植被对波浪作用下床面切应力影响的数值模拟分析
植被对波浪作用下床面切应力影响的数值模拟分析
上下滑动阅读更多内容
摘要
本文基于OpenFOAM建立三维波浪数值水槽,模拟计算植被水域波浪作用下的床面切应力,分析了入射波高、植被密度、植被淹没高度、水流对植被水域波浪作用下床面切应力的影响。结果表明:纯波时,由于植被的阻水作用,植被水域床面切应力沿程衰减,其衰减程度与入射波高、植被密度及植被淹没高度呈现正相关;与纯波时相比,在波浪和同向流共同作用下正向床面切应力幅值增大,负向床面切应力幅值减小;弱水流对植被水域床面切应力的大小及分布无明显影响;强水流时,床面切应力在植被水域先增大后逐渐减小并在植被水域后显著降低。
关键词:海岸植被;波浪;床面切应力;OpenFOAM
图1 考虑植被外形扰动的模拟结果
图2 植被水域波面演化
图3 植被水域流速衰减验证
图4 理论值与模拟值对比(工况1)
图5 理论值与模拟值对比(工况2)
图6 床面切应力对比(工况3)
图7 波面及床面切应力(工况1)
图8 近底流速剖面(工况1)
图9 淹没植被沿水深速度剖面
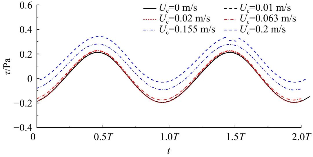
图10 不同流速下床面切应力变化
图11 不同工况下植被水域最大床面切应力分布
图12 不同流速下最大床面切应力衰减率
结论:
本文OpenFOAM中的waves2Foam求解器建立了含植被水域的波流数值水槽,模拟分析了波浪、水流、植被要素对植被水域床面切应力衰减的影响。模拟结果表明:当波浪传播到植被前端时,床面切应力会出现增大现象,并随着入射波高增大、水流流速增大、植被密度增大此种现象愈加明显;纯波时,波高和植被密度的增大均会导致植被水域床面切应力衰减幅度的增大,并且床面切应力在植被水域前段的衰减幅度较大,后段衰减幅度减小;对于完全淹没植被,植被水域的床面切应力沿程衰减幅度与植被淹没高度正相关,并且当植被非淹没时,植被水域的床面切应力沿程衰减幅度明显较大;与纯波时相比,在波浪和同向流共同作用下正向床面切应力幅值增大,负向床面切应力幅值减小,使得一个波周期内正向切应力时间延长负向切应力时间缩短;当水流流速较小时,床面切应力的衰减率与无水流时相近,之后随着流速增大衰减率随之增大。
文章来源:海洋学报中文版
推荐阅读
工程师必备
- 项目客服
- 培训客服
- 平台客服
TOP




















