首页
学院
直播
问答
悬赏
全部悬赏
发布悬赏
专家入驻
会议
社区
CAE工程师认证
CAE服务
搜索
发布
注册
/
登录
TechWiz LCD 1D应用:减反射膜的仿真
追光ing
关注
2023年11月16日 09:19
浏览:2050
最简单的减反射膜结构是单层减反射膜,其主要是针对特定波长的减反射,主要原理是光波的干涉相消/相长。对于单层减反射膜来说,理想厚度为1/4入射光波长。在本例中,假设了一个折射率为1.5的基板,并且空气折射率为1
1.建模任务
1.1基本结构
2.建模过程
2.1创建材料(TechWiz DB)
2.2创建堆栈结构(TechWiz LCD 1D)
3.查看结果
3.1反射率最小对应厚度为0.1127um,与理论计算结果相符
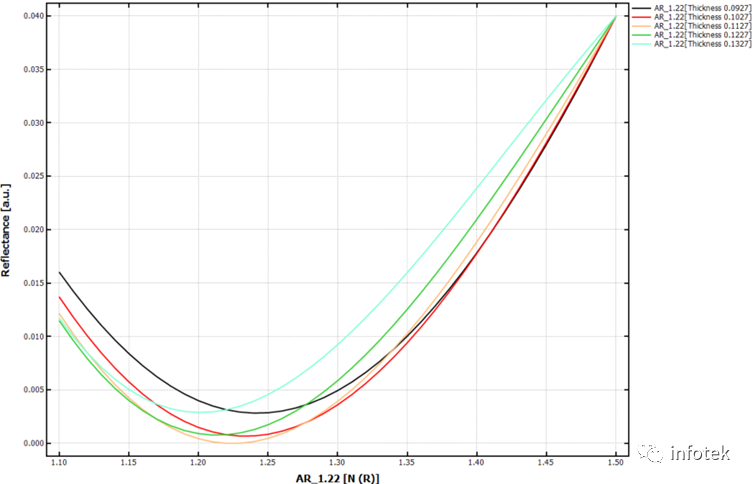
3.2可以将膜厚与膜层折射率同时作为变量考虑,可见厚度0.1127um,折射率N=1.22时,其反射率最低
3.3可以查看详细的原始数据,确定反射率的具体数值
扫一扫,关注讯技光电,了解更多软件信息!
扫一扫,关注苏州黉论教育,了解更多培训信息!
登录后免费查看全文
立即登录
推荐阅读
手把手教你ABAQUS耗能钢节点建模与分析
1点
¥169
Altair PollEx™ PCB设计加工全流程仿真网络研讨会
ALTAIR
免费
电力电子系统平台及其解决方案
Ansys中国
免费
hypermesh教程
黄熊老师
¥39
I-04稳态流:后台阶《STAR CCM+官方案例视频教程》
云之树
免费
直齿轮HYPERMESH六面体网格划分实例
Zl1232140
¥25
AQWA软件企业培训(3) 通过ANSYS-APDL建立半潜平台混合模型及混合模型的拖曳力线性化
Nutshell
¥30
Msc Apex For Aerospace Applications Idealization a
MSC Apex
免费
如何为您的应用选择合适的传声器
HBK声学与振动
免费
慧加新规范解决方案详解之大跨连续弯梁桥精细化分析(7DOF)
敦樸DUNPU
免费
汽车模具工艺CAE分析
汽车-Albina
免费
SnRD异响分析技术及新功能介绍
ALTAIR
免费
公路钢筋混凝土及预应力混凝土桥涵设计规范解决方案
敦樸DUNPU
免费
芯片级电磁干扰解决方案——如何降低射频芯片和高速SOC的电磁串扰风险
Ansys中国
免费
CVPR2020自动驾驶拓展会议——端到端深度学习的自动驾驶
Hollis张
免费
汽车制造工艺中的连接仿真
海克斯康设计与仿真
免费
Altair Activate™ 在新能源汽车电机电磁设计及控制系统开发中的应用
ALTAIR
免费
Hypermesh二次开发系列教程_部件重命名
一段时光
免费
ANSYS SI/PI/EMI&TI 2019 R3 新功能介绍
Ansys中国
免费
模具设计零基础入门到精通教程
积学教育-唄唄老师
免费
技术邻APP
工程师
必备
项目客服
培训客服
平台客服
TOP