应用无损检测技术剖析纤维排向效应与射出成品几何变化之关联性
更新于2023年11月6日 09:22■淡江大学化学工程与材料工程学系 / 黄招财教授
摘要
近年来为了减少化石燃料汽车排放问题,采用纤维强化塑料(Fiber reinforced thermoplastics, FRP)制备汽车零组件,藉由汽车轻量化后提升燃油效能,改善排放问题。然而,纤维强化塑料在经历复杂的射出成型制程中,纤维到底如何产生强化机制,此等机制如何由内而外,或者由外而内可以被适当地量化,甚至调控,目前并未完善。再者,此等强化机制又会如何影响射出成品的几何变化,至今仍不完全掌握。
为此,本文利用一个具有三种不同进浇型态的复合几何模型,运用虚拟之无损检测技术模拟分析来研究不同流场区域(从靠近浇口到充填结束区域)纤维排向如何变化,接着透过实际之射出成型制程,加上微电脑断层扫描与图像处理(实际无损检测技术)进行射出成品内在之纤维排向实务解析与验证。之后,再深入观察射出成品在不同流场区域所展示之几何变形结果,进一步建立纤维排向变化与射出成品几何收缩变形之关联性。结果显示,透过数值仿真分析与微电脑断层两种无损检测技术所获得之纤维排向特性相当吻合,特别是在充填结束区域(end of filling region, FR)时,原先在平行流动方向之纤维排向张量(A11)会迅速减小,同时在垂直流动方向(A22)及厚度方向之纤维排向张量(A33)会增强;此等之纤维排向张量变化驱使A11与A22产生交错现象,进而导致垂直流动方向主导,明显改变纤维排向特性。此等微结构特性变化,可经微电脑断层扫描与图像处理技术获得证实。
另外,透过射出成品之几何收缩变化探讨发现,在靠近浇口区域(near gate region, GR),成品之几何外观收缩呈现左右对称收缩,而且在流动方向收缩变化最小,甚至膨胀,此部份主要因为平行流动方向纤维排向张量A11主导该区域所致。然而,在充填结束区域(FR)时,流动方向抵抗收缩贡献度明显减小,在此同时垂直流动方向与厚度方向之抵抗收缩贡献度相对增强,导致成品呈现收缩左右不对称之外观,此现象主要是由内在之纤维排向张量由平行流动方向转至垂直流动方向及厚度方向所致,此等结果能透过无损检测技术明确证明纤维排向变化与射出成品几何收缩变化有相当一致之关联性。
前言
由于地球暖化问题越来越严重,温室气体的排放被认定是造成地球暖化问题最主要的原因之一,其中根据美国环保署近年来的调查发现,最主要的温室气体排放来源之一为燃烧化石燃料之交通运输工具所造成[1],为减缓此等问题,过去几年许多国家都努力投入汽车轻量化技术,思考让汽车总重量减轻,提升车驾效能并减少排放,此等做法也同样有利于现代及外来电动车的运行。
再者,想要达成汽车轻量化技术主要是利用塑料复合材料来制作部份之汽车零组件,透过以塑代钢让整体重量减轻。此等塑料复合材料的常见相关技术,包括:
l 将非连续式纤维与热塑型塑料,利用射出制程制作成品;
l 将非连续式纤维与塑料,利用挤压制程制作成品;
l 将连续式纤维先编织排列,再利用热固型塑料灌制固化制作成品[2-4]。
不论哪一种制程,理念上都希望纤维在熔胶内能够均匀分散,进而提供复合材料构成之产品有一定强度与韧性[5-6]。然而,纤维在此等成品中到底如何扮演好增强材料特性之角色,常常受制于纤维在熔胶中如何排列,但此等排列非常不容易观察与确认。
一般而言,经历三十年的努力,目前要了解纤维在熔胶中的排列方式,一方面可透过理论分析虚拟现实方式来进行推估与预测,此等学理较有系统Folgar and Tucker[7]提出了短纤维排向预测理论,之后Advani等人[8-9]持续强化理论模型用来推测短纤维之排向与其效应。透过此等理论模型的帮助,让近代产学界对于纤维强化塑料射出成品的设计开发有了良好之指引[10-11]。
