在 COMSOL 中对瞬态声学进行仿真
2022年11月7日 11:29定义声压级
对于稳态谐波噪声,声压级()定义为:
式中, 是均方根(RMS)声压,
是参考声压(例如,空气的参考压力为 20
,也是 RMS 值)。对于一个复振幅为
的谐波激励:
式中, 表示复共轭。因此,
可以很好的定义稳态噪声,这里的表达式
可用于 COMSOL Multiphysics ® 软件中使用压力声学,频域 接口计算
。接口中内置了几个变量,便于进行结果分析。
对于瞬态噪声,整个时间段() 内的 RMS 声压可以计算为:
由于此表达式在整个区间内取平均值,因此对于比较区间内随时间变化的水平没有用处。为此,我们可以分析其他指标。在这篇文章中,我们将重点关注:
使用频域到时域 FFT 研究中的使用窗函数 功能计算瞬态信号的频率权重 声压
使用时域的卷积计算时间计权声压级
使用参数扫描计算用户定义时间段内的时均声压级
频率权重
人耳不能平等地感知所有频率的声级。例如,耳朵对 1000 音调的感知比 100
音调的更敏感。为了在分析声音测量时从数学上考虑这种敏感性,引入了A 权重作为 IEC 61672-1:2013 标准的一部分。这一功能可以调整正在分析的噪声,用于补偿频率。
其他权重函数包括:
C 权重:这是为了捕捉耳朵的非线性响应,例如高声压级的与频率相关的变化。
Z 权重:这是一个平坦的响应,用于表示零权重。
正常频率范围内的这三个函数(A 权重、C 权重和 Z 权重)如下图所示:
A-权重、C-权重和 Z-权重频率加权函数图。
权重函数的选择很大程度上取决于应用。例如,在美国,职业健康与安全管理局(OSHA)、环境保护署和国家职业安全与健康研究所 (NIOSH) 都使用 A 权重指标来衡量职业和环境噪声限值。
A 权重增益函数为:
式中, 是频率,常数
,
,
和
。该函数被定义为在 1000
具有 0
增益。稍后,我们将使用参数和解析函数来实现这个函数。
请注意,不同类型的权重内置在倍频带图中。该图可用于后处理所有频域数据。
时间计权声压级
考虑一个瞬态 A 权重声压 。可以通过以下方式定义瞬时声压级:
但是,这其中存在一些问题。首先,当 = 0 时,结果运算涉及取 0 的对数,所以
未定义。第二个更实际的问题可以追溯到第一次使用声级计的时候。如下面的 3 个并排图像所示,针形指示器会上下移动以显示变化的信号。但是,如果我们根据瞬时声压级的定义来看待这一点,就会出现一个问题:指针来回移动的太快,以至于操作员很难在任何给定时刻看到读数。(参考文献 1)
为了克服这个问题,我们引入了时间计权声压级 的概念。其定义为:
在这个表达式中, 是时间常数,
是用于积分的中间变量。参数
的定义是,慢速时间计权为 1s,快速时间计权为 0.125 s。按照这些规格制造的声级计有可供用户使用的慢速和快速时间权重选项。
时间计权声压为:
让我们来分解这个表达式。该函数是声压函数的平方和指数衰减函数的卷积。卷积将是两个函数相乘和积分的数学运算。在这个过程中,其中一个函数被翻转并沿中间轴移动,在这个例子中是 。假设使用
进行快速时间计权,用
作为声压,当
的瞬间,
。 将
通过在轴绘制这两个函数,以周期
归一化后进行可视化。
当将两个函数相乘时,剩下用于积分是第三个函数,这个函数只有在由指数函数的当前时间戳计权的时间间隔上为非零。很明显,随着时间的增加,更多的指数函数与压力信号重叠,因此对于这种纯正弦曲线的情况,期望积分会增加到一个点。
回到实际示例中,时间常数有效地减慢了指针移动的速度,因此操作员可以在指针变化时实际读取它。尽管在数字技术之前它的用途是用于声级计,但时间计权声压级今天仍在用于现行标准和声级计。
等效连续噪声级
IEC 61672-1 中还定义了时间平均声压级,也称为等效连续噪声级。它的定义是:
平均周期 必须参考测量来指定,但可以代表任何时间。该标准建议声级计采用以下积分时间:T = 10 s、1 min、10 min、30 min、1 h、8 h 或 24 h。在这种情况下没有卷积。这只是一个定义的时间段内的 RMS。
时间平均压力为:
使用短平均周期(以秒或更短周期)被称为 短等效连续噪声级 或短 Leq。这对于减少数据存储和传输很有用,同时对于长时间记录的声音,仍然保持相当高的数据保真度。
示例 1:正弦压力信号
频率权重
A 权重函数的设置窗口。
频率权重参数的设置窗口。
频域到时域 FFT 研究步骤的设置窗口。
对正弦波形使用频率加重后的结果图。
时间权重
插值函数的设置窗口。
用于计算时间计权声压的设置窗口。
时间计权声压
声压级的结果图。
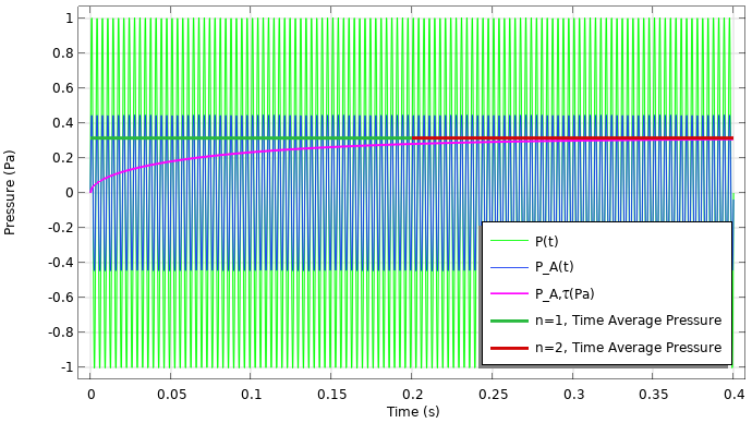
时间平均
用于时间平均计算的参数。
研究设置窗口。
用于绘制时间平均声压的线段设置窗口。
正弦波的声压与时间。
声压级与时间的结果。
示例 2:变速箱中的噪声
-
x = 0.75 -
y = 0 -
z = 0
动态变速箱周围的声压场。时间 = 0.0020735 s。
变速箱噪声的声压与时间。
这篇文章我们介绍了如何计算各种瞬态声学指标,包括频率权重、时间权重和时间平均。这里概述的定义和主要后处理步骤可用于任何瞬态声学仿真。
工程师必备
- 项目客服
- 培训客服
- 平台客服
TOP




















