汉航NTS.LAB冲击响应谱测量和分析
NTS.LAB冲击响应谱功能
冲击响应谱根据响应峰值取法的不同可以分为三类:
初始响应谱,简称“主谱”;它是取冲击作用时间内的相应峰值求得的冲击响应谱。
剩余响应谱,简称“余谱”;它是取冲击激励结束后的相应峰值做出的冲击响应谱。
最大响应谱,即主谱及余谱的包络谱。
根据所用的响应参数不同可以分为以下几类:
绝对加速度谱
等效加速度谱(也称相对加速度谱)
绝对速度谱
等效速度谱(也称相对速度谱)
绝对位移谱
相对位移谱
一般常用最大绝对加速度谱和最大相对位移谱,前者多用于规范冲击环境,后者多用于考核冲击强度及设计减震装置。而速度谱则多用于舰船冲击,对舰船来说冲击速度与损伤趋势的相关性最强。
01
什么是冲击响应谱
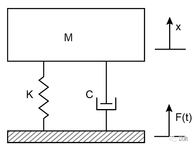
冲击响应谱(Shock Response Spectrum, SRS),又称“冲击谱”,用于描述一系列单自由度质量阻尼系统受冲击时各单自由度系统的响应最大值与单自由度系统的固有频率的关系。一般来说,冲击响应谱是一个动态系统对给定瞬态输入的峰值响应与该动态系统固有频率之间的函数关系图。下图所示为一系列单自由度“弹簧-质量-阻尼”系统,这些单自由系统具有公共的基础(基座)。当其公共基础受到冲击激励时,在笛卡尔坐标系下各单自由度质量阻尼系统产生的响应峰值与其对应固有频率绘制成坐标曲线,即为冲击响应谱。
SRS计算示意图
计算冲击响应谱步骤:
A. 测试公共基础的输入激励,用于计算冲击响应谱的能量输入。
B. 建立一系列单自由度弹簧-质量-阻尼系统,分别将激励作用在该系统,求解系统的响应,其解的形式可为位移、速度、加速度响应。
C. 各单自由度质量阻尼系统产生的响应峰值与其对应固有频率绘制成坐标曲线,进而得到冲击响应谱。
冲击响应谱
02
冲击响应谱的用途
产品在实际应用过程中受力情况复杂,其中冲击激励会使设备激起强迫振动和固有频率响应,使产品性能和结构强度受到不同程度的损害甚至失效。航空、 航天、电子等行业产品在生产、运输等过程中存在着各种冲击,而这对产品的质量和可靠性有着很大的负面影响。为了解决这一问题,产生并发展起了冲击试验,如GJB150规定的半正弦、后锯齿峰、梯形波等冲击试验,其主要复现产品的时域冲击环境。近年来,随着对环境试验的认识不断提高,对冲击环境的模拟也提出了更高的要求,产品在面对不同的冲击时,工程师更关注产品的动力学响应,冲击响应谱试验也越来越被关注。冲击响应谱(SRS)是一种基于频率的函数,用于指示由于瞬态冲击引起的振动的大小。SRS可以量化来自无数不同事件的瞬态振动:如地震、爆炸、导弹发射等冲击环境。
以一艘战舰为例,它受到附近爆炸的冲击而产生瞬态振动。在冲击事件发生时,可以在战舰的关键部件上测量和捕获冲击响应谱。使用冲击响应谱,然后可以设计环境试验来重现组件经历的瞬态冲击振动,以确保它们能够在冲击中幸存下来。
受爆炸冲击的战舰
03
计算冲击响应谱
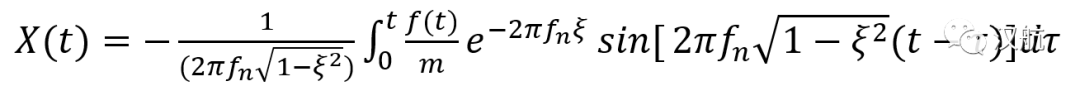
下面以单自由度弹簧-质量-阻尼系统为例分析冲击响应函数,设单自由度系统的物理模型如下:
力学模型
该系统的物理运动方程为:
其中m,c,k分别为系统的质量、阻尼和刚度。
对上述方程进行变量代换可得:
其中:
由单位脉冲响应的杜哈梅积分可得方程的解为:
这就是系统的位移响应与时间、固有频率的关系式。同样的,可以求解系统的速度响应和加速度响应,并绘制相对应的冲击响应谱曲线。
由单自由度系统的响应公式可以发现,整个系统的响应是时间的函数,因此系统响应又分为冲击作用时间内的响应和冲击作用后的响应,具体可有如下分类:
半正弦激励输入(紫线)所产生的瞬态响应(蓝线,包含主响应与残余响应)
