BLDC电机的振动与噪音
2023年6月16日 11:44一、 振动与噪音机理
耳听觉的声波频率范围大约为20Hz~20kHz;
1、电磁噪音------控制器pwm;定位力矩;力矩波动等;
2、机械噪音------电机轴承;电机电刷;转子不平衡等;
3、空气动力噪音。
——在频率300一600赫兹区队80分贝响度级的噪声若每天连续作用8小时,实际上不会引起对1000一2000赫兹言语频率范围内的听觉丧失;
——在频率300一600赫兹区间,88至95分贝的噪声响度级经过30年会引起对1000赫兹的听觉丧失8至13分贝,对2000赫兹的听觉丧失13.5至19分贝;
——在频率1200一2400赫兹区间,73分贝的噪声响度圾经过7年会引起对4000赫兹的听觉丧失5分贝,而83至88分贝的响度级经过30年会引起对4000赫兹的听觉丧失 27至33分贝。
气隙磁导:
其中 μ—气隙磁导谐波次数, μ =1,2,3,……;
Z—槽数;
Λ0—磁导常量部分;
Λμ — μ次谐波幅值;
Φμ—定子圆周角坐标系自变量。
转子磁势:
k—永磁磁动势谐波次数,k=1,2,3,….;
p—极对数;
θ0—转子在定子圆周角坐标系中的角坐标;
Ω —转子转速;
Frk—转子磁动势次谐波幅值。
定子磁势:
Fsv—定子磁动势次谐波幅值;
v —定子磁动势谐波次数;
θ0 —定子磁动势在圆周坐标系中角坐标;
ω1—电流基波角频率;
η—电流谐波次数。
合成磁动势:
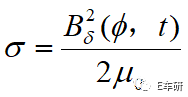
气隙磁密:
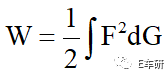
单位面积力:
1不随时间变化的恒定力波,即零次力波。恒定力波只是对定子铁心产生静压力时铁心产生静变形,不产生振动和噪音;
2定子磁动势同次谐波,力波角频率为2ηω1;
3转子磁动势同次谐波,力波角频率为2kω1;
4定子磁动势不同次谐波,力波角频率为(ηi±ηj)ω1 ;
5转子磁动势不同次谐波力波,角频率为(ki±kj)ω1 ;
6定、转子磁动势不同次谐波力波,角频率为(ηi±kj)ω1;
7定、转子磁动势同次谐波力波,角频率为2ηiω1;
电磁噪音测试最常用的鉴别方法是:
1、突然断电法。
2、测振法。
3、混合变频判断法。所谓混合变频法是指利用相关仪器辅助人耳鉴别噪音。混合变频鉴别法的辅助设备为一套可变频音响设备。鉴别时,首先测试电机在恒电压恒转速时的噪音频谱,记录幅值较大的频段,令变频音响设备在这些频段上发出激励声源,根据同频声波幅值叠加原理,当激励声源与噪音相应频谱成分接近或一致时,人耳会感觉到噪音被加强。
二、定位力矩与噪音
•定位力矩-电机不通电时永磁转子受到的磁力矩
•引起的原因-齿槽和磁滞的存在
理想磁路下的齿槽力矩TC;
极数2P=2, 齿数Z=3,每周稳定位置数υ=6
虚位移方法求取TC:
,
最低次数υmin-每周磁能状态重复次数:
C— 2P 和Z的最大公约数;
•幅值-决定于磁势平方F2和磁导G的υ次幅值乘积。
缺陷磁路的齿槽力矩
•转子有缺陷导致Z次定位力矩
•定子有缺陷导致2P次定位力矩
噪音频率为电流频率的18倍,机械转速的180次;机的定位力矩分析
三、方波无刷直流电机力矩波动与噪音
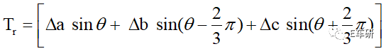
波动力矩—指令一定下不同转角对应的电磁力矩波动分量引起的原因:电动势e和电流 i 的波形偏离了理想波形。
求得
力矩波动仿真图
四、正弦波无刷直流电机力矩波动与噪音
正弦波驱动
•理想情况
•存在电流偏差Δ时
存在幅值偏差:
存在相位偏差Δθ
存在恒定成分ΔI
五、抑制措施
电机本体------定位力矩------优化电机系统固有频率;
控制器------力矩波动------方波控制器和正弦波控制器;
定位力矩措施包括:
}定子斜槽或者转子斜磁极
}减少定子槽开口宽度
}定子齿开槽
}分数槽
}改变极弧宽度
}磁极不规则放置
}改变磁钢磁化方向
}无槽结构
}无铁芯绕组
降低气隙磁通密度
方波控制器:
Tr比正弦驱动的要大
原因:电势平顶部分小及电感的存在
• 减小Tr的措施
v加大电势平顶宽度
v电流反馈
v正弦波驱动
超前角控制:
正弦波控制器:
磁场正弦化设计(不均匀气隙);保证位置传感正弦化精度;电流反馈;提高电路的线性。
文章来源:E车研
工程师必备
- 项目客服
- 培训客服
- 平台客服
TOP




