然而,如同Thomason[5]建议,足够长度之纤维是确保冲击强度需求之基本要求,因此在实务上如何将长纤维导入高分子材料内,并且在经历高温高压的射出制程后仍能保有一定长度,以及长纤维微结构如何影响,不论从学理预测或是实验观察,都非常挑战。为了进一步探究长纤维强化塑料之微结构性质,有许多学者陆续提出Anisotropic Rotary Diffusion(ARD) model[12],Reduced Strain Closure(RSC) model[13-14]。但是此等数值理论模型需要许多额外参数,使用上非常复杂。为此,Tseng等人[15]进一步提出iARD-RPR数值理论模型,简化模型参数,并导入于商用软件Moldex3D软件中,也成功展示于长纤维射出成型产业应用中[16]。
另一方面,纤维在熔胶中的排列方式也可透过实际之实验观察,包括:可透过破坏性之光学法,利用将样品切割/抛光/SEM或TEM显微镜方式进行检测[17-18];或是透过计算机断层扫描(CT scan)/图像处理之无损检测技术来达成[19-20]。其中采用光学法需利用减法方式将样品逐一抛除,再利用光学显微镜进行样品表面特性表征,再撷取影像进行处理判断,此法影响准确度之参数很多。另外,利用计算机断层扫描(CT scan)及图像处理之无损检测技术着要是让样品透过三维之计算机断层扫描广泛地搜集内在的微结构特征,再利用图像处理技术进行微结构特征之评估与分析,此方法是否足够精确与断层扫描的条件给定,以及后续图像处理技术优异与否很有关系。然而,不论利用理论分析或是实验观察所得之纤维排向,除了要面临如何评估其准确性与否外,此等排向到底如何与加工制程引发之产品几何变化有一定关联性,至今并没有完整的解决方案。特别是复合材料内在纤维排向变化如何进一步影响射出成品之几何收缩变形之关联性,也就是如何具体体验纤维排向变化,就作者所知,目前仍非常稀少[21-22]。
为此,本篇文章将先详细说明如何透过无损检测技术(包括:虚拟现实之CAE仿真分析技术,以及透过计算机断层扫描(CT scan)/图像处理之实务技术)掌握非常复杂且不易观察检测到之纤维排向微结构特性变化。接着,再从射出成品之几何尺寸之量测与分析,掌握成品巨观变形的趋势与量值。之后,进一步整合纤维排向微结构特性变化与巨观变形的关系。透过此等作动展现无损检测技术如何协助产业朋友能够看透复杂之纤维排向微结构特性,与其具体之影响。
理论背景
此研究中,纤维强化热塑性塑料材料(Fiber reinforced thermoplastic, FRP)假设为不可压缩之牛顿流体。此等塑料在射出成型制程中所产生之三维流动系统,将以下列之主控方程式(Governing Equation)及纤维微结构之数学模型进行表示。
高分子熔胶流场模型
其中u是速度向量;T是温度;σ全应力张量(total stress tensor);τ应力张量(extra stress tensor);g重力加速度;t为时间;P是压力;ρ是密度;k为热传导系数;Cp为比热;D应变速率张量。
另外,针对高分子熔胶在不考虑流动与纤维耦合作用下,其应力张量可表示如下:
其中η为高分子熔胶之剪切黏度。
再者,高分子熔胶之剪切黏度将随温度变化情况,可表示如下:
以及
其中n为power law指数;h0是指零剪切黏度(zero shear viscosity);t*是指零剪切至power law剪切之过渡区域应力张量。
纤维排向模型
在FRP熔胶中,每一根纤维可被视为具有刚性的轴对称硬棒,而其单位向量为p,沿轴向可描述纤维排向,
