本征导热聚合物研究:机理、结构与性能及应用
2023年9月22日 10:06
来源 | 化学进展
作者 | 周文英1,王芳1,杨亚亭1,王蕴1,赵莹莹2,张亮青2
单位 | 1.西安科技大学化学与化工学院;2.西安科技大学材料科学与工程学院
摘要:散热已成为制约超高频、大功率微电子器件和高电压电气绝缘设备日益微型化的技术瓶颈和发展面临的重要挑战,急需高性能的导热材料实现快速散热。相比导热高分子复合材料,本征结构的导热高分子材料因同步的高导热及高绝缘强度、优异柔韧性、轻质高强等优异的综合性能及优势受到了国内外学者的广泛研究和关注。本文首先讨论了聚合物的本征导热机理,系统深入地分析和评述了单体及分子链结构、结晶、取向、分子链间作用、交联、缺陷等结构因素,以及温度、压力、环境等因素对声子热传递及聚合物导热的影响机理,进一步归纳了本征导热聚合物的制备策略和途径。最后总结了当前本征导热聚合物研究面临的主要问题和挑战,展望了未来发展方向及其在众多领域的重要潜在应用。
关键词:导热聚合物 声子传递 有序结构 取向 氢键
前言
结构无序分子链的无规缠结状态加上链末端、界面、空隙、杂质等缺陷对声子的散射效应而显著限制了热载流子的传输效率,导致了高分子极低的热导率(k~0.2 W/(m·K)。常采用高导热的金属、碳及无机粒子对聚合物掺杂改性,制备的导热聚合物复合材料集成了聚合物的易加工、卓越电绝缘及力学柔韧性,以及金属及无机材料的高导热等综合优异性能,在微电子及电工技术、太阳能、航空航天及国防军工等领域获得了广泛应用。
但复合材料的高导热的获得却常伴随着电击穿强度(Eb)和绝缘电阻的劣化、柔韧性丧失等缺陷,严重影响其在高电压绝缘散热场合如 IGBT 上的应用。当前导热复合材料面临的瓶颈依然是聚合物基体的低导热影响整体的导热提升,如果不牺牲聚合物的部分柔韧性及电绝缘几乎不可能获得 k>20 W/(m·K)的复合材料;理论和试验研究表明,基于 k≥1 W/(m·K)的本征导热聚合物更易获得 k>20 W/ (m·K)的复合材料。
良好综合性能的本征导热聚合物在工业上具有重要用途,但迄今为止,对聚合物的热传递物理机制的理解依然相当有限,这对设计和制备本征结构的高导热聚合物难以提供有效的理论指导。
近年来,本征导热聚合物引起了国内外广泛关注和研究,从分子水平到纳微介观及宏观尺度上探索聚合物的多层次结构对导热的影响研究有了一定的进展。本文在阐述聚合物本征导热机理的基础上,深入分析和评述了当前单体化学结构及分子链结构、分子间作用力、结晶、取向、密度、交联、杂质、温度、压力等因素对聚合物本征导热影响的最新进展,阐述和归纳了导热聚合物的制备新策略,剖析了当前研究面临的问题和挑战,并展望了未来的发展方向及应用前景。
02
聚合物本征导热机理
宏观材料中的声子(格波量子)传递常被视为准粒子输运,服从玻尔兹曼方程,声子传递没有与试样的尺寸依赖性,但声子之间的相互作用和散射效应会显著阻碍热传递,傅里叶定律描述了这类宏观材料的传热行为。但在低维纳米材料中,热传导具有明显尺寸依赖性,这种非傅里叶热传递现象起因于不规则的声子扩散行为,很可能和声子的弱耦合效应密切相关。此外,声子波动性显著,相互作用较弱,加之弱耦合效应显著抑制了声子的散射和增大了平均自由程(MFP),从而提高了在低维材料中的导热能力。对任意材料,声子的 MFP 大小并非固定不变值,和振动频率有关,具有很宽的分布。
聚合物因自身的饱和结构,无自由电子,故声子为主要的热传输载体。根据德拜方程:
k=(Cv·v·l)/3 (1)
式中,k、Cv、v 及 l 分别为热导率、比热容、声子速率及 MFP。决定 k 的参数 v 及 l 与物质的结构有序性密切相关,声子的 MFP 大小取决于具有晶格点阵结构中的声子几何散射以及与其他声子间的碰撞散射等因素。因聚合物的巨大分子量及多分散性、无规纠缠的长分子链及各类链结构缺陷、非谐性晶格振动等因素引起的声子碰撞导致的声子静态散射和动态散射明显缩短了最终 MFP,故非晶无序结构聚合物的导热主要凭借无规排列的分子围绕一个固定位置的热振动将能量逐次传递给相邻分子,强烈声子散射导致很低的导热,见图1 所示。
结晶聚合物的长程有序晶格结构能明显增大声子 MFP 和抑制声子散射,显著促进声子热传递(图1)。但实际上因非晶无序结构存在,无规链缠结导致结晶聚合物难以形成完整晶格结构,故其导热仅比非晶聚合物的稍高。因此,调节多尺度分子链结构,增大结构有序性,抑制各类声子散射,构建利于声子传递的低热阻通路可提升和调控聚合物的导热。当前是从宏观、微观及分子尺度分别理解聚合物的热传递物理机制,研究聚合物的导热与其他性能的关联是宏观主要研究路线,具有高度唯象学特点,微观理解则强调从传热载体角度的传热物理,总结来自试验的数学模型,而从分子水平上才是理解和预测聚合物导热的核心和关键。
03
聚合物结构与导热性能
导热性能与聚合物的多层次结构密切相关,结构影响因素包括 1~3 级结构如单体化学结构、分子链结构及聚集态结构等,1~3 级多层次结构相互交织在一起,协同影响着聚合物的导热性能。在成型加工过程能形成增大声子的 MFP 的有序结构如取向、结晶等均能够提升聚合物的本征导热。
当前,深刻理解多尺度分子链结构对导热的影响机理仍是一个巨大挑战,阐明分子结构与导热关系对于设计具有合理化学结构的本征导热聚合物来讲是里程碑式的工作,而应对此挑战则需要来自试验、表征、分子模拟、机器学习等领域的通力合作。下面分别从聚合物的 1~3 级结构出发讨论多层次结构对导热的影响。
3. 1 近程结构
结构单元的结构主要包括:单体化学、物理及立体结构,取代基及侧链的化学及空间几何结构等,结构单元的结构影响到分子链的结构及聚合物的密度、结晶和导热性能等。
3.1.1 单体结构
单体分子的结构规整性影响到分子链堆积结构和致密性,影响聚合物的导热。单体存在不对称侧基时因降低聚合物分子堆积密度而导致低导热,例如,无侧基的聚乙烯 (PE)的导热大于聚丙烯(PP)。单体分子中的极性基团数目及偶极矩大小影响分子间的相互作用力(偶极作用)和沿分子间的声子传递,例如,极性聚酰亚胺的导热约 0.37 W/(m·K),高于非极性聚四氟乙烯的 0.25 W/(m·K)。分子动力学模拟(MDS)显示单体分子中的原子质量和聚合物的导热具有负相关关系,C⁃C 主链对导热的贡献最大,约占 80%,当主链上含有 O、S、P等重原子替代 C 原子时因降低了声子群速而导致低导热,如 PE 导热约 0.3 W/(m·K),大于有机硅的 0.15 W/(m·K);C⁃C 链的导热与取代原子的数目成反比,当 3%的 H 原子被重原子取代后则体系的导热下降约 75%。液晶(liquid crystal,LC)分子的结构包括致晶基元的化学结构及空间分布、柔性链结构及长度等。
