关于指数号筒的辐射阻抗和截止频率计算


【基本概念】
1 号筒(horn)
   (电声词典)它亦称“喇叭(筒)”。截面积在长度方向逐渐变化的声管。用于改进振膜与空气负载的匹配,还可以调节号筒扬声器的指向性。

关于指数号筒的辐射阻抗和截止频率计算的图1


2 指数号筒(exponential horn)
   截面积随纵向位置呈指数增长的一种号筒。它提供了较为均匀的辐射特性和较宽的频率响应范围。
3 扩张常数(flare constant)
   它是指喇叭横截面的形状参数,用于描述喇叭的逐渐扩大或收缩的程度。
   喇叭的横截面可以是各种形状,如圆形、抛物线形、指数形等。这些不同的形状会对喇叭的声学特性产生影响。喇叭的扩张常数是其中一个重要的参数,它决定了喇叭横截面的变化速率。在指数喇叭中,扩张常数表示喇叭横截面的几何级数增长率。具体来说,如果喇叭的截面积随着距离喇叭口越来越远而以指数函数的形式增大,那么扩张常数就是这个指数函数的底数。较大的扩张常数表示喇叭的横截面变化更为急剧,喇叭的声压级分布也会相应改变。通过调整喇叭的扩张常数,设计师可以控制喇叭的频率响应、指向性和功率传输等声学特性。一般来说,较小的扩张常数可使喇叭具有更广的频率响应范围,但指向性较差;而较大的扩张常数则可以提供更好的指向性,但可能限制频率响应的范围。
4 喇叭的截止频率(horn cutoff frequency)
   它是喇叭能传播有效声音的最低频率。在该频率以下,喇叭无法有效传输声音。它是与喇叭的尺寸、形状和设计参数等因素相关的重要参数。
【正文】
Although there are numerous mathematical treatments of horns in the texts on acoustics, they all suffer from a common set of inadequacies: the models developed in the literature account for energy transmission inside the horn, but there are no closed-form solutions to the problem of horn directivity—i.e., the behavior of a horn’s radiation outside the boundaries of the horn walls, where listeners are located. Modern horn designers have been far less concerned with optimizing acoustic loading than with creating desirable directivity characteristics, and the designs have without exception been derived empirically rather than analytically.
   In an exponential horn, the cross-sectional area is given by
关于指数号筒的辐射阻抗和截止频率计算的图2
   where,
   S0 is the cross-sectional area at the horn’s throat, or entry,
   mx is called the flare constant.
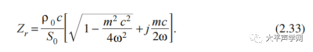
   The radiation impedance of an exponential horn, assumed to be infinitely long for our purposes, is
关于指数号筒的辐射阻抗和截止频率计算的图3
   The first term in the brackets is the radiation resistance, and the second is the radiation reactance. Of interest is the frequency at which the value of expression inside the square root becomes zero
关于指数号筒的辐射阻抗和截止频率计算的图4
   This is known as the horn cutoff frequency. The above theory predicts that no sound will be transmitted through the horn below this frequency. Clearly, this is not the case with real horns, so the theory contains one or more assumptions that are not met in practice. Note also that the second term in the brackets, the radiation reactance, goes to zero in the high-frequency limit.
【Reference】
《Electroacoustic Devices: Microphones and Loudspeakers》Edited by Glen Ballou
《电声词典》第二版
【免责声明】
推文引用的资料大部分来源于网络和书籍,推文的目的仅仅在于交流学习分享知识,并不意味着赞成和反对,且不为其版权负责。如涉及侵权,请及时联系我删除。

文章来源:大平声学网

登录后免费查看全文
立即登录
App下载
技术邻APP
工程师必备
  • 项目客服
  • 培训客服
  • 平台客服

TOP

6
3