STAR-CCM+流固交界面处理教程:管道大变形过程的流固耦合分析
背景
管道输送在工业和工程中起到重要作用,近年来,这一课题已发展成为一个分析流体-结构相互作用(FSI)的动力学模型,在航空航天、空气动力学、船舶运动、医学工程等领域有着广泛的应用。基于FSI的仿真模拟可以用于研究管道输送的动力特性和稳定性,得到管道的固有频率,帮助提高管道输送的可靠性。
本文以一根细管在脉冲荷载下的变形过程为例,说明用Simcenter STAR-CCM+分析FSI的详细步骤,并给出分析结果和实验结果的对比。
几何和网格
本例所用的几何结构是一个简单的半管模型,如图1所示,直径0.02 m,长1.20 m,其中流动通过速度入口进入,压力出口流出。管道的内壁面作为流体流动的固体边界,但在整体几何结构的中间部分(中段0.4m的部分)与流体域动态耦合。管道壁面的固体域用0.0005 m厚、0.40 m长的固体域表示,两端固定,外表面无应力。管道的其余部分处理为刚性边界。
图1 几何示意图
输入文件为VibratingPipe_impulse_start.sim,打开后先将Geometry >Parts节点下的Fluid和Pipe分配为Regions,再用Directed Mesh对整体几何划分纯六面体网格,输入文件中已经设置了Directed Mesh的各个选项,直接Execute All即可生成网格,流体网格首先运行,并通过流体体积扫掠到出口,生成流体六面体网格。然后生成固体域的网格,由固体的某个端面向对面扫掠,生成管壁的六面体网格。结果如图2所示,管道壁面厚度方向3层单元。表1中列出了几何和网格的主要参数。
图2整体及局部六面体网格
表1 几何和网格参数
设置求解
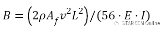
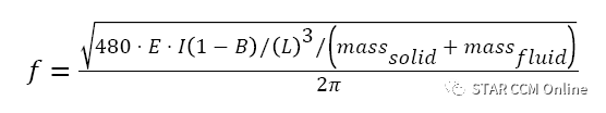
本例求解的是一个瞬态、三维、层流、可压缩流动。流体介质采用恒速0.001 m/s的水,水的密度用场函数定义。管壁的振动频率由下式解析计算:
其中
ρ-流体密度,Af-横截面面积,L-长度,E杨氏模量,I-转动惯量,由
计算得到。此问题的解析解的周期为2.34e-3s。
模型及介质
由于本例所用的介质为层流、可压缩流体,所以要指定可压缩流体的状态方程,激活用户定义的EOS模型,以便将流体密度定义为压力和声速的函数。同时设置流体的速度初值[0, 0, 0.001] m/s,管内流体域所用模型及速度初值如图3所示。
图3 流体域所用模型及初值
管壁固体建模为线性弹性材料。为了求解管道在施加荷载作用下的位移,激活Solid Stress模型。为了考虑流体与固体之间的相互作用,激活Fluid Structure Coupling,该模型允许在流-固界面进行隐式数据交换,从而实现流固耦合分析。Nonlinear Geometry模型用于模拟非线性现象,如大的位移和旋转运动,以及细长零部件的拉伸或压缩变形。对于非线性几何现象(大应变)和非线性材料,平衡方程是非线性的。为了求解非线性方程组,Simcenter STAR-CCM+采用牛顿迭代法更新刚度矩阵。固体域激活的模型如图4所示。
图4 固体域所用模型
定义可压缩流体的状态方程,流体密度由声压和声速计算得出。流体特性需要用Field Functions定义,包括流体密度、水声速和密度-压力导数,如表2所示。注意:需要激活可压缩才能出现完整的属性界面:Continua > Fluid Physics > Models >User Defined EOS node.
表2 水的属性
其中的声速和密度-压力导数用Parameters定义,密度用Field Function给出,见图5。材料物性的设置列于表3中。
图5 Parameters和Field Functions定义
表3 水的材料物性设置
管道壁面的固体材料物性如表4所示。
表4 固体属性
除流体速度外,其他物理量如位移、压力和固体速度等的初值全部为0.