含联苯、亚甲芳胺、芳酯等致晶基元结构的反应性液晶分子如液晶环氧(图2)、有机硅单体,在液晶温区内依靠致晶基元之间的 π⁃π 作用自组装成具有向列、近晶有序结构的液晶畴(Domain),为声子传递提供了快速通路。依据致晶基元的空间位置液晶种类分为主链、侧链及碟状等类型,致晶基元的结构及液晶类型均影响到液晶聚合物的导热性能。
对交联型液晶分子,固化剂的化学结构影响到液晶基元的自组装行为及取向液晶畴在交联网络内的空间分布及拓扑结构、三维空间声子通路的构筑及分布。因此,设计和合成不同结构及类型的液晶分子,基于诱导液晶分子的自组装及优化液晶畴的空间分布能有效调控和提升液晶聚合物的导热能力。
一些具有 2 维结构特征的有机分子如金属有机框架(MOF)、共价有机框架(COF)等,借助有机骨架之间的 π⁃π 堆砌效应形成一维有序取向结构后,MOF/ COF 的分子结构及中心离子的半径大小影响到叠层自组装有序结构。骨架外的活性官能团基于化学反应能够锁定叠层取向的有序结构,这为声子传递构建了低热阻的有序通道而提升体系的导热。例如,通过调整卟啉基 MOF/COF(图 2)分子中心的取代离子(Ni、Cu、Zn、H)的半径大小及有机框架的平面结构,研究发现中心离子为 Zn 时MOF 聚合物导热最高达 1.2 W/(m·K)。MOF/COF 有机框架的微孔结构能有效降低体系的介电常数及损耗,这是一类具有很低介电常数及损耗的有机导热材料,在电子封装领域具有极为重要的工业应用价值。
3.1.2 取代基或侧链结构及影响
单体分子存在取代基时,取代基或侧链的结构类型、尺寸、长度及空间分布等因素影响到分子链结构、链间作用力和聚集态结构,引发不同声子散射和热阻,影响聚合物的导热性能。
取代基和侧链的存在首先降低分子链的堆积密度,并对沿主链方向传递的声子造成散射而降低导热,故无取代基或少侧链结构的聚合物常具有较高导热。其次,侧链和取代基的化学结构、尺寸及在主链上的键接方式及位置的不同会诱发单体和聚合物结构上的不同程度缺陷,造成不同程度的声子散射。
对称结构的取代基对声子散射相对较弱,而不对称结构的极性取代基和侧链因削弱了分子链间的有序排列和降低空间有效堆积密度,引发显著声子散射而降低聚合物的导热。
相比短侧链,长侧链因产生较多无序结构而引发声子散射,且散射程度随链长增加而加剧,导致长侧链聚合物的相态介于晶相和非晶相之间,如梳形聚合物的导热随侧链长度的增加而减少至最低值。相比线性侧链,支链结构对声子产生强烈散射而降低聚合物导热,例如,线性侧链呈现出比庞大支链结构聚合物高出 160%的导热。支链结构、长度及支化度均影响到分子链导热,随支链度增加导热显著减小,图 3 所示,不同支化结构导致不同程度导热降低,在支化结构中引入重原子相比轻原子更加降低体系导热。
图3 含不同类型支链结构的 PE 链的导热
单体的取代基和侧链结构还影响到分子间作用力及分子间热交换效率。借助取代基之间的非共价强作用力在分子间易于形成更多数目的物理连接结构,以此为声子传递通路可有效抑制声子散射和降低热阻;而分子间弱作用无法为声子传递构筑通路,声子散射显著,界面热阻增大。因此,通过改变取代基之间非共价键作用力(范德华力、氢键及静电作用)大小可调控聚合物的导热。
PS(聚苯乙烯)取代基的非极性 C及 H原子间的弱范德华力致使导热仅为 0.15 W/(m·K),而PMMA(聚甲基丙烯酸甲酯)因取代基原子间较强诱导偶极作用力,导热升至 0.19 W/(m·K),这类单体分子间仅存在范德华力的非晶聚合物的导热大约处于 0.15~0.21 W/(m·K)区间。
一些含氢键作用的聚合物如 PVA(聚乙烯醇)、PAA(聚丙烯酸)及PVPA(聚乙烯磷酸)等因取代基间不同大小的氢键作用在链间构筑了多尺度的三维立体物理连接结构,为声子传递创造了低热阻通道,故导热提升至0.3~0.5 W/(m·K)。
而一些聚电解质如 PACa(聚丙烯酸钙)、PAPLi(聚乙烯磷酸锂)( 图 2 所示)等因单体取代基间存在静电力而具有最强分子间作用力,静电作用起到分子间物理交联作用而极大抑制了声子散射和降低界面热阻,导热高达 0.5~0.7 W/(m·K),例如,链间具有静电作用的聚合物盐 PAPCa 的导热最高达 0.7 W/(m·K),为非晶聚合物的最高导热值。
因此,增强单体分子间作用力因强化和促进链间声子热传递效应而提升聚合物导热。此外,分子间作用力还提高了聚合物的硬度和模量,计算和模拟表明,分子间强离子键作用相当于给仅存在范德华作用的聚合物增加了约20 GPa 外压力作用而产生的结构和导热效果。
某些含有笼形结构的单体分子(图 2)如巴基球、倍半硅氧烷、金刚烷等,在其庞大和松散的笼型结构上的大量原子因处于局域热振动模式而显著减少了参与分子链方向声子热振动的原子数目,即声子振动的局域化效应,虽然笼型结构对分子热容有贡献,但因其上原子并不能有效参与沿聚合物主链方向的声子热传递,加之庞大笼形结构和脂肪主链之间在声子振动密度态上的失配效应明显阻碍了主链方向的声子传递,故含有笼形结构的单体呈现出很低导热,例如,PC71BM 笼型结构分子导热低至0.067 W/(m·K),是当前非晶类聚合物导热的最低值。
3.1.3 交联
分子链受化学交联点及交联度的限制和影响不能形成有序结构或晶体,杂乱无序交联结构导致交联聚合物很低的导热。传统固化环氧 E-51 导热约~0.2 W/(m·K),而 PE 的导热则随交联度的提高而逐步降低。MDS 研究表明,假如环氧及固化剂分子以平行排列方式连接,固化物的导热高达 0.8 W/(m·K),而经拉伸取向则飙升至 6.5 W/(m·K)。但实际上高固化度的环氧树脂不可能如同热塑性塑料一样借助外力取向来提升结构有序性。
当前提升交联聚合物导热的策略主要包括:1)引入液晶基元并调控自组装液晶畴的空间分布,2)利用交联剂的结构及增大交联点间非共价作用力。
影响热固性树脂导热的主要因素有预聚物及交联剂的化学结构、交联度、交联点间非共价作用力等。下面分别从上述三个方面阐述交联结构对聚合物导热的影响机理。
