Adams模拟单自由度系统强迫振动
2023年9月8日 11:34浏览:2629 收藏:2
Adams模拟单自由度系统强迫振动
本文通过Adams模拟弹簧—质量—阻尼单自由系统,观察系统的变化规律。首先假设系统质量m=20kg,弹簧刚度k=8kN/m,阻尼c=130N.s/m,作用在质量上的激励为F(t)=24sin(15t) N。同时t=0时,x(0)=0,v(0)=0。
在Adams_view里面建立小球并修改其质量为20kg,然后在小球与地面之间建立弹簧,同时在小球的质心处建立单向力,最后在小球和地面之间建立移动副(确保单向运动),具体如下:
弹簧刚度、阻尼,单向力设置如下:
首先通过理论计算得到系统特性:
系统的固有特性:
通过Adams计算,计算结果与理论计算结果一致:
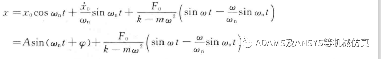
根据单自由度强迫振动公式,其稳态时的响应函数为:
其瞬态时的响应函数为:
总响应为:
通过matlab将总响应做关于x和t的图形如下:
以相同的步长进行Adams仿真,得到结果如下所示(质心沿x方向的运动):
经过对比理论计算与Adams仿真一致,验证了单自由度系统的强迫振动。从图中可以看出在有阻尼的条件下瞬态振动快速衰减,最终趋近于稳态响应。
如果没有阻尼,系统将由将变为下式:
公式由三部分组成:1是系统由初始条件产生的振动,2是激励产生的强迫振动,3是伴随强迫振动产生的自由振动。
系统的振动曲线变为下图:
END
文章来源: ADAMS及ANSYS等机械仿真
技术邻APP
工程师必备
工程师必备
- 项目客服
- 培训客服
- 平台客服
TOP
1
2




















