定义相同,是差模电压放大倍数与共模电压放大倍数之比,常用分贝数来表示。不同功能的运放,KCMR也不相同,有的在60~70dB之间,有的高达180dB。KCMR越大,对共模干扰抑制能力越强。
开环带宽BW
开环带宽又称-3dB带宽,是指运算放大器的差模电压放大倍数Aud在高频段下降3dB所对应的频率fH。
单位增益带宽BWG是指信号频率增加,使Aud下降到1时所对应的频率fT,即Aud为0dB时的信号频率fT。它是集成运放的重要参数。741型运放的 fT=7Hz,是比较低的。
转换速率SR
是指放大电路在电压放大倍数等于1的条件下,输入大信号(例如阶跃信号)时,放大电路输出电压对时间的最大变化速率,见图7-1-1。它反映了运放对于快速变化的输入信号的响应能力。转换速率SR的表达式为
转换速率SR是在大信号和高频信号工作时的一项重要指标,目前一般通用型运放压摆率在1~10V/μs左右。
单位增益带宽BWG (fT)
共模抑制比KCMR
差模输入电阻
开环差模电压放大倍数Aud
开环带宽:
开环带宽定义为,将一个恒幅正弦小信号输入到运放的输入端,从运放的输出端测得开环电压增益从运放的直流增益下降3db(或是相当于运放的直流增益的0.707)所对应的信号频率。这用于很小信号处理。
单位增益带宽GB:
单位增益带宽定义为,运放的闭环增益为1倍条件下,将一个恒幅正弦小信号输入到运放的输入端,从运放的输出端测得闭环电 压增益下降3db(或是相当于运放输入信号的0.707)所对应的信号频率。单位增益带宽是一个很重要的指标,对于正弦小信号放大时,单位增益带宽等于输 入信号频率与该频率下的最大增益的乘积,换句话说,就是当知道要处理的信号频率和信号需要的增以后,可以计算出单位增益带宽,用以选择合适的运放。这用于 小信号处理中运放选型。
转换速率(也称为压摆率)SR:
运放转换速率定义为,运放接成闭环条件下,将一个大信号(含阶跃信号)输入到运放的输入端,从运放的输出 端测得运放的输出上升速率。由于在转换期间,运放的输入级处于开关状态,所以运放的反馈回路不起作用,也就是转换速率与闭环增益无关。转换速率对于大信号 处理是一个很重要的指标,对于一般运放转换速率SR<=10V/μs,高速运放的转换速率SR>10V/μs。目前的高速运放最高转换速率 SR达到6000V/μs。这用于大信号处理中运放选型。
全功率带宽BW:
全功率带宽定义为,在额定的负载时,运放的闭环增益为1倍条件下,将一个恒幅正弦大信号输入到运放的输入端,使运放输出 幅度达到最大(允许一定失真)的信号频率。这个频率受到运放转换速率的限制。近似地,全功率带宽=转换速率/2πVop(Vop是运放的峰值输出幅度)。全功率带宽是一个很重要的指标,用于大信号处理中运放选型。
建立时间:
建立时间定义为,在额定的负载时,运放的闭环增益为1倍条件下,将一个阶跃大信号输入到运放的输入端,使运放输出由0增加到某 一给定值的所需要的时间。由于是阶跃大信号输入,输出信号达到给定值后会出现一定抖动,这个抖动时间称为稳定时间。稳定时间+上升时间=建立时间。对于不 同的输出精度,稳定时间有较大差别,精度越高,稳定时间越长。建立时间是一个很重要的指标,用于大信号处理中运放选型。
等效输入噪声电压:
等效输入噪声电压定义为,屏蔽良好、无信号输入的的运放,在其输出端产生的任何交流无规则的干扰电压。这个噪声电压折算到运放输入端时,就称为运放输入噪声电压(有时也用噪声电流表示)。对于宽带噪声,普通运放的输入噪声电压有效值约10~20μV。
差模输入阻抗(也称为输入阻抗):
差模输入阻抗定义为,运放工作在线性区时,两输入端的电压变化量与对应的输入端电流变化量的比值。差模输 入阻抗包括输入电阻和输入电容,在低频时仅指输入电阻。一般产品也仅仅给出输入电阻。采用双极型晶体管做输入级的运放的输入电阻不大于10兆欧;场效应管 做输入级的运放的输入电阻一般大于109欧。
共模输入阻抗:
共模输入阻抗定义为,运放工作在输入信号时(即运放两输入端输入同一个信号),共模输入电压的变化量与对应的输入电流变化量之比。在低频情况下,它表现为共模电阻。通常,运放的共模输入阻抗比差模输入阻抗高很多,典型值在108欧以上。
输出阻抗:
输出阻抗定义为,运放工作在线性区时,在运放的输出端加信号电压,这个电压变化量与对应的电流变化量的比值。在低频时仅指运放的输出电阻。这个参数在开环测试。
工程师必备
- 项目客服
- 培训客服
- 平台客服
TOP




