(a)预聚物化学结构
预聚物的化学结构影响固化物的导热。液晶单体在交联过程控制条件优先形成液晶自组装结构,固化后可形成微观有序、宏观无序的固化物,基于调控交联网络内的液晶畴的空间分布可提高体系的导热。液晶基元结构包括致晶基元的化学结构及空间分布、柔性链长度等因素影响到液晶分子的清亮点、熔点、自组装行为、固化物的力学及电性能等。
固化剂结构影响到液晶畴在固化网络内的空间分布,故不同结构的液晶基元的固化需考虑合适的固化剂,如阳离子固化剂基于链增长反应能够将自组装液晶畴有秩序地锚定在交联网络内,保持较高的空间秩序性而增大体系导热。常采用含液晶基元的芳香胺或多重氢键固化剂和液晶环氧在构筑多重多尺度声子传递通路方面的协同效应来提高液晶固化物的结构有序性,同步改善导热和电绝缘。
(b)交联剂结构及交联度
对同一反应单体,交联剂化学结构变化会引起交联网络结构变化,对固化物的导热有一定影响。例如,酚醛及胺固化环氧的导热稍微优于酸酐固化体系。
随固化剂用量增大环氧固化度增加,形成更多数目以共价键连接的相对均匀的分子热桥,导热略微提高。而对结晶聚合物,随交联度增加则有序结构的晶区减少,分子链的回转半径(Rg)和导热下降。
橡胶类非晶聚合物的导热与网络结构的均匀性关联,随交联度增加体系的导热上升,交联形成的空间网状结构缩短了热量沿着分子链传递的长度。
此外,在相同交联度下,交联位置对导热影响较小,端部及中间交联对体系的导热影响很小,但交联活性点间隔的增加利于增大体系的导热。对热塑性联聚合物如 PE,单向拉伸能提升导热,但垂直方向导热降低。
(c)交联点间非共价作用力
化学交联点间由非共价作用(氢键、静电力、范德华力)建立的物理连接结构可构筑出多重多尺度的声子传递路径,从而提升导热。交联点间距及非共价作用类型、基团结构及种类等因素影响到链间的非共价作用大小。
研究报道,相邻分子被长度足够短的交联剂紧密相连接时,相比单一共价键作用,依靠非共价作用在交联点间构建的多重多尺度声子通道可促进声子传递。短链交联剂比长链体系具有更高导热,声子除沿共价键传递外,主要沿交联点间由不同非共价作用构建的多重物理连接结构构筑的多尺度声子通路而实现快速声子传递,因此,在交联网络内,由化学交联点间的非共价作用引起的声速明显高于只具有单一共价键体系的,表明化学交联点间的非共价作用类型及种类、数目对声子传递具有不同程度的影响和贡献。
3.2 远程结构
3.2.1 分子链结构形态及构象
声子沿着主链化学键的热传递效果远大于分子间的,主链结构形态及构象变化会显著影响声子热传递。温度升高降低了主链的链段运动或晶区融化的活化能,引起链聚集态结构及链构象变化,显著影响到沿主链的声子传递,这是聚合物导热随温度变化的重要原因。温度达到非晶聚合物的玻璃化转变温度(Tg)或结晶聚合物的熔点(Tm)时,链段由于剧烈的内旋转和弯曲等运动产生的庞大数目的构象变化会显著加剧声子散射,降低声子群速和声子的 MFP,产生很低导热。
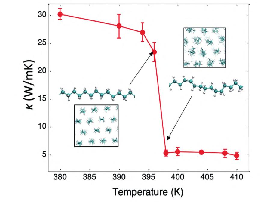
图 4 所示,实验和分子模拟显示 PE 在 380~400 K 温度范围内结晶部分的熔融导致分子链发生滑移运动,强烈的链构象变化对声子传递产生了显著的散射效应,分子链导热急剧下降。因此,增大主链刚性及增强链间作用可升高链段运动所需的能量势垒,有效抑制主链运动如内旋转、扭结和滑移等,从而有效削弱声子散射和提升聚合物的本征导热。
图4 在 380~410 K 范围温度变化诱导链节旋转致使热导率急剧变化
相比 C⁃C 单键聚合物如聚烯烃,当主链中含苯环、联苯、五叠烯类、共轭双键等结构,以及链间具有强非共价作用如氢键、π⁃π 堆砌等作用时均能有效提高主链的刚性和抑制链节的内旋转,从而提升声子群速和阻止温度诱导的相变发生,同步提升聚合物的耐热和导热。含 π⁃π 共轭和联苯等刚性骨架的高模量(E)聚合物纤维常具有较高导热,根据 k∝ρCpE1/2,高导热源自主链上的 π⁃π 共轭刚性骨架极大提高了取向方向纤维模量,有效抑制了主链扭结、弯曲等构象变化,诱导极高的声子群速。例如,非晶聚噻吩(PT)纤维导热高达 4 W/(m·K),源自刚性骨架结构保持了 PT 主链的长程直链状态,显著增加声子 MFP。π⁃π 作用并不直接提升链间导热,而是起到拉伸主链和强化沿主链方向的声子传递作用。但是,刚性主链并非一定产生高导热,例如,众所周知的凯夫拉纤维的刚性明显高于 PE纤维,但其导热(1~2 W/(m·K))却低于 PE纤维(3~6 W/(m·K)),源自凯夫拉的链段存在一个能量非常低的二面角旋转模式,链段很容易克服低能量壁垒而发生旋转,引发显著声子散射而降低导热。如将其充分拉伸后形成的高度取向结构因有效消除了链段旋转带来的声子散射,则凯夫拉纤维的导热可提升约 10 倍,远大于 PE 的。因此,主链的刚性结构及其对链段的扭结和旋转造成的声子散射的有效抑制效应是产生高导热聚合物纤维的根本原因。
沿主链共价键的热传递效果与表征主链构象及刚性指标的 Rg 与持续长度(L)密切相关,高 Rg与大 L 的分子链倾向采取更为舒张的伸展状态,这为声子传递提供了长程螺旋型导热通道,利于远程声子传递,这种 k 随 Rg 及 L 增大关系常体现在共混二元及三元共聚物中。此外,高 L 的一维刚性主链容易自发结晶形成有序度聚集态,在伸直链中声子以近似弹道方式实现快速传递。
3.2.2 链长及分子量
聚合物相态结构对导热的影响与其分子链长(CL)有关,链长对热传递机理有不同影响,弹道式和扩散式热传递的相互竞争使得单一分子链的声子传递具有明显的链长依赖性。
短链上沿主链的声子传递可能是弹道方式,链端及界面散射为主要声子散射;对长链可能是声子与声子间散射和结构缺陷散射。
Naghizadeh 等提出了非晶 PE 的 k 与 CL 关系:k∝CL0.44,考虑到密度、链构象及刚性等因素,该模型和 MDS 预测结果一致。基于非平衡 MDS 发现,非晶 PE 的链长对室温导热的影响随链长增加导热上升至一定值后则趋于缓慢,随链长变化聚合物经历了不同相态和 2 个相互竞争的声子传递机制,在 CL≤7 及 CL>140 时分别是联合原子间碰撞和声子振动机制起作用,而在 12<CL<140 之间时则是两种机制相互竞争作用。
