脉冲的自由空间传输
建模目的:使用VirutalLab模拟脉冲在自由空间的传输
使用工具箱:基本工具箱
脉冲参数:脉冲宽度为10fs,载波波长800nm,包含29个谐波场
自由空间传输距离:10mm
VirtualLab脉冲建模的一些概念的介绍
1) 脉冲传输
作为任意的电磁场,脉冲由电场矢量E(r, t)和磁场矢量H(r, t),共六个矢量分量来表示,这六个分量均为实值函数,后面我们用函数U(r, t)表示其中任意一个分量
VirtualLab可以模拟脉冲传输,在一个输入平面 定义脉冲,此后脉冲传输通过一个系统并在输出平面 显示,数学表达式如下:
2) 复数场
传输时间用 来表示
脉冲在时间上的宽度为 ,简称脉宽,一般脉宽长短依赖于横向位置并且随着传播改变
脉冲的载波频率为
在光学中使用实数场表示会带来很多计算上的不便,为方便计算人们往往使用复数场Uc表示光场分量,在VirtualLab中也是这样。复数场Uc和实数场U之间的关系是:
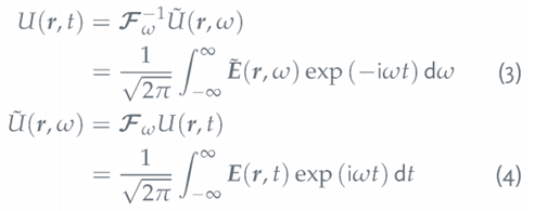
3) 时间傅里叶变换
任意点处,光场的时域分布和对应的频域分布由傅里叶变换联系起来,如下所示:
类似的定义同样适用于复数场
4) 包络函数
VirtualLab在模拟中使用了包络函数 的概念。包络函数是以 为中心时脉冲时域分布并除去载波因子 后剩余的部分。因此,其定义如下:
其对应的频域谱为:
脉冲在自由空间的传播的模拟
1) 构建脉冲光源
PS:高斯脉冲光谱窗口
生成的载波波长为800nm的高斯脉冲光谱
2) 创建光路图LPD,选择高斯光源,并将高斯脉冲光谱导入高斯光源中,以形成脉冲光源
STEP1:选择高斯光源(Gaussian Wave)
STEP2:在光源窗口选择光谱参数(Spectral Parameters)
STEP3:在功率谱类型中选择波长列表(List of Wavelengths)
STEP4:选择从图表中导入(Load from Diagram)
STEP5:选择上面生成高斯脉冲光谱
STEP6:OK,以生成高斯脉冲光源
3) 选择虚拟屏作为探测器,并将光源与虚拟屏连接起来,二者间距离设置为10mm
4) 点击▷Go! ,进行场追迹
PS:高斯脉冲光源自由空间传播,在虚拟屏上的光分布
5) 引入光程分析器(Optical Path Length Analyzer,以下简称OPLA),以获取脉冲的时间偏移
PS:在分析器中双击Optical Path Length Analyzer (OPLA)
PS:光程分析器窗口
6) 点击 ,进行光程分析
PS1:左图为相位vs频率图
PS2:由左图可见相位大致随频率线性变化,因此可对其进行线性拟合。在全相位中提取出线性拟合部分,剩余相位随频率的变化如右图所示。剩余相位是介质色散的结果,若介质无色散则相位完全线性的随频率变化,剩余相位为零(或任意常数)
7) 查看探测器结果Detector Results ,获得(考虑色散的)时间偏移
PS1:时间偏移量为33.3656ps
8) 使用VirtualLab提供的场测量工具,选择点测量(Point Evaluation)即显示某一点上光场的特性
PS:在中心位置处测量光场随波长变化
PS:中心位置处不同波长对应的电场振幅
9) 点击键,对上述结果进行逆向时间傅里叶变换
PS:输入OPLA探测的时间偏移量33.3656ps以使变换结果居中于该时间点
PS:电场振幅在时域中的分布
10) 逆向时间傅里叶变换所得结果为时域中脉冲的包络函数,将包络函数乘以 ,即转换为真实场
PS:转换为真实的场
PS:将包络函数转换为真实场
11) 其它场测量工具
线测量工具 ,即显示某线段上光场的分布及特性
PS:在输出光场上划定线段
PS:选择线测量工具,测量光场随波长的变化
PS:获取线段上不同波长对应的电场振幅
12) 对其进行逆向时间傅里叶变换,得到该线段上每一点的包络函数
工程师必备
- 项目客服
- 培训客服
- 平台客服
TOP




