其中,ψ(p)为定向空间上的概率密度分布函数。A4为四阶方向向量,其定义为:
此张量恰巧为一对称张量,为了处理这个复杂的张量系统,Tseng等人[15]提出了一种新的纤维排向模型,结合Jeffery的流体力学(HD)模型,即为iARD-RPR模型:
详细RPR模型及iARD模型可见于[4]
其中,W是涡度张量,D为应变速率张量,ξ是单一纤维的形状因子。
射出成型系统之模型与信息
仿真分析之模型与信息
图1a为本研究之产品几何模型,此产品外观尺寸为400 mm × 165 mm × 3 mm,内含有三个不同进浇方式的ASTM D638标准拉伸试片(试片尺寸为172 mm × 20 mm × 3 mm),分别是(I)侧边入料之模型,(II)直接入料之模型,以及(III)双边入料之模型。图1b则为模座及冷却水路。为了探索流纤维排向微结构变化,特别是将每一个标准拉伸试片再分成三个区域,分别是为靠近浇口区域(Gate Region, GR),中间区域(Center Region, CR)以及流动末端区域(end of Filling Region, FR),并在每个区域再安置多个量测节点,以确定能详细搜集各项可能影响产品之因子,如图2所示。再者,射出成型制程主要之操作参数为充填时间为1.49秒,保压时间为5秒,冷却时间为15秒,其他相关参数如表1所示。至于所使用之材料,主要为含3mm之短纤维复合之聚丙烯材料(由李长荣化工公司供应)。
图1a:具有三个不同浇口设计之几何模型
图1b:模座及冷却水路布局
图2:量测节点位置定义。其中x为熔胶流动方向;y为熔胶垂直流动方向;z为产品厚度方向
表1:射出成型制程之操作条件设定
实验设备与信息
图3a为实际所使用的射出机台型号CLF-180TXL,此机台为全立发机械厂股份有限公司所开发之特殊长纤机台。图3b为模座及冷却水路布局。再者,射出成型主要之操作条件与材料,皆与数值仿真系统相同。另外,后续为了解纤维排向如何变化与影响,将利用微电脑断层扫描(micro-CT)技术进行扫描,此部分主要由工研院材化所Multiscale X-ray CT实验室,利用Bruker Skyscan 2211系统所提供之技术。
图3:实验设备。(a)长纤射出机台,型号为CLF-180TXL;(b)模座及冷却水路布局
再者,对于虚拟损检测技术纤维排向的模拟分析方法,主要是透过Moldex3D软件进行,其中为能精确掌握量测点空间位置,特别利用混成网格方式进行空间离散,如图4所示。应用此等网格档,在搭配Moldex3D软件项目建立与分析执行即可顺利完成虚拟式的无损检测技术剖析纤维排向效应。
图4:产品各区域所使用之网格类型
另外,对于实际无损检测技术执行纤维排向的观察与量化流程,如图5所示。该作法为先将样品(以模型I为例子)分为三个扫描区域,并标记为黑色。每次只扫描一个区域,之后将待测区域置入Bruker Skyscan 2211进行样品之微电脑断层扫描(称为CT scan)以获取内部图像,再将获取数以千计之图像利用Avizo软件技术进行3D重建为具有纤维分布之模型,如图5a所示。之后,再应用Avizo软件内部之XFiber功能进行内部有纤维微结构的估算,完成纤维排向特征之量测与分析,如图5b所示。之后,每一根纤维都可被个别截取并且确认其空间坐标,如图5c所示。
图5:实际进行纤维排向的观察与量化流程图。(a)执行显微CT扫描以获得样品模型内部影像的程序;(b)执行影像分析以获得相关纤维排向分布;(c)红色线条代表单一根纤维
结果与讨论
应用无损检测技术进行纤维排向之预测与验证