将不同作用力对热通量的贡献进行分解后发现,声子主要沿着分子主链传递,聚丙烯酸( PAA)的导热随链长而增大,一定程度后因卷曲链的构象增加而导致声子散射,故 k 呈现了随链长的增加达饱和趋势。比较不同链长的线性聚乙醇和聚烷烃的导热发现,相同链长下线性聚乙醇的导热大于聚烷烃,持续增加链长则导热差异变小,归因于聚乙醇的端羟基强化了分子间作用,但随链长增加端羟基间的作用减弱。链长对导热的影响研究表明,结构单元化学结构、密度、链构象等因素和链长协同影响着聚合物的导热性能。
分子链链端是重要的声子边界散射点,对声子的散射包括链内及链间散射、结构散射和边界散射等均有明显影响。对短链结构的 PE、PMMA及 PS 等,在分子量 M<105 时有:k∝M1/2,在低 M下因存在更多数目的链端结构缺陷,导热降低,而随M 增大到足够大后则链端缺陷的影响减弱,故 k 变化不大,和链长对导热的影响相似。也有研究表明,在分子链发生缠结前,M 对 k 仅有轻微影响,之后则再无影响。目前,关于分子量对聚合物导热的影响机理尚无统一的认识,对二者之间关联的深层理解依然很浅显。
3.3 聚集态结构
3.3.1 链旋转和扭结
链旋转造成的构象变化因引发大量声子散射而显著降低分子链的导热,是造成单链导热降低的关键因素,链旋转因子(chain rotation factor,CRF)定量地表示了单链的内旋转程度。基于声子性能的理论计算 发现,增大分子链的 CRF 则显著降低了声子的群速和 MFP,导致低导热;例如,随 CRF 增大,所研究的几种分子链的声速几乎都从 4000 m/s 减少到不足 2500 m/s。
分子链段获得的能量不足以发生链旋转时候会引发链段产生局部扭结(kink)运动,和链旋转一样,扭结也显著引起链构象变化,增加了主链的构象数目,从而引起强烈声子散射阻碍声子传递。相比无扭结单链,链扭结对沿单链的声子传递的影响主要体现在两个方面:1)扭结增加了构象变化,加剧了声子散射和增加了额外热阻,2)扭结过程将整个单链扭结成很多小段,声子散射使每段导热均降低。图 5 理论上展示了扭结对脂肪族单链导热的影响结果,发现随扭结数目的增加分子链的导热迅速下降。
链取向可显著降低分子链的 CRF 和增大声子的 MFP,含有共轭双键、苯环、联苯及稠苯环等刚性骨架能有效抑制单链的扭结及自由旋转,减少链构象变化对声子散射的影响。此外,分子链间的作用力如 π⁃π 堆砌、氢键、静电作用等非共价作用能够强化链间相互作用力,抑制链旋转和扭结,减少单链的 CRF 和提升导热能力。
图 5 链扭结数量对聚合物链导热的影响
3.3.2 链受限
低维纳米材料中的声子传递及声子的 MFP 大小受体系尺寸的限制,在试样尺寸低于声子的 MFP 时声子传递主要受边界散射的影响而产生明显的尺寸效应,表现为导热随试样尺寸的增大而持续升高。在准一维纳米线、纳米棒和纳米管中及二维材料中均发现了导热的尺寸依赖现象。在低维材料中,原本在3 维空间内自由分布的分子链因受到试样的维数和尺寸的限制,被迫沿试样尺寸方向的优先分布而增大该方向分子链的 L 和 Rg,允许沿主链的声子传递可以抵达更长距离,直至被链端缺陷所干扰和打断为止。
分子链的受限效应改变了链段采取的构象和分布状态,从而影响到声子传热。小直径聚合物纤维的分子链因在其他方向的受限效应被迫沿着纤维的径向取向时能够形成高取向度结构,促进声子沿主链传递;而大直径纤维的分子链则因具有较大的自由分布空间而易于形成无规取向和径向取向相互交错结构,呈现出几乎各向同性的声子传递特性,阻碍了沿纤维径向的声子传递而呈现较低导热。例如,非晶聚酰亚胺纤维直径由 20 nm 增加到 160 nm 时 k 由 3.6 W/(m·K) 迅速减小到 0.5 W/(m·K)。
链受限对聚合物纤维和非晶聚合物具有不同的影响效果,非晶 PS 薄膜在厚度 h<Rg 时的导热随 h/Rg 因子增加,即分子链在较强受限或较少缠结情况下因链间的交错结构形成较少的导热通路而降低了薄膜的导热性能。
Allen 将非晶区的热载体依据本质特性划分为 3 类:具有尺寸依赖的长程离域化的类声子传递波(propagons)、无尺寸依赖的短程离域化的扩展振动模式(diffusons)及高度局域化模式(locons);根据计算,diffusons 是室温下主要传热载体,而不是高波长的 propagons,二者的传递方式具有本质不同。
当前并不明确非晶聚合物和非晶无机物的热载体有何异同,但相关研究表明,propagons 对聚合物室温导热的贡献基本为零。因此,结合温度、相态和材料结构,这 3 种模式对导热具有不同的贡献,后两者在非晶结构聚合物中占据了主要地位。
3.3.3 非晶态
非晶无序相对声子散射显著,即使处于纯无定型态,分子链构象仍是影响导热的关键因素。不仅整体非晶相态显著影响导热,即使局域非晶相也对导热有重要影响。高度卷曲和无规缠结分子链的松散堆积造成内部空隙和低密度,引发散射和抑制声子传递,加之链间的弱作用,热传递不再是晶体内的格波模式,而是很慢的扩散传递方式,造成所有原子围绕平衡位置的无序振动和旋转,散射到相邻的分子链,故非晶聚合物的声子 MFP 常低于 10 nm。非晶无机物内部只有纯化学键作用,而非晶聚合物则包含了共价键和非共价键如范德华力、氢键及静电作用等,呈现出局域各向异性的键作用环境,导致实际非晶聚合物的结构对导热的影响更复杂。
3.3.4 结晶
相比非晶结构,晶区的长程有序结构增大了声子的 MFP, 促进了声子导热,根据 k=kawa +kcwc,聚合物的室温导热与晶区导热率 kc 及质量分数 wc 具有线性关系, 也与结晶度成正相关关系。通常,高结晶度利于产生高导热,但前提是晶粒产生取向排列。假如晶粒无规分布,没有很好的取向,则晶区之间的非晶无序区因高界面热阻成为声子散射集中点而导致结晶聚合物低导热值。
图 6b 所示,聚三氟乙烯的导热随结晶度几乎成线性关系,但在 90%结晶度下体系导热仅 0.24 W/(m·K)。为合理解释高结晶度(例如>83%) 聚合物的导热,必须认真考虑其内部的晶区取向、晶区⁃非晶界面以及相区分布等因素。
在一定温度下对热塑性聚合物施加拉伸/ 剪切作用,如图 6a 示意图所示,低拉伸比(λ)会使晶片沿外力方向取向排列,较高拉伸则导致晶区之间的系带分子被拉开而产生取向排列;若继续增大 λ 则晶区和非晶系带分子沿外力发生进一步取向排列和结晶。在高结晶度时系带分子成为连接晶区间的桥梁,形成各向异性的晶体,沿拉伸方向产生很高导热,晶区间的系带分子的数目及取向度明显影响体系的导热。
