Adams&Workbench&Matlab四连杆机构运动学分析
2023年9月12日 11:19浏览:2784 收藏:1
Adams、Ansys Workbench和Matlab均广泛应用于工业领域中,不少从事和学习相关内容的科研工作者及在校生,也在不断对比不同软件之间的差异,因此本篇文章以简单的四连杆机构为例进行分析,对比不同软件中结果的差异。
图1为四连杆机构的基本尺寸长度,其中曲柄长度为100mm,连杆的长度为240mm,摇杆的长度为300mm。
图1 四连杆机构
直接在Adams中进行模型的构建,同时创建好对应的连接关系,连接关系如下表所示。创建完成后Adams动力学模型如图2所示。
| 部件1 | 部件2 | 连接关系 |
| 大地 | 曲柄 | 转动副 |
| 曲柄 | 连杆 | 转动副 |
| 连杆 | 摇杆 | 转动副 |
| 摇杆 | 地面 | 转动副 |
图2 Adams动力学模型构建
同时在在曲柄与底面之间的转动副添加驱动,驱动函数为1d*Time。设置仿真时间为360s,仿真步长为360,通过仿真得到如图3所示的动画结果。
图3 运动动画(Adams)
使用三维建模软件SolidWorks模型创建,其尺寸与图1中一致。在Workbench中创建刚体动力学模块,将模型导入并创建好对应的连接关系,其连接关系如图4所示。并且在曲柄和地面之间的转动副添加载荷条件,仿真完成后得到如图5所示的动画结果。
图4 Workbench连接关系构建
图5 运动动画(Workbench)
已知四连杆机构的相关参数,通过数学公式便可推导出其运动学模型,并将其运动学模型利用Matlab语言进行编写,其代码如图6所示。
图6 Matlab代码
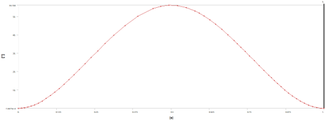
分别查看Adams、Ansys Workbench和Matlab中连杆与摇杆之间的夹角,其结果图分别如图7、图8和图9所示,结果表明,不同的软件得到的四连杆机构结果均一致。
图7 Adams仿真结果
图8 Workbench仿真结果
图9 Matlab仿真结果
文章来源:本硕博工程师俱乐部
技术邻APP
工程师必备
工程师必备
- 项目客服
- 培训客服
- 平台客服
TOP
1




