为了解射出产品熔胶内之纤维排向变化,此处利用两种无损检测技术作为探讨之依据,一方面利用Moldex3D®软件执行仿真分析预测,另一方面,将实际射出成品透过微电脑断层扫描进行内部影像拍摄,再利用Avizo®软件进行图像处理与分析,结果如图6至图8所示。其中,图6a为模型I在B3量测点时之纤维排向张量模拟分析预测之结果。此结果显示在接近浇口区域(GR),纤维排向张量主要由平行流动方向之分量A11所主导。图6b为利用微电脑断层扫描及图像处理分析后之实验结果,此结果显示虽然纤维排向张量绝对量值与模拟分析预测结果并非完全相同,但是纤维排向张量与模拟分析主要由平行流动方向之分量A11所主导之趋势相当一致。
图6:模型I在B3量测点之纤维排向张量微结构特征。(a)模拟分析结果;(b)实验结果
接着探讨模型I之E2量测点(CR区域)时,比较仿真分析与实验结果,发现模拟分析结果与实验结果趋势与量值相当一致。此时,因变化不明显,此处没有展示图片。另外,当我们移至模型I之H3量测点(FR)时,图7a显示仿真预测纤维排向张量结果,其中在平行流动方向纤维排向张量A11在皮层区域会从0.65增加到0.8,但是到了芯层中间区域时却降至0.3,而A22分量由低点0.15增加到0.6,此处产生A11与A22分量交错现象,显示纤维排向张量在芯层区域改由垂直流动方向之纤维排向分量A22所主导。再从实验之结果观察,如图7b所示,可以发现模拟分析结果与实验结果之变化趋势相当吻合。此处可以进一步推论:当熔胶进入产品充填末端区域(ER)时,此时剪切作用力已经变得很小,而熔胶流动与纤维间的耦合效应变得相对明显,此等作用会进一步推动纤维朝垂直流动方向运动。在此区域可明显感受到熔胶流动与纤维间的耦合之效应。
图7:模型I在H3量测点之纤维排向张量微结构特征。(a)模拟分析结果;(b)实验结果
另外,我们也很好奇,同一条件下射出之模型II成品,其内在之纤维排向是如何变化呢?当我们观察模型II之B3位置(GR区域)及E2量测点(CR区域)时,可以发现如同模型I所观察到之现象,模拟分析结果与实验结果趋势一致(此处没有展示)。再者,当我们移到模型II之H3量测点(FR区域)时,如同在模型I所见,图8a显示平行流动方向纤维排向张量A11会在芯层中间区域急降,而且会产生A11与A22分量交错现象,显示在芯层区域纤维排向张量主要改由垂直流动方向之纤维排向分量A22所主导。再从实验结果观察图8b,可以发现实验结果模拟分析结果趋势相当接近。
图8:模型II在H3量测点之纤维排向张量微结构特征。(a)模拟分析结果;(b)实验结果
纤维排向变化与产品几何变化关联性探讨
此处进一步探索纤维排向变化与产品几何变化关联性,针对产品巨观特性变化,我们进行许多面向的思考,最后决定采用射出成品之各个边长收缩变化作为评估与比对之标准。为此,我们在每一个区域之量测点利用无损检测技术逐一完成纤维排向张量之模拟分析与实验观察。图9是靠近浇口区域并从B1至B5纤维排向张量变化情形,此处先从模拟分析结果观察平行流动方向纤维排向张量A11,它会先从单波峰型态,演化最后形成双波峰型态,而且在此区域由平行流动方向纤维排向张量A11主导全局;再者,垂直流动方向纤维排向张量A22,先从单波谷型态展示,演化成具有微量之双波峰型态。接着再从实验结果观察,从平行流动方向纤维排向张量A11及垂直流动方向纤维排向张量A22之型态变化,与仿真分析结果还算吻合,而且平行流动方向纤维排向张量A11主导全局,整体变化趋势模拟分析也一致。
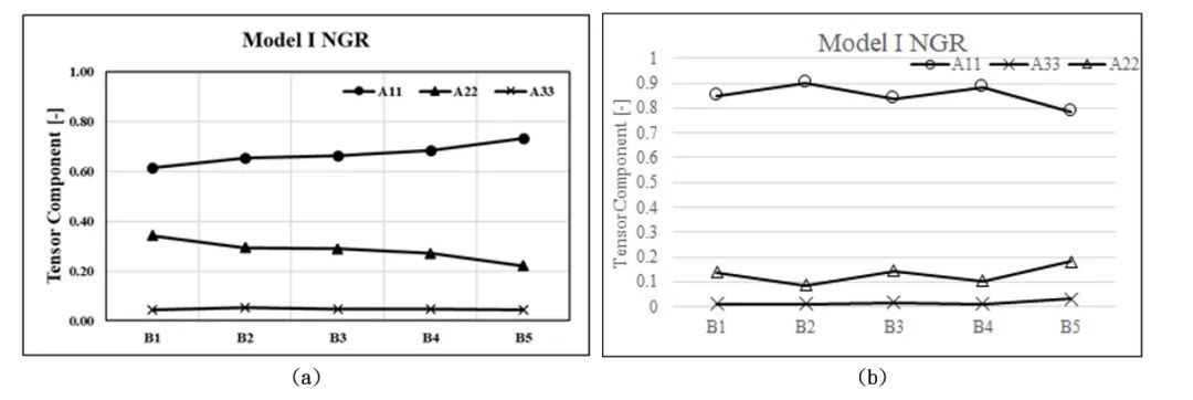