图 6c 所示,PE 膜在 λ<5 时结晶度和导热分别达 90%和 2 W/(m·K),持续增加 λ=100,结晶度稍微增加,但导热却飙升到 60 W/(m·K)。某些超拉伸聚合物如 PE 纤维的导热甚至高达~100 W/(m·K),表明一定 λ 后虽然结晶度增大余地很小,因为沿外力方向的结晶取向在低 λ 时已达饱和,但是导热却持续增加。
在低 λ 下非晶区比例降低,而高 λ 则改变了非晶区的无序结构,连接晶区的系带分子开始沿主链方向发生取向,导致非晶区的部分导热增大,图 6d 为 PE 在不同 λ 下的理论导热变化情况。研究表明,在 λ=110 时非晶区内无规系带分子发生取向排列,原本低导热非晶区的导热高达 15 W/(m·K),这是拉伸 PE 类薄膜导热在高 λ 后急剧升高的根本原因。因此,在一定 λ 后取向聚合物呈现的阶梯状类金属导热特性为非晶区内形成了具有取向结构的有序分子链所致。
3.3.5 取向
聚合物在加工过程中受到拉伸、剪切作用时分子主链及链节沿外力方向发生的排列现象称为取向。取向是改善聚合物结晶分布和提高无序长链结构有序性的最有效手段,分子链在外力下沿外力方向做最优化取向排列而产生的长程有序结构能明显抑制界面热阻和增大声子 MFP,使得该方向的导热远高于其他方向。
在聚合物纤维的非晶区内存在和本体结构完全一样但又具有一定取向度的无规结构,外力使非晶分子取向而获得更高有序度,因晶畴界面散射贡献主要热阻,而不是声子⁃声子间散射、声子⁃缺陷间散射,故聚合物的非晶结构只能传输低能量的声子。
取向促进了声子在晶区之间的传递,使得声子能够穿越晶畴界面,例如,在取向 PE 纤维结构内经常发现 MFP 高达 200 nm 的声子传输。此外,取向显著提升了拉伸方向的材料模量,提高材料内部的互联程度和密度,降低和消除了孔隙率和各类结构缺陷,故体系的导热大幅提升。
结晶聚合物的取向过程经历了 2 个阶段的结构变化:1)非晶区形成微纤结构,晶区晶片分裂成数个被非晶微纤维夹杂的晶段,2)晶片之间的系带分子从晶块中被拔出,在更高 λ 下发生进一步取向,取向过程中非晶区的无规分子链取向是决定纳米纤维或薄膜导热提升的关键。
拉伸非晶弹性体或玻璃态聚合物时分子链沿外力重排,取向诱导结晶进一步提高结构有序性,如 6a 所示。取向有效改变了分子、链段、晶区、非晶的取向、分布及相态,拉伸速率及 λ 决定着纤维导热。高 λ 和慢拉伸能同步提升纳米纤维的链取向,产生超高导热,λ>400 时候导热可提高 2个数量级。缓慢拉伸使得链段有足够时间进行结构调整和取向,减少了分子链间距和降低非晶区结构无序性。加热拉伸给了链段充足时间形成更高取向度,进一步提升聚合物纤维的导热。拉伸过程随应变增加,来自共价键作用的贡献巨大,而非共价作用对导热贡献变得微不足道,高 λ 使分子主链沿外力方向获得完全取向,最大程度利用了沿主链化学键的热传递优势。
常采用多种手段协同提高分子链的取向度,超高分子量 PE(UHMWPE)粉末溶解后经库艾特方式挤出,再经高倍拉伸取向后的非晶区无规分子链获得明显取向,k 高达 60 W/(m·K)。双轴取向过程中 PE 薄膜在垂直面内方向上形成的互锁串晶(Shish⁃kebab)结构能够将多个 Shish 伸直链晶相连,在纵横方向协同构建了多重声子传递路径,同步提升了薄膜的面内及厚度导热。
3.3.6 分子链间作用
沿主链共价键作用的分子内的热传递效率远高于分子间非共价键作用的,Ohara 模型将对导热的贡献分解为 3 项:原子间的共价作用及非共价作用、分子平流;随链长增加,来自链内共价键作用对导热的贡献单调增加,明显大于非共价作用的贡献。模拟显示,C24H50 烷烃中共价作用对导热的贡献约~50%,非共价作用 ~30%,分子平流 ~20%,表明沿主链共价键对热传递的重要贡献。
而非共价作用一样也对分子链间的传热有相当贡献,这是非晶聚合物和几乎无分子内作用的简单流体和只有纯粹共价键作用的非晶无机物在传热载体和热输运机理上的根本区别。
分子间非共价作用力包括静电力、氢键、范德华力等作用。基于分子间非共价作用可有效调控分子链构象及空间结构,增大分子间非共价作用利于形成分子间的物理连接结构,构筑长程有序结构,促进声子在链间的传递,实现调控导热目的。研究调节链间及链内作用对共混体系的导热性能的影响发现,增大链间作用能有效拉伸分子链,增大 Rg 和热通量,故导热升高。
(a)静电作用力
荷电原子或高度极化原子之间的库仑静电作用增加了聚合物电解质的传热复杂性。利用链官能团之间的库仑静电作用可改变分子链的 Rg 和聚集态结构。例如,PAA 及聚甲基丙烯酸(PMAA)在水溶液中部分羧基电离后,反离子云集在电离离子周围,利用碱中和部分反离子 H+后,带电离子因同种电荷之间的排斥效应致使分子链由无规卷曲线团状舒展开来,形成相互缠结和穿插结构,L 和 Rg 增大,促进了声子沿主链的热传递。
聚合物电解质的取代基和离子的位置不同导致分子链构象如全同、间同和无规立构,从而影响到导热。例如,在高 pH 下离子化的间同和全同立构的 PAA 的导热分别达 1.2 及 0.55 W/(m·K),而间同和全同立构的 PMAA 的导热则分别达 0.69 及 0.48 W/(m·K),归因于同一主链上的侧基间的强静电作用拉伸了主链,增大了分子链 Rg 和强化了沿主链的声子传递。
分子链间的库仑静电作用并不直接贡献聚合物的导热,只是使得相反电荷原子更接近, 增加 LJ(Lennard⁃Jones)作用。从分子尺度看,离子间库仑力使得它们更接近,LJ 作用从吸引过渡到排斥,随电离度增大 LJ 作用势从正变负,在作用势的排斥区域极大提升了聚合物电解质的导热。离子电荷及离子半径影响反离子⁃反离子、反离子⁃聚合物、聚合物⁃聚合物之间的作用力及导热。离子半径对导热影响最明显,随半径增加离子对之间的作用力减少,导热减小。影响聚电解质导热的因素有链构象、pH、离子、主链骨架类型、反离子类型、水含量等,众多因素并非单独影响导热,而是相互交织在一起共同影响。借助 MDS 和机器学习有望揭示聚电解质的导热机理。
(b)氢键
