Ansys Maxwell&optiSLang电机时空二维电磁力谐波优化设计
2023年9月8日 11:271 电机电磁力的基本概念
径向电磁力
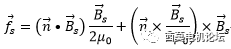
其中,Maxwell应力张量法表达式如下。
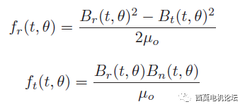
径向电磁力及切向电磁力表达式如下,其单位均为N/m2。
在Maxwell中,通过场计算器添加径向电磁力Br及切向电磁力Bt可按如下操作进行。
添加Br
添加Bt
径向及切向电磁力表达式
利用Maxwell瞬态场仿真得到定子齿部某点电磁力随时间变化的结果,通常,时域下的电磁力难以获得足够的信息,因此,我们需要将电磁力从时域变换到频域,即一维傅里叶变换。利用离散傅里叶变换(DFT),将随时间变化的波形转换到频域,得到各次频率谐波的幅值及相位,这种时域到频域的转换,便于对复杂电磁力波的分析与优化,并应用于结构谐响应分析。
时域电磁力
频域电磁力
FFT2D脚本
导出所有FFT2D结果矩阵到csv文件并图标显示结果
首先进行object Based谐波电磁力计算
Maxwell 2022R2新增电磁力二维傅里叶变换
谐波电磁力的3D柱状图显示
关于谐波电磁力的2D结果如下图所示。
谐波电磁力的2D结果
2 电机时空二维电磁力谐波的优化设计
使用 V_Shape_IPM_Rotor UDP 创建转子参数化模型
此处我们选择三个关键转子参数作为设计变量,分别为:
(1) 转子辅助槽圆心角Notch_Angle=120deg;
(2)磁钢V夹角V_Angle=135deg;
(3)极弧角度Pole_Arc_Angle=120deg。
原始方案计算的结果如下。
(1) 平均转矩Torque_avg=189.8Nm
(2) 转矩波动Torque_ripple=21.5%
(3) 磁钢总面积PM_area=97.9mm^2
(4) 电磁力阶次幅值
(a) 时间12阶空间0阶电磁力Force_t12s0=11246.2
(b) 时间6阶空间0阶电磁力Force_t6s0=10462.8
(c) 时间14阶空间8阶电磁力Force_t14s8=7759.8
用户需在Maxwell中创建输出报告,optiSLang会自动提取报告中的数据。
Maxwell中创建输出报告
Maxwell中额外设置
导入Maxwell模型
然后打开AEDT节点设置②,然后设置ansysaedt.exe路径③,然后使用Regular DSO模式④,然后勾选保存场和网格⑤,选择自动删除AEDT结果文件(可选)⑥,最后保存设置即可⑦。
optiSLang设置
optiSLang设置
接下来进行optiSLang敏感度分析。
optiSLang敏感度分析
然后定义变量范围。
(1) 转子辅助槽圆心角Notch_Angle:90deg~140deg
(2) 磁钢V夹角V_Angle:100deg~170deg
(3) 极弧角度Pole_Arc_Angle:100deg~140deg
定义变量范围
接下来设置采样规则,此处我们使用默认的 Adaptive Metamodel of Optimal Prognosis(AMOP)采样算法。
使用默认的 Adaptive Metamodel of Optimal Prognosis(AMOP)采样算法
为了获得高质量MOP模型,需要进行两次AMOP,分别为AMOP Global和AMOP Local两次。AMOP Global为大范围DOE;AMOP Local为局部加密DOE采样,其Local采样基于Glob采样结果。
AMOP Global
AMOP Local
optiSLang优化
接下来选择Evolutionary Algorithm优化算法。选择后将会自动添加Validator System。
选择Evolutionary Algorithm优化算法
计算结果
通过查看2D帕累托前沿结果,可以发现某些响应值之间出现了较明显的“跷跷板”现象,如下图所示。
2D帕累托前沿
通过查看3D帕累托前沿结果,可知三个响应(Force_t12s0、Force_t14s8、Torque_ripple)之间形成了明显的帕累托前沿。如下图所示。
3D帕累托前沿
MOP计算结果
用户可使用后处理工具Parallel coordinates plot分析帕累托前沿解。每一列代表一个输入或者响应值,每条曲线代表一个设计方案。
帕累托前沿解
本案例中有1351个帕累托解,用户可使用后处理工具Parallel coordinates plot筛选设计方案,通过拖拽手柄快速缩小解集。
使用后处理工具Parallel coordinates plot筛选设计方案
1529号方案变量取值
1529号方案目标结果
优化前后对比结果对比表
参数
|
优化前
|
优化后
|
对比
|
Notch_Angle
|
120deg
|
124.57deg
|
—
|
V_Angle
|
135deg
|
144deg
|
—
|
Pole_Arc_Angle
|
120deg
|
131.56deg
|
—
|
Force_t12s0
|
11246.2
|
1314.49
|
-88.3%
|
Force_t6s0
|
10462.8
|
9218.7
|
-11.9%
|
Force_t14s8
|
7759.8
|
2270.71
|
-70.7%
|
Torque_avg
|
189.8Nm
|
190.9Nm
|
—
|
Torque_ripple
|
21.5%
|
13.1%
|
-39.1%
|
PM_area
|
97.9mm^2
|
106.124mm^2
|
+8.4%
|
优化前后转子结构模型
优化前后转矩脉动对比如下图所示,红色为优化后方案,绿色为原始方案。
优化前后转矩脉动对比
用户可使用Ansys Sound进行阶次分析,分析结果如下图所示。
优化前 优化后
3 总结
工程师必备
- 项目客服
- 培训客服
- 平台客服
TOP




