再者,除了详细解析每一个量测点之纤维排向张量以外,也针对每一个量测点所分析量测之纤维排向张量进行平均,再将该点所得之纤维排向张量A11、A22、A33与流动方向空间位置作图,结果如图10所示。从B1至B5模拟分析结果发现,平行流动方向纤维排向张量A11从0.6逐步增加至0.7;垂直流动方向纤维排向张量A22从0.3逐步减少至0.2;而厚度方向之纤维排向张量A33保持在0.05左右。另一方面,图10b为实验结果显示,平行流动方向纤维排向张量A11从几乎都维持在0.8至0.9间震荡;垂直流动方向纤维排向张量A22则维持在0.15至0.2间震荡;厚度方向之纤维排向张量A33几乎没有变化。虽然实验变化趋势,没有与模拟分析完全一致,但在此区域间,平行流动方向纤维排向张量A11主导此区域之纤维排向特性是相当一致。
图9:模型I在靠近浇口区域(GR)时,纤维排向张量之模拟分析与验证结果之比较
图10:模型I从B1到B5,纤维平均排向张量之结果比较。(a)模拟分析结果;(b)实验结果
接着,图11是以靠近浇口区域(GR)为例,用以定义射出成品几何边长收缩变化关系,其中图11a的x为流动方向,y为垂直流动方向。此时四个边界分别是上侧(Lx)U、下侧(Lx)D、左侧(Ly)L、右侧(Ly)R;另外,在图11b中z为厚度方向,上侧(Lx)U、下侧(Lx)D、左侧(Lz)L、右侧(Lz)R。利用此等定义,再针对纯料PP(称为PP)以及含纤PP(称为30SFPP)材料进行比较,从表2得知,当使用PP材料时,射出成品之6个边都产生收缩。整体结果在平行流动方向收缩较小,而且每一组对称边(比如:上侧(Lx)U及下侧(Lx)D为一组;左侧(Ly)L及右侧(Ly)R为一组;厚度方向左侧(Lz)L及右侧(Lz)R为一组)收缩变化呈现对称收缩。再者,当改用30SFPP材料时,射出成品之6个边变形差异明显,比如:在流动方向上侧(Lx)U及下侧(Lx)D约呈现膨胀2.75%,若与PP材料系统相比,收缩改善率3.25%。再由垂直流动方向来观察,30SFPP材料系统之左侧(Ly)L及右侧(Ly)R约收缩2.0%,对比于PP材料时约改善1.25%之收缩。再从厚度方向探讨,30SFPP材料系统之左侧(Lz)L及右侧(Lz)R约收缩3.0%,对比于PP材料时约改善0.3%。从此等结果并与图10相比较得知,平行流动方向纤维排向张量A11所远大于其他两个方向,因此强化之作动最明显,故射出成品内之纤维排向与射出成品之收缩变形有相当一致之关联性。
图11:以靠近浇口区域(GR)为例,用以定义射出成品几何边长变化关系。(a)为xy-平面,其中x为流动方向,y为垂直流动方向;(b)z为厚度方向
表2:模型I在靠近浇口区域(GR)产品外部几何收缩变化情形
再者,当转到充填结束区域(FR)时,图12是靠近浇口区域并从H1至H5纤维排向张量变化情形,先从模拟分析结果(图12a所示)可以发现平行流动方向纤维排向张量A11,会从H1之最高值逐步下降,最后在H5降为0.43;反之,垂直流动方向纤维排向张量A22,会从H1之最低值最后上升至0.43;而厚度方向纤维排向张量A33,从最低值上升至0.15。再从实验结果观察(图12b所示),其中平行流动方向纤维排向张量A11会从H1之最高值逐步下降至最后H5为0.3;垂直流动方向纤维排向张量A22,会从H1之最低值上升至0.6;而厚度方向纤维排向张量A33,先从最低值上升至0.1。整体而言,模拟分析与实验观察变化之趋势相当一致,特别是在H4至H5最后一小区,平行流动方向纤维排向张量A11将转化成垂直流动方向纤维排向张量A22及厚度方向纤维排向张量A33。