聚合物链侧基官能团之间的氢键作用所起到的软手柄效应能有效抑制链节的内旋转及扭结,减少链构象和增大 Rg,提高分子链规整性和结晶度。例如,尼龙链间的氢键网络诱导分子链规整排列,产生高结晶度,故利用氢键可将聚合物纳米纤维的导热提高 1~2 个数量级。
对单一聚合物,利用双官能团小分子如氨基酸与主链侧基官能团之间的氢键作用可在分子链间构建小分子氢键热桥网络,促进声子在相邻分子链间的热传递。小分子热桥的结构及官能团种类影响到氢键的强度及数目。
对 PVA 或 PAA,两端含不同官能团的小分子比相同官能团小分子更能构筑出有效稠密的声子导热网络。热桥小分子的长度对分子链间声子输运有影响,长度越短则聚合物导热越高。因此,设计合适结构的桥联小分子,基于链间氢键作用的热桥效应能有效调控单一聚合物的导热。
此外,链官能团间的氢键作用能增大分子链 Rg 而改变聚集态结构,提高聚合物的结构规整性。例如,PAA、聚丙烯酰胺、聚苯乙烯磺酸盐因链间庞大数目的氢键作用而拥有相对较高的导热。
对共混聚合物,氢键配体的链结构因彼此间氢键作用形成相互穿插和物理缠结,引起 Tg 和导热变化。例如,PVA/PAA 的导热遵循简单混合规律,而 PS/PMMA 的导热在 Tg 附近达最高值。
刚性短链聚(N⁃烯丙基C5H11N)(PAP)因氢键作用进入长链 PAA 及 PVA的 Rg内,经取向后卷曲分子链被迫舒展开来,L 和 Rg 变大,借助链间构筑的多重氢键网络提升体系的导热,PAA/PAP 及 PAP/PVA 体系的导热最高分别达 1.1 W/(m·K)和 0.4 W/(m·K)。
共混物链间单凭氢键难以有效改善导热,必须配合取向才能协同提升多尺度分子链的有序结构,形成多尺度物理连接网络而提升导热。例如,聚偏氟乙烯 PVDF/PVA 溶胶经电纺丝取向后,基于分子链间的氢键作用,导热高达 2.4 W/(m·K)。共混组分的分子量、共混比对氢键的数量及强度和最终导热有明显影响。
(c)范德华力
分子链间范德华力一方面能限制链节及链段的自由旋转和扭曲运动,提高二面角能而降低热阻,同时链内范德华力使链节发生卷曲而散射声子,这两种竞争效应同时存在。理论研究表明,分子链内的范德华力改变二元混合物中次要组分的链构象,但不改变导热,而增加分子链间范德华力,则主次组分分子链 Rg 变大,促进了沿主链方向的声子热传递,共混聚合物导热升高。
3.3.7 结构缺陷
聚合物内部的缺陷及杂质起到声子散射源作用,是引起导热性能下降的主要原因之一。从声子传递角度讲,缺陷包括了分子水平的缺陷如分子链端、链扭曲、链缠结和无规取向,例如,主链曲结使分子链加捻,急剧减小导热;外部缺陷包括了空隙、各类界面、非晶⁃晶区界面等。
所有的外部及内部缺陷均能引起显著的声子散射,聚合物在取向过程中随取向度增大,分子链的长程结构有序性得到不断改善,极大消除了内部及外部缺陷,例如,相比块体聚合物,聚合物纤维具有超高导热的核心原因在于取向过程消除了各类缺陷。
模拟显示,理论上无缺陷结构的 PE 分子链的导热高达 1400 W/(m·K),而具有结构缺陷的 PE 纤维的超过 300 W/(m·K),但是,目前实验获得的超拉伸 PE 纤维的导热最高约 104 W/(m·K)。理论预测与实际值之间差距暗示消除结构缺陷提供导热的巨大潜力。
原料自身和加工过程引入的杂质如各类异物粒子、液体分子及气泡等,和缺陷一样会引发强烈声子散射而降低导热。例如,气泡的引入会明显降低聚合物的导热性能。
04
影响聚合物导热的其他因素
非结构影响因素主要有密度及比热、电导率、声速、温度、压力及环境因素等,上述因素基于对结构的改变而影响聚合物本征导热。
4.1 密度及比热容
根据简化的非晶材料的最低导热模型:
式中,kB 为玻尔兹曼常数,n 为原子密度,v1 及 vt 分别为纵向和横向声速,导热 k 与原子密度 n2/3 及平均声速 v 具有线性关系。比热容 C=3nkB,根据式(2),C 对聚合物导热 k 的影响与原子密度 n 有关,因此高密度常导致大 Cv 和高 k。
聚合物密度(ρ)与导热 k 在其 Tg 以上有如下关系:k∝ρ4/3。如图 7a 所示,k 随 ρ 增大而升高。由于焓和熵之间的相互竞争影响到分子链的 Rg 参数变化,而 ρ 伴随着主链的 Rg 改变而影响着分子链内的作用,从而改变沿主链方向的热传递和对 k 的贡献。随 ρ 减小,分子链间距离增大而获得更多运动空间,削弱了链间作用力和减少 Rg 而降低 k,这种竞争经常导致 k∝ρ0.9,低于 ρ4/3。而实际上聚合物的 k 与 ρ 的依赖关系更复杂,因为不同分子间的作用力如库仑力(~r-1)、范德华力(~r-6)随原子间距(r)的变大呈现出不同的衰退速率,故 ρ 对分子间热传递的影响到目前实际上并没取得完全一致的观点。
图7 不同聚合物的导热随密度(a)和声速(b)的变化关系
对具有微孔和多孔结构的泡沫聚合物,上述的ρ 对密实结构的聚合物 k 的影响不再适合,因空气的 k 低至 0.024 W/(m·K),显著降低了聚合物导热,故导热主要取决于微孔体积:孔隙率,相当于将空气视为填充粒子的聚合物体系,考虑空气和聚合物的各自导热率,使用适用于填充体系的通用有效介质理论可计算多孔聚合物的导热,这是计算泡沫聚合物导热常使用的理论方程。
4.2 电导率
和绝大多数介电高分子相比,导电聚合物如聚吡咯、聚乙撑二氧噻吩、聚苯胺等除声子作为热载体外,还需考虑到自由电子对传热的贡献。
导电高分子的导热 k 可表达为:
k = ke+kp (3)
ke= L0·σe·T (4)
式中,k,ke,kp分别代表总导热及电子、声子导热,L0 为洛伦茨常数,σe 为电导率,T 为绝对温度。根据公式(3-4),除声子外,自由电子运动贡献了电子导热部分,且 ke 与温度有关。因导电聚合物的传热载体包括了声子和电子,故导电聚合物的导热明显高于仅存声子载体的介电聚合物的导热,与温度及电导率有关。
4.3 声速
声速 v 是除比热容 C 及声子 MFP 之外的另一个影响聚合物导热的重要因素,根据方程(1-2),k与 v具有线性关系,高声速意味着高导热,如图 7b 所示。声速 v 同材料的模量 E 有关:E∝ρv2,因此,高模量的硬材料因高 v 通常呈现高导热,例如,金刚石作为自然界最硬的介电材料具有目前已知的最高导热值~2000 W/(m·K)。
