晶体塑性每日文章推荐(十四)
文章题目:《A crystal plasticity model that accounts for grain size effects and slip system interactions on the deformation of austenitic stainless steels》
文章doi:10.1016/j.ijplas.2022.103249
推荐理由:文章基于与晶界位错堆积相关的位错机制,开发了一种包括长度尺度的新方法,该方法还考虑了取向差对滑移传输的影响。该方法结合了微观结构的几何形状,以识别晶粒尺寸、取向和形态对变形的影响。该方法还允许为其他复杂的晶界特征构建本构模型,因为在模型中的每个计算点,关于最近晶粒的方向和与边界的距离的信息是已知。并通过高分辨率电子背散射衍射测量颗粒内残余弹性应力的发展,实验证明了该方法的有效性。该方法的提出在晶体尺度上考虑了更多的晶体特征,可以更好的解释晶粒的尺寸效应。
晶粒尺寸对纯金属和合金的屈服强度和流动应力都有影响,如广泛接受的的Hall-Patch现象(流动应力和晶粒尺寸的平方根成反比)
关于该现象一个普遍接受的解释是晶界处位错的堆积效应,这种效应于晶界类型,位错类型,晶粒之间取向差密切相关,同时晶界处的应力集中程度也近似的被认为与晶界距离的平方根相关,基于应变梯度塑性理论发展的晶体塑性模型可以较好的展现这种特征,但一些分析认为应变梯度理论模型仍然存在唯象的成分,即长度尺度相关参数的校准存在歧义。
作者关于尺寸相关的晶体塑性模型的主要改进思路为:
本构模型基于经典的亚弹性本构框架:
其中流动方程为:
硬化方程为:
晶粒尺寸形态相关参数的引入:
概念的引入:
晶粒A滑移会导致相邻晶粒晶界附近的应力上升,其上升程度与晶内区域距离晶界距离有关,由于晶粒之间的取向差,晶界处的应力分布受到影响。这些应力对引发局部塑性的影响可以通过改变临界分解剪切应力(CRSS)来调整。基于位错堆积尺寸的局部屈服水平的变化是通过基于晶粒A中的滑移长度和晶粒B中位置处的CRSS之间的关系来改变CRSS来识别的。因此,根据与相邻晶粒中的晶界相交的进入滑移带的尺寸,在晶粒内的每个位置处修改CRSS。因此,如果晶粒A的尺寸加倍,尽管预测的不相容应力保持不变,但晶粒B中的CRSS会发生变化,从而使应力梯度的影响更加突出,促进晶粒更早开始屈服。晶粒A和B边界处较高的不相容应力导致滑移活动增加。然而,远离边界时,不相容应力不那么明显,这导致比晶界附近的体素更少的滑移活动
为了考虑受到周围多个晶粒的影响,作者首先计算每个体素网格的最临界晶粒(最短滑移距离),并作为考虑取向差和晶界效应的指标
该方法认识到,在沿晶界的不同点处,根据进入滑移带的大小,将存在不同大小的堆积应力
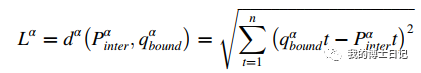
不同滑移系统到晶界区域的滑移距离计算为:
类比霍尔佩奇公式,通过修改滑移系统的初始临界分切应力引入该参数
其中τo是理论上无限大单晶的临界解析剪切应力,Lα是使用晶粒中的滑移方向的每个滑移系统α的滑移长度。kα是微霍尔-佩奇系数,该系数还考虑了晶粒间取向差对晶界的依赖性
数值验证:
考虑了两种验证方法。首先,使用二维(厚度一个体素)双颗粒模型来演示所提出的模型如何影响解析的剪切应力和滑移传递。
其次,模拟了高分辨率电子背散射衍射(HR-EBSD)实验的二维(单体素厚)重建,提取并比较了两个晶粒的组合,以确定实验中的残余弹性应力与所提出的模型预测的残余弹性力的比较情况。
研究中使用的材料是316L不锈钢,它是面心立方(FCC);因此,滑移可能发生在12个滑移系统上({111}<110>)
只用一组滑移系开动的双晶模型
三维模型:
模拟得到的尺寸效应效果
需要注意的是当前模型不会考虑考虑变形过程中晶粒变形的影响(体素网格变形过程中与晶界距离保持不变)如果向结构施加大的载荷,则晶粒有可能发生显著程度的变形。这将导致晶粒的旋转和形状变化。由于所提出的方法考虑了方向和几何形状对局部变形的影响,并且如果变形足够显著,导致这些特征发生剧烈变化。尽管如此,作者提出的方法对更深入理解晶粒尺度的变形特征仍然有重要借鉴意义
这里展示一下简单的实现效果:
几何模型:包含0.3mm*0.3mm包含67个晶粒的二维模型,包含90000个体素网格:
边界条件:施加X方向变形的周期性边界条件,应变为5%
初始滑移系统的平均屈服强度:
滑移系统1的初始屈服强度:
滑移系统1的临界滑移距离:
累计taylor剪切为:
等效mises应力为:
如果推荐内容对您有帮助,欢迎点赞,打赏,转发!!!
工程师必备
- 项目客服
- 培训客服
- 平台客服
TOP




