(1)初始(主)响应谱:在冲击持续作用时间范围内出现的最大响应峰值与系统固有频率之间的关系,简称“主谱”。它存在着正、负之分,正向指的是与激励同方向的响应峰值,负向则是与激励方向相反的响应峰值,如上图中的点2(正向)和3(负向),点1为主响应绝对值的峰值点。
(2)残余响应谱:在冲击持续作用完结之后的时间范围内出现的最大响应峰值与系统固有频率之间的关系,简称“余谱”。它同样存在着正、负之分,正、负方向与主谱的正、负向定义相同,如上图中的点5(正向)和6(负向),点4为残余响应绝对值的峰值点。
(3)最大响应谱:在整个响应过程中的最大响应峰值(绝对值)与系统固有频率之间的关系,亦为“主谱”和“余谱”的包络谱。
最大响应谱、初始响应谱、残余响应谱包络
04
NTS.LAB 冲击响应谱参数设置
在进行冲击响应谱分析时,需要注意若干参数的正确选择,如采样频率、触发设置、阻尼比、倍频程分析,以下为NTS.LAB的具体设置:
(1)采样频率:在振动分析中,根据采样定理,采样频率取为分析频率的上限的2.56倍即可。对冲击响应谱的计算,一般不得低于4倍,最好取6~10倍。采样频率过高并不好,一则是计算工作量加大,更重要的是在低频分析时会导致结果不稳定。
采样频率设置
(2)触发设置:在进行冲击信号采集时,首先需要保证采集到完整的冲击波形,因此需要设置合适的触发量级和预触发延迟占比,以保证采集到完整的瞬态冲击信号。
触发设置
设置触发延迟占比采集到的完整冲击信号
(3)阻尼比:该参数决定了系统的阻尼大小,在计算SRS时,系统的阻尼比由用户设定。阻尼比决定了质量-弹簧-阻尼器系统对给定输入的响应幅度。通过减少/增加其值的大小,质量-弹簧-阻尼系统对相同的输入激励具有更高/更低的振幅。
不同的阻尼比的位移幅频曲线(λ=1为共振工况)
阻尼越小,能量耗散越少,系统的响应峰值越高;反之,系统的响应峰值越低。由于力学环境实验中大多数是金属材料结构,所以通常情况下取ξ =0.05。
不同阻尼比下的冲击响应谱计算
(4)倍频程分析:倍频程分析参数决定了用于SRS计算的质量-弹簧-阻尼系统的数量。倍频程划分的越细,参与计算的频点数越高,使SRS中各点之间的频率间隔更细或更窄。
NTS.LAB支持的倍频程类型
可以发现,相对于1/3倍频程,选择1/6倍频程分析,此时计算的频点数会越多,响应谱曲线也就越光滑,但任何相近的自然频率的振幅都是相同的,如下图所示。若选择过细的倍频程划分,低频时计算的点过于密集,浪费时间且意义不大。在NTS.LAB中,用户可选择的倍频程类型由1/1至1/48,在典型的SRS计算中,阻尼比的值选择5%,倍频程类型可选择1/6倍频程。
在同一瞬态事件,不同倍频程计算SRS的振幅
05
总结
爆炸冲击环境是一种复杂振荡型冲击,能量分布在较宽的频率范围内,经典波形属于简单冲击,低频能量大、高频能量小,二者对产品产生的破坏作用不同,不能用经典冲击完全等效复杂振荡冲击的作用效果。
冲击响应谱用瞬态冲击引起的响应大小衡量冲击的破坏作用,可用于比较不同冲击的严酷程度,且其计算不包含时域信息,从中得不到任何时域信号的相关信息,故一个冲击响应谱可能对应着多个冲击加速度信号,即不同的冲击加速度信号可能具有相同的冲击响应峰值,意味着不同的冲击加速度信号可能对系统造成相同的破坏损伤效果,进而从频域上更具有代表性。
NTS.LAB 冲击响应谱分析模块,提供瞬态冲击数据采集、参数设置、冲击响应谱计算整个试验流程,精准复现结构受到冲击时的响应,工程师可以以此设计振动试验来复现产品经历的瞬态冲击激励,以确保它们能够在冲击中正常运作。
点击下方蓝色字体“阅读原文”,了解更多信息。
工程师必备
- 项目客服
- 培训客服
- 平台客服
TOP




