非晶无序结构聚合物的传热载体声子具有很宽的频率分布谱,只有那些高波长声子在低频区的传输速率才被合理地认定是声速,而在中高频率下声子的实际速率是低于声速的。因此,只有在长波声子载体占主体时德拜公式才适合描述聚合物在低温下的导热行为,因为在低于 1K 超低温度下时的比热容 C 很接近于基于声速理论的预测值,而在高温时,声子频率移向高频,相对低频模式则具有较低的声子传输速率。
4.4 温度
导热的温度依赖性是理解聚合物微观热传递机理的关键。低温下所有非晶聚合物的导热行为基本一致,服从 k∝T2,这和非晶无机物在低温下的k∝T0.8 相似,源自具有类似结构的弹性介质能够支撑高波长的声子能量输运。而高温下的聚合物导热则变得多样化,且具有明显的温度依赖性。
温度足够低时主要热载体为比原子特征长度大得多的长波声子,非晶聚合物表现出类弹性介质,此时具体的原子结构对于长波声子传递并不重要,低温下聚合物结构也不造成明显声子散射,非谐性不明显,故结晶与非晶结构内声子传递没有显著异同,晶格的导热服从 k∝T3,声子 MFP 大小由边界散射决定。
在中温 10~200 K 区间,当主体声子的波长小于微观无序结构的特征尺度时,声子的 MFP 则为常数,导热和热容均随温度上升而缓慢增加。在 200K 后导热的温度依赖性随结构变化出现不同,例如,PMMA 及 PVC 的导热随温度而增加,而 PE 和硅橡胶则随温度而减小。同一聚合物因相态结构不同也表现不同的导热温度依赖行为,结晶聚合物的导热行为常类似无机非晶材料如石英、硅等,由于非谐性声子散射增强,导热随温度增加而减少,服从 k∝T-1 关系;而对非晶聚合物,归因于 Tg 以上热膨胀引起的聚合物的密度降低,微布朗运动活跃,分子运动能力增强,引起构象变化如链段旋转和扭结等模式运动,故聚合物的导热 k 降低。
导热随温度的变化趋势因非晶与结晶聚合物的结构差异呈明显异同。非晶导热在 100 K 随温度升高而缓慢增大到 Tg 附近出现达最大值,之后随之下降,而非晶聚合物导热则与 Tg 有关:
在 Tg 附近原本冻结链段被解冻成为声子散射集中点而降低了声子的 MFP。结晶聚合物的导热对结晶度变化并不敏感,不同结晶度也呈现出现截然不同的温度依赖关系。例如,高结晶(>70%)聚合物的导热随温度上升到熔点 Tm 附近达最大值,之后则随之下降,与比热容密切相关。低结晶度(<40%)聚合物的导热取决于非晶部分的导热率,随温度升高缓慢增大到 Tg 附近出现最大值,之后随之下降。
导热聚合物的工程应用受制于相变温度如 Tg、Tm 等,如图 3 所示,温度对链结构稳定性及导热的影响最大。低于Tg 时链段运动被限制,而在高于 Tg进入橡胶态,链段发生运动和旋转,结构无序性增大,沿主链方向的声子散射加剧,声子的 MFP 明显减小,显著降低聚合物的导热。
4.5 压力
压力通过改变密度而对聚合物的导热产生影响,压力的影响主要体现在降低了聚合物内部的自由体积,使得分子链堆积更紧密,减少了内部结构缺陷和热阻,加快了沿分子链方向声子输运,故聚合物导热增加。热塑性聚合物的导热对压力比较敏感,持续增大压力至界点后,自由体积达最低值后则压力对不同聚合物的导热影响趋于相同。交联固化聚合物的导热对压力不甚敏感,只在低交联度时随压力增加稍有增加。
4.6 环境因素
环境因素诸如水分、核辐射、物理老化等均会对分子链结构造成影响而改变聚合物导热。水分对聚合物的导热影响比较复杂,取决于水分是否改变分子链的聚集态结构,如溶解、溶胀及对官能团的影响等。水分子的导热 k 约 0.6 W/(m·K),远高于空气的 0.024 W/(m·K),通常,不发生反应情况下吸附进入聚合物内部的水分如果占据原本空隙的空间则会提高聚合物的导热。
暴露于核辐射环境下的聚合物的导热随辐射剂量和温度发生改变,轻度辐射的 PE 的导热随温度升高(<Tm)而降低,低辐射量轻微改变 PE 的导热,而高辐射量则大幅降低其室温导热,在 <Tm 时聚合物的导热减少源自辐射引起的结晶度降低,而在高于 Tm 时聚合物导热的升高则归因于辐射诱导形成了密实的交联结构所致。
物理老化影响主要体现在对分子链结构的改变上,取决于不同老化条件对分子结构的影响结果。例如,在 Tg 以下聚合物非晶区处于非平衡态,长期低温处理的物理老化会减少分子链的结构无序性及链间距,非稳定结构逐渐趋向于平衡稳定态,沿分子链的声子热传递增强。
05
本征导热聚合物的制备策略
导热高分子材料的制备方法基本分为 2 类:自上而下(top-down)法和自下而上(bottom-up)法,前者主要采用力学拉伸、剪切、静电纺丝等改善分子链的有序取向结构,电场及双官能团有机分子增强链间作用,以及使用分子晶体、液晶辅助调控和提升聚合物导热;而后者则是在聚合或交联过程中借助于模板、分子间力、外场等手段控制反应性单体的有序或定向聚合,实现调控最终聚合物的导热目的,如模板辅助定向聚合、致晶基元的自组装及取向调控等方法。
5.1 自上而下法
5.1.1 力学取向
拉伸取向是最为广泛使用的方法,拉伸能有效提高聚合物的取向度及结晶度,如 PE 在 λ=200 时沿拉伸方向形成了由伸展分子链构成的针状晶体⁃晶桥结构,导热高达 37 W/(m·K);而在 λ=400 时形成的高度取向结构使声子以类弹道方式传输,导热飙升至 104 W/(m·K),媲美某些金属的导热性能。
聚合物在注射、挤出、模压、离心、旋涂等不同方式的加工过程中,剪切力使分子链沿外力方向发生取向,产生的各向异性结构影响到聚合物的力、热、电等性能。例如,Li 等采用固态挤出工艺制备的 UHMWPE 块体试样沿取向方向形成了包括圆柱状晶体、单斜晶及高取向晶片的多种晶体结构,呈现出高模量及强度、高导热(3.3 W/(m·K))。
以旋涂法制备的聚 3⁃己基噻吩膜经剪切流动诱导产生各向异性取向结构,随取向度增大导热最高达 3.8 W/(m·K) 。结晶聚合物的非晶无序结构部分在取向过程中诱导形成结晶,提高了原本无序区的取向度和结晶度,这是高拉伸纤维和膜导热急剧升高的主要原因。
5.1.2 纺丝法
纺丝法包括静电纺丝、熔融纺丝、凝胶纺丝,湿法及干法纺丝等工艺,静电纺丝因为相对小的批次性能变化、易于控制等优势应用最广。高压电场引发的定向拉伸及剪切效应诱导分子链取向,减少了纤维直径和提高晶体取向,极大改善了纤维的导热。
例如,UHMWPE 的折叠分子链在凝胶纺丝过程中经高倍拉伸变成了几乎由伸直链构成的高取向结晶,增大了轴向的力学强度、模量及导热,在 λ=125 时纤维的结晶度和导热分别高达 99%和 16.4 W/(m·K) 。由静电纺丝获得的非晶聚酰亚胺取向纤维再经热压成膜,借助纺丝诱导的轴向链取向和链间 π⁃π 作用维持的有序结构显著协同提升了 PI 膜的导热。
