【JY】橡胶系支座/摩擦系支座全面解析
2022年11月17日 11:09有你关注 所以精彩
First Frost
☞
【写在文前】
通常我们所提及到的隔震支座类型有:
●橡胶系支座
天然橡胶支座(LNR)、
铅芯橡胶支座(LRB)、
高阻尼橡胶支座(HDR)
● 摩擦系支座
弹性滑板支座(ESB)、
摩擦摆隔震支座(FPS)
●其他
板式支座、盆式支座和弹簧隔震支座(SI)以及其他新型支座(如气压及液压隔震支座)。
☞
【探讨主角】
☞
【组成与属性对比】
1
橡胶支座
橡胶支座
2
摩擦摆支座
摩擦摆支座
1——上下锚固装置、
2——上座板、
3——上滑动摩擦面、
4——球冠体、
5——下滑动摩擦面、
6——下座板
☞
【竖向压应力对比】
橡胶支座受压界限受力状态
☞
【抗拉抗倾覆能力对比】
首先明确一点,通常的隔震建筑高宽比小于4,隔震支座在地震下很难很难受拉。抗拉装置几乎无用武之地,如果项目出现数值计算受拉超问题,需谨慎复核。毕竟受理论水平高低影响,工程师的数值分析不一定能正确的反演真实情况。
300%剪应变的极限拉剪状态
极限纯拉裂破坏
☞
【水平位移对比】
橡胶支座硬化变形全过程
橡胶支座极罕遇地震下变形全过程
定压力下未超过限位的摩擦摆支座变形
位移谱分析
☞
【高速加载】
☞
【抗火耐高温能力】
综上,橡胶支座和摩擦摆支座都不具有很好的抗火耐高温性能!切记都需要防火处理!
☞
【支座计算稳定性】
两类支座,实际工作下橡胶隔震支座更容易进行动力描述,而且与实际情况更容易吻合。如下分析,铅芯橡胶支座(蓝色)和摩擦摆支座(红色)进行0.6g输入,考虑竖向耦合时,铅芯橡胶支座更为稳定。
仅考虑水平输入
考虑1:0.65水平和竖向耦合输入
☞
【老化性】
☞
【 自复位能力】
铅芯橡胶支座,最终产生的残余变形为铅芯塑性变形的屈服力和支座橡胶弹性恢复力平衡的残余变形。
因此,决定支座的极限最大残余位移的是 屈服力/摩阻力,以及 屈服后刚度(橡胶层、摩擦摆曲面),因此同参数下,理论残余变形一致。
建议通过隔震层 屈服力/摩阻力 和 屈服后刚度 进行计算极限最大残余位移,来限制隔震结构的残余位移!而不是通过1.2倍罕遇地震下最大位移对应恢复力来确定。毕竟我们并不知下一次地震来的是多大的地震。
而实际上,在震害中很难达到极限最大残余位移,由于地震幅值变化特性,会将支座残余变形震小,通常会小于极限最大残余变形的一半。
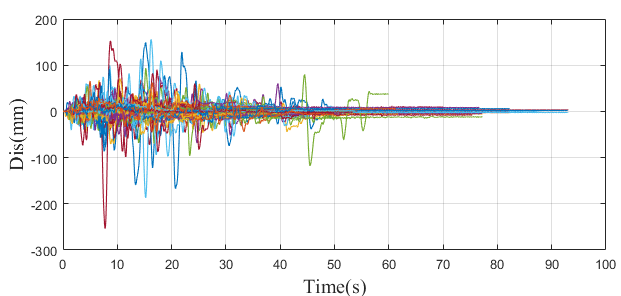
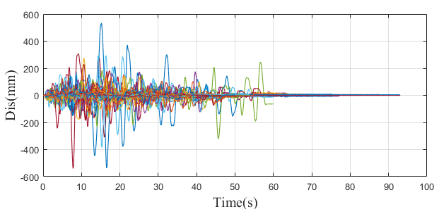
在Peer网上随机下载100条各式各样的地震波,进行计算分析。隔震周期为3.14s,屈重比/摩擦系数为0.04时,滞回曲线上极限最大残余位移为98mm,而实际上大部分都小于25mm。即便考虑实际情况,支座超小变形未启动的情况,那么大部分变形也未超过35mm。
注意:本计算不考虑两类支座硬化损伤等问题,均以支座质量过检,正常工作的情况!
220Gal输入的情况
400Gal输入的情况
610Gal输入的情况
☞
【结论】
往期精彩*点击即达
#性能分析
【JY】推开土木工程振型求解之兰索斯法(Lanczos法)的大门
【JY】基于OpenSees和Sap2000静力动力计算案例分析
#软件讨论
【JY】Abaqus案例—天然橡胶隔震支座竖(轴)向力学性能
#YJK前处理参数详解
【JY】YJK前处理参数详解及常见问题分析:二阶效应和分析求解(四)
【JY】YJK前处理参数详解及常见问题分析(五):风荷载信息
~关注未来更精彩~
工程师必备
- 项目客服
- 培训客服
- 平台客服
TOP




















