知识分享 | 应变片是如何工作的?
更新于2024年1月5日 10:31浏览:4183 收藏:2
应变片是能够测量长度(应变)相对变化的传感器。如果材料被拉伸,应变被称为正应变,而如果材料被压缩,应变则被称为负应变。
应变片的结构
传统应变片一般为 箔式电阻应变片 。(称其为传统是因为现在有其它新的应变片技术,例如光纤布拉格光栅传感器,其原理完全不同) 标准的应变片一般采用聚酰亚胺作为基底,康铜丝粘附在上面。 康铜是一种电导体,使用模板蚀刻法,产生康铜测量栅丝,然后粘附在基底与载体箔材上。 从外观上来看其形成一个蛇形绕组图案。
应变片是如何工作的?
对于应变测量来说,我们实际感兴趣的是机械应力。机械应力描述了施加在材料上的内部和外部力。这是实验应力分析的应用领域一个重要的要素。
因此,应变片通常被安装在需要检查材料的多个位置,并通过电缆连接到测量放大器。 如果应变片被压缩,其电阻会减小。如果应变片被拉伸时,其电阻会增加。 原因是当测量栅丝被拉伸时,电流通过的导体变细,导致电阻增加。
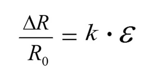
电阻的变化确定了应变片上的应 变:
△R=应变引起的应变片电阻变化
R0=应变片的标称电阻
k=应变片的应变系数 (SG灵敏度)
E=待测应变
应变片之间的区别
应变片之间有一些重要特征:比较重要的是几何形状,测量栅丝长度和温度适应性。
我们提供超过2500种不同类型的应变片。可根据应用选择不同的类型。它们之间的区别主要在于:
- 几何规格:应变片的几何规格包括测量栅丝数量和对准方式等。根据载荷不同,可能会发生不同的应力状态。在单轴应力状态下,也就是一个已知的应力方向,一个测量栅丝就足够了,并与主应力方向对齐。在双轴应力状态下,多个应力方向一起发生,例如张力,压力,弯曲或扭转。在某些情况下,测量工程师可能不知道主应力的方向。这需要具三个方向的测量栅丝应变片才可以。可以确定主要和次要应力的大小以及它们的方向。
- 测量栅丝长度:根据材料和测量应用,应该选择不同的测量栅丝长度。如需要非常精确地测量工件中的应力曲线(应力梯度)时,最好采用较短的测量栅丝,以精确分析关键点。如果一般负载(算术平均值)是重要的,则应该选择较长的测量栅丝。不同的表面结构也有不同:例如混凝土是不均匀的,并且小的卵石嵌入其中。在这种情况下,如果测量栅丝太短,则会使测量结果发生扭曲,因为该应用有多种微小的独立应力场。为了避免这种情况,应选择较长的测量栅丝,测量在该测量栅丝长度上的平均应力。
- 温度适应性:不同材料的需要采用不同温度适应性的应变片,以确保能够对温度变化引起的材料应变进行补偿。因此,需要根据材料选择正确的应变片。
- 其他选择标准:除了上述特征之外,还有其他一些选择标准:应变片通常具有不同的阻值(120,350或1000欧姆等),通常取决于测量链。例如放大器的桥路电阻或预期的干扰脉冲等。基底材料,导体材料或连接类型也需要进行考虑。一些应变片采用预接线方式,无需进行焊接,可以节约大量的安装时间,从而降低成本。
应用领域
应变片有两个主要应用领域:
- 一个是用于传感器制造,比如力传感器,称重传感器,扭矩传感器,压力传感器等。
- 一个是用于实验应力分析,比如机械应力的绝对值和方向的确定,疲劳寿命分析,残余应力分析。耐久性测试是实验应力分析的主要应用。例如材料何时在恒定负荷下失效等。这些载荷是采用试验方式,循环加载的。负载通常较低,材料在弹性范围内,不会立即损坏或断裂。疲劳问题在很多方面都是有意义的:例如飞机部件,基础设施如桥梁或铁路,以及印刷电路板等。部件需要进行彻底测试,以确定其是否提供所需的耐久性,能够承受预期的负荷。
您还可以通过如下方式联系我们,了解更多产品与应用详情:
邮箱:cn.info@hbkworld.com
官网:https://www.hbm.com/
电话:400-900-3165(周一至周五9:00-18:00)
技术邻APP
工程师必备
工程师必备
- 项目客服
- 培训客服
- 平台客服
TOP
1
2




