接着,从射出模型I成品之充填结束区域(FR)收缩变形情况来探讨,如表3所示。当使用PP材料时,射出成品之6个边都产生收缩。整体结果仍是流动方向收缩较小,而且每一组对称边几乎呈现对称收缩。再者,改用30SFPP材料时,射出成品之6个边变形差异很大,特别是左侧及右侧两边呈现收缩不对称,比如:在流动方向上侧(Lx)U及下侧(Lx)D约呈现收缩0.4%,若与PP材料系统相比,该等边长收缩改善率2.1%;再由垂直流动方向来观察,30SFPP材料系统之左侧(Ly)L收缩3.24%,对比于PP材料时,约改善0.62%之收缩,但在右侧(Ly)R收缩为1.5%,对比于PP材料时,收缩改善提高至2.5%,此处明显发现左侧及右侧两边呈现收缩不对称现象,此时再由图10得知,垂直流动方向纤维排向张量A22在H5远大于H1,此等左右不对称垂直流动方向纤维排向张量是引导此等左右侧两边呈现收缩不对称现象之主因,特别是左侧收缩大,右侧收缩小。另外,在厚度方向再次发现左侧及右侧两边呈现收缩不对称现象,如同前述,此等不对称收缩现象主要来自厚度方向纤维排向张量A33在左右两侧分布不对称所引导。所以,透过射出成品之收缩变形结果与纤维排向变化情况,可以证明纤维排向效应确实与射出成品几何变化有相当一致之关联性。
图12:模型I从H1到H5,纤维平均排向张量之结果比较。(a)模拟分析结果;(b)实验结果
表3:模型I在充填结束区域(FR)产品外部几何收缩变化情形
再者,转移至模型II时,我们发现在GR及FR区域,纤维排向张量变化情况与模型情况非常相似,整体而言,在GR及FR区域时30SFPP材料系统之收缩量都远小于PP材料系统,如同模型I所得结论,平行流动方向纤维排向张量A11所远大于其他两个方向,因此强化之作动最明显,故射出成品内之纤维排向与射出成品之收缩变形有相当一致之关联性。另外,在FR区域时,也会明显发现左侧及右侧两边呈现收缩不对称现象,此等左右不对称是因垂直流动方向纤维排向张量引导此等左右侧两边呈现收缩不对称现象之主因,特别是左侧收缩大,右侧收缩小。另外,在厚度方向也在左右侧两边呈现收缩不对称现象也是由纤维排向张量在左右两侧分布不对称所引导。所以,透过射出成品Model II之收缩变形结果与纤维排向变化情况,可以再次证明纤维排向效应确实与射出成品几何变化有相当一致之关联性。
结论
此篇文章主要应用无损检测技术剖析纤维排向效应,先藉由有系统之仿真分析与CT-scan暨图像处理技术,成功进行深入探索纤维复合射出成品之纤维排向微结构特性,并且完成确认。再者,透过采用PP与含纤维30SFPP材料系统进行比较,结果显示在靠近浇口区域(GR),成品之几何外观呈现左右对称收缩行为,而且在流动方向收缩变化最小(甚至膨胀),此部份主要因为平行流动方向纤维排向张量A11主导该区域所致。然而,当观察区域转至充填结束区域(FR)时,特别是仔细探索充填最后区块(标示为H1到H5)时,抵抗射出成品收缩方向之作动力方向,很明显地转至垂直流动方向与厚度方向,导致成品呈现左右不对称收缩之外观,此现象主要与纤维排向由平行流动方向转至垂直流动方向及厚度方向所致。整体结果可以证明纤维排向变化效应与射出成品几何收缩变化有相当一致之关联性。
本文由淡江大学 化学工程与材料工程学系 黄招财 教授、王钧正、蔡孟哲;成功大学 机械工程学系 黄圣杰 教授;逢甲大学 机械与计算机辅助工程学系 彭信舒 副教授、黄柏维;全立发机械厂股份有限公司 杜俊毅、许暐勋共同编撰。
感谢志
本文作者非常感谢国科会多年之经费支持(计划编号:MOST 110-2221-E-032 -015 -; MOST 108-2221-E-032-013-MY2; MOST 107-2622-E-006 -024 -CC1) 。
参考文献因字数原因故省略
文章摘录自ACMT SMARTMOLDING2023/9月刊
工程师必备
- 项目客服
- 培训客服
- 平台客服
TOP




