5.1.3 电场调控
声子工程聚焦于从原子尺度来调控热传递,利用铁电聚合物如 PVDF 对外电场的灵敏极化响应可以改变分子链间作用力而实现调制导热目的。铁电聚合物在高压电场下的强极化作用能够增强分子链间相互作用而提升链间晶格的有序度,从而提升声子群速,抑制链间声子散射而提升导热。
图 8 所示,未极化 P(VDF⁃TrFE)膜的导热约 0.16 W/(m·K) ,与温度无关,而在 80 MV/m 场下极化后的 P(VDF⁃TrFE)膜沿极化方向的导热增加到 0.52 W/(m·K) ,提升了约 225%,且导热具有负温度系数。基于电场调控铁电聚合物的导热策略的主要优势在于可在各个方向上改变聚合物的导热,具有操作简捷迅速、成本低优势。
5.1.4 有机分子/液晶基元
利用有机小分子晶体、液晶分子基元自组装晶畴可提升聚合物的导热,而基于双端官能团有机分子基于氢键作用在分子链间的物理桥联作用可明显增强链间作用和提升聚合物导热。
将丁二酸、戊二酸、己二酸等有机小分子混溶于PVA 溶液中,溶剂挥发过程中有机小分子开始形成形态各异的分子晶体,借助有机分子晶体和 PVA 链间氢键作用, 通过刮涂、 旋涂等方式获得沿取向 PVA 链分布的长程有序有机分子晶体构筑的声子通路可提升 PVA 膜的导热。
在 PVA、PAA 溶液内引入有机液晶基元,在聚合物成膜过程中借助离心取向作用及液晶基元的自组装液晶畴与 PVA 分子链间的非共价力来调控液晶畴在 PVA 内的空间分布,可增强薄膜的导热及其他性能。
利用含两端含相同/ 异同双官能团结构的二元有机酸、醇与 PVA、PAA 等分子的主链、侧基的官能团之间的氢键作用可在分子链间构建出基于小分子氢键的物理热桥网络,从而促进声子在相邻分子链间的热传递。双官能团小分子的化学结构及官能团种类影响到氢键的强度及数目,对聚合物的导热具有调控作用。
5.2 自下而上法
5.2.1 模板辅助聚合法
依靠模板辅助定向功能进行的聚合是一种制备结构可控高分子的有效方法,基于模板的辅助定向功能使聚合后的分子链产生有序结构,从而提升导热性能。例如,以纳米模板辅助聚合获得的非晶聚噻吩纤维的轴向导热高达 4.4 W/(m·K) ,是当前非晶聚合物的最高导热值。借助于特殊模板的定向辅助作用和紫外光快引发,C₃H₄O基液晶单体在聚合后的分子链呈现明显的取向结构,沿主链取向方向的导热最高达 0.69 W/(m·K) 。
5.2.2 氧化化学气相沉积聚合
氧化化学气相沉积(oCVD)聚合不使用溶剂,在催化作用下可在任意基底如玻璃、Si 表面实现气相单体的逐步生长聚合,利于调控分子链的结构和性能。Chen 等以 FeCl3 为催化剂,采用 oCVD 在玻璃及 Si 基底表面实现噻吩的气相定向聚合,借助oCVD 聚合诱导的有序刚性主链结构及链间噻吩基团 π⁃π 堆砌效应协同构建链内及链间多重声子导热网络,所得非晶聚噻吩的导热高达 2.2 W/(m·K)。
5.2.3 反应性液晶分子
液晶环氧、有机硅等单体分子借助其致晶基元之间的 π⁃π 堆砌效应自组装成具有取向排列的高阶近晶型或向列型的超分子结构,即液晶畴,自组装超分子的反应性官能团经固化剂凝胶固化在交联网络内引入了有序液晶畴结构,从而提高了原本无规固化网络的结构有序性,基于液晶畴在交联网络内的空间分布可有效抑制声子散射、增大声子传递和MFP,故呈现出宏观各向同性的导热。
图 9 所示,侧链含联苯氰基致晶基元的环氧依靠致晶基元自组装形成的有序晶畴为声子通路可以提升固化环氧的导热。含致晶基元的液晶分子在聚合后未必一定具有高导热,提升导热的核心在于优先完成液晶分子的自组装,随后进行化学交联反应将液晶畴锚定在网络内,有序物理自组装过程与无序化学交联反应之间的竞争取决于液晶温度与固化剂的凝胶温度大小。
采用外磁场、电场诱导自组装液晶畴沿外场实现取向排列而产生各向异性的导热行为,经交联反应在固化网络内构筑出微尺度有序结构为声子传递路径而提升导热,外场诱导液晶畴取向则是当前导热交联聚合物的研究热点。
例如,将以二苯乙炔致晶基元为核和柔性硫醇脂肪链为尾的液晶分子首先完成叠层自组装,在外电场下经取向和聚合后的薄膜导热达 3.56 W/(m·K)。利用磁场的诱导效应,自组装液晶畴更易形成比无磁场下的向列型结构更为规则的近晶型液晶结构,进一步提升固化液晶环氧的导热。
06
结论与展望
近年来,本征导热聚合物的探索取得了一定进展,但迄今为止,还未能够深刻全面诠释聚合物的传热物理机制,复杂无序聚合物结构给不同尺度下传热机制的探索带来了巨大挑战。本文综述了当前本征导热聚合物研究进展,分析和讨论了影响聚合物导热的结构及其他因素,阐述了导热聚合物的制备方法及策略,提出了未来在传热机制、结构与性能及宏量制备等方面面临的挑战。
当前研究中仍存在如下几个关键问题待解决:1)聚合物热传输的深层次物理机制,2)本征导热模型构建,3)多尺度分子链结构对声子热传递的协同影响机制,4)聚合物分子链的拓扑几何结构变化对导热的定量调控机制,5)本征导热聚合物的低成本宏量制备新技术研究,未来研究主要围绕上述问题展开。
借助分子模拟、分子传热理论和机器学习工具,首先从原子及分子水平阐明聚合物的热传递物理机制及多尺度分子链结构对声子导热的影响机理,系统构建出聚集态结构与聚合物导热关系的理论框架。
面向宏量制备及工业应用,热固性导热聚合物的制备重点聚焦于设计不同结构形态的致晶基元,基于调控自组装液晶畴在交联网络内的空间拓扑结构来同步提升导热及电绝缘性能。热塑性导热聚合物应聚焦借助取向和链间非共价作用协同构筑从分子⁃介观⁃宏观的多尺度有序结构,同步实现高绝缘导热性能,最终实现工业化应用。
本征导热聚合物同步集成了高导热、卓越电绝缘、优良力学强度及柔韧性、光学透明等综合优势,随科技发展,兼具优异辐射制冷性能、疏水、透气性、智能等新型功能的导热聚合物将为可穿戴冷却微电子产品提供新机遇。
随着对聚合物热传输机理的深刻理解及制备新方法的不断突破,在不远的将来,导热高分子凭借其综合的独特性能将在许多现有的和新兴的领域发挥越来越重要的作用。
参考文献 略
END
工程师必备
- 项目客服
- 培训客服
- 平台客服
TOP




















