往复压缩机气阀压力脉动及噪声试验分析
2023年8月17日 13:34浏览:4836 收藏:2
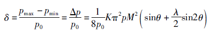
[摘 要]:为研究压缩机阀隙气流马赫数对吸、排气过程压力脉动及压缩机噪声的影响,通过改变气阀阀隙几何通流面积的方式控制阀隙通道的气体流速和马赫数,采集不同阀隙马赫数下的吸、排气腔和气缸压缩腔内压力波动信号以及缸头侧噪声声压信号,分别对阀片开启时的阀隙压力脉动强度以及压缩机噪声时频信号进行分析。试验发现吸气过程阀隙压力脉动仅发生在阀片开启瞬间,且瞬时压力脉动强度远远大于排气过程;阀隙吸气马赫数对500~2500Hz范围内的压缩机噪声均有一定影响,排气马赫数主要对2000Hz的压缩机噪声有一定影响,吸排气阀隙马赫数的改变对试验压缩机噪声影响最大相差2.03dB (A)。降低阀隙马赫数对改善压缩机吸排气过程压力脉动及压缩机噪声具有重要意义。
[关键词]:往复压缩机;气阀;压力脉动;噪声
中图分类号:TH457 文献标志码:A
文章编号:1006-2971(2023)03-0022-07
1 引言
2 气阀工作过程及压力脉动评价
3 阀隙压力脉动及压缩机噪声试验
4 阀隙马赫数对吸排气过程压力脉动及压缩机噪声的影响分析
5 结论
文章来源:压缩机技术
技术邻APP
工程师必备
工程师必备
- 项目客服
- 培训客服
- 平台客服
TOP
2




