创建流-固界面
在流-固耦合问题中,流体和固体域通过共用的交界面交换场数据。由于FE solid stress框架完全基于Parts,因此可以从流体Parts和固体Parts之间的Contact 创建流-固交界面。通常在分配Parts到Regions时已经自动创建出Interface。由于求解流体流动和固体位移分别使用有限体积法(FV)和有限元法(FE),不同的网格拓扑需要一个类型为Mapped Contact interface的交界面,允许在FV和FE网格之间进行数据映射。
指定Regions>Fluid的物理连续体为刚才创建的Physics1,Pipe的连续体为Physics2,则Interface>Fluid/Pipe类型自动改为MappedContact Interface,如图5所示。
图5 流-固交界面设置
定义运动
由于在外部荷载作用下流体和管壁区域均会产生变形,所以需要选择适当的运动模型允许网格位置发生改变。对于固体区域,定义Solid Displacement,允许管壁网格基于计算的位移实时变形。对于流体区域,定义Morphing,允许流体网格基于映射到流固交界面上的位移发生变形。
在Tools > Motions节点点击右键 New > Morphing,用同样的操作创建New > Solid Displacement。
将上述运动分别分配到流体域和固体域,结果如图6所示。
图5 分配运动到流体域和固体域
Simcenter STAR-CCM+自动设置流体域中流-固交界面的变形方法为Solid Stress,保持默认即可。
边界条件
指定入口速度,约束管壁两端的自由度。此外,在管道固体域的外壁面上施加一个脉冲荷载。所有的边界数据定义列于表5。
表5 边界条件设定
其中的Field Function定义为[0.0,Fy, 0.0,],Fy定义如下:
根据上式定义Field Functions如图7所示。
图7 定义脉冲荷载Field Functions
在Regions > Pipe节点右键选择Create Segment >Surface Segment,对管壁两个端面创建固定约束,如图8所示。
图8 创建固定约束
用同样的方法对管道外壁面施加脉冲荷载,大小为图7中定义的场函数Impulse Load,设置如图9所示。
图9 施加脉冲荷载
创建监测
创建出管壁对称面上的中心点,以实时观察计算过程中管道的位移,如图10所示。
图10 创建监测点
创建一个Maximum Reports,表示管壁中心点在Y方向的最大位移,FieldFunction
中选中Displacement > Laboratory > j,如图11所示。再从MaximumDisplacement点击右键Create Monitor and Plot from Report,以便在计算过程中观察监测点的位移曲线。
图11 监测点的最大Y位移报告
为了在场景图中直观显示变形过程,创建Vector Warp。Derived Parts 右键New Part > Warp > Vector Warp,Input Parts中选择Parts > Pipe,其他设置如图12所示。再创建如图13所示的Scalar场景,显示出VectorWarp的Y方向位移。
图12 Vector Warp创建
图13 位移场景创建
计算
按照表6设置求解属性和停止标准,保存sim文件,开始计算。
表6求解属性和停止标准
模拟结果
部分模拟结果如图14-17所示,可以看出,计算可以平稳运行,模拟得到的监测点位移曲线与文献中给出的实验值基本重合。经过FFT变换,得到图17所示的频率曲线,读取固有频率为425.931Hz,与解析解得到的427.35Hz相差仅0.33%。
图14 残差曲线
图15 监测点位移计算值与实验值对比
图16 变形过程
图17 FFT变换结果
输入文件
请到以下链接下载:
链接:
https://pan.baidu.com/s/1GMgcGExYDvh_5OxdhokBoQ
提取码:wvy6
参考文献
[1] Jweeg, M. J. & Ntayeesh, T. J. 2015.Dynamic Analysis of Pipes Conveying Fluid Using Analytical, Numerical and ExperimentalVerification with the Aid of Smart Materials, International Journal of Scienceand Research (IJSR), 4(12).
[2] Paidoussis, M. 2013. Fluid-structureInteractions: Slender Structures and Axial Flow, s.l.:Academic Press.
[3] Paidoussis, M. & Issid, N. 1974.Dynamic Stability of Pipes Conveying Fluid, Journal of Sound and Vibration,33(3), pp. 267-294.
文章来源:STAR CCM online
工程师必备
- 项目客服
- 培训客服
- 平台客服
TOP




















