晶体塑性有限元仿真入门(5)—欧拉角与晶体取向
晶体塑性有限元仿真入门(5)—欧拉角与晶体取向
备注:网页排版有乱码,建议下载附件pdf查看
晶体取向是材料学科中的重要分支,当晶粒发生择优取向时,则导致材料性能(力学,物理和化学性能)的各向异性。各向异性会造成材料实际应用中的各种问题,如铝合金典型的制耳现象,再如取向硅钢中存在Goss织构时,有利于其磁学性能。在基础研究领域,织构的形成与演变是基本的科学问题。在工业应用领域,通过织构的设计和控制可以提高材料的性能。随着近年来EBSD和XRD等表征技术的发展,各种SCI期刊的发文都已离不开对材料晶体学取向的分析。这篇文章介绍晶体塑性有限元仿真过程中的欧拉角与晶体取向。
图1 塑性变形过程导致的材料各向异性
全文包括以下几个部分:
1) 材料晶体结构
2) EBSD工作原理
3) 晶体取向分析
4) 晶体塑性材料模型
5) 织构演变结果
6) 参考资料
7) 附录
材料晶体结构
在晶体学中,晶体结构是对晶体材料中原子、离子或分子有序排列的描述。有序结构由组成粒子的内在性质产生,形成沿物质三维空间的主要方向重复的对称模式,如图2所示。
图2 高分辨率透射电子显微镜图片的铁晶体,完美单晶的二维示意图
构成这种重复图案的材料中最小的一组粒子是结构的晶胞。晶胞完全反映了整个晶体的对称性和结构,这是通过晶胞沿其主轴重复平移而建立的。平移向量定义布拉维点阵的节点,不同的晶体内部原子排列称为具有不同的晶格结构。各种晶格结构可以归纳为七大晶系,各种晶系分别与十四种空间格(称为Bravais晶格)相对应,如图3所示。
图3 三种具有立方体对称性的Bravais晶格:simple/primitive cubic (sc), the body centered cubic (bcc) and the face centered cubic (fcc)lattice
实际上的金属材料大多是多晶体,多晶体是由许多形状、大小、取向各不相同的单晶体晶粒所组成的,如图4所示。每个晶粒里面的晶体取向相同(并不完全相同,只是差别很小),通过电子背散射衍射分析技术(EBSD)分析可以定量获得这些晶体取向信息。
图4 EBSD分析获得的反极图分布图(颜色代表取向),多晶体组成示意图
EBSD工作原理
如图5所示,EBSD利用从样品表面反弹回来的高能电子衍射,得到一系列的菊池花样。根据菊池花样的特点得出晶面间距d和晶面之间的夹角θ,从数据库中查出可能的晶体结构和晶胞参数。再利用化学成分等信息采用排除法确定该晶粒的晶体结构,并得出晶粒与膜面法向的取向关系。通过以上基本操作,可以得到样品表面测试点的Phase和Orientation实验数据。
图5 EBSD分析的工作原理(Phase discriminated, Orientation determined)
通过步进间距将样品表面划分为m*n个采样点,并依次获得这m*n个采样点菊池花样和匹配的Phase、Orientation实验数据,最后对m*n个采样点的这些数据进行整理、汇总、计算等,可以进行晶粒尺寸分析、织构分析、相分析、应变分析、再结晶分析、晶界分析、断裂分析等。如图6所示,EBSD获得多晶体试样表面的取向信息过程,类似于相机的成像过程,首先将画面分解成为m*n个像素点,然后依次获得各个像素点的信息,获得全部信息后进行整理、汇总、计算。
图6 EBSD分析的工作原理(多晶体分析)
晶体取向分析
欧拉角
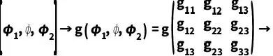
通过EBSD实验,我们可以获得多晶体试样表面m*n个采样点的取向信息(Euler1、Euler2、Euler3)。与彩色图像每个像素点存在RGB三组信息类似,取向信息的每个采样点存在三组欧拉角角度信息,这三组角度信息代表了晶格在空间中的唯一取向信息。如图7所示,空间中任意取向的晶格,通过将全局坐标系依次采用三组欧拉角进行旋转后,都可以与晶体坐标系重合。第一次旋转是围绕Z轴旋转的,第二次旋转是围绕新的X轴,第三次旋转角度围绕新的Z轴。与三维空间中点的位置信息包含X、Y、Z三个自由度一样,三维空间中晶格的取向信息也包含三个自由度,记三个欧拉角为ϕ1、Φ、ϕ2。
图7 三次旋转与任意取向晶格重合的示意图
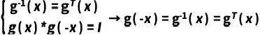
取向矩阵
除了使用欧拉角表示空间中晶格的取向,还可以使用取向矩阵(Orientation matrix, Rotation matrix) g(ϕ1,Φ,ϕ2)进行描述。取向矩阵的表达式是是通过组合三个旋转得到的,满足:
g(ϕ1,Φ,ϕ2) = g(ϕ1)*g(Φ)*g(ϕ2)
那么:
由于取向矩阵的性质,满足:
假设在全局坐标系S下,局部坐标系s1的取向矩阵为g1,局部坐标系s2的取向矩阵为g2,那么,在局部坐标系s1下的坐标系s2的取向矩阵可以看作:在局部坐标系s1下首先反方向旋转一组
得到全局坐标系S,取向矩阵为g2为
,然后在得到全局坐标系S情况下继续旋转取向矩阵g2,得到局部坐标系s2,即:
例如,全局坐标系S下,欧拉角为[90,35,45]的局部坐标系s1的取向矩阵g1为:
全局坐标系S下,欧拉角为[142.8,32.0,214.4]的局部坐标系s2的取向矩阵g2为:
那么,在局部坐标系s1下的坐标系s2的取向矩阵等于:
可以计算出(这些取向描述方法如何相互计算将在后面讨论)取向矩阵对应的欧拉角为[136.20,66.68,83.91],其数值并不等于两个坐标系的欧拉角简单加减。
同理,假设在全局坐标系S下,局部坐标系s1的取向矩阵为g1,在局部坐标系s1下,局部坐标系s2的取向矩阵为g2’。那么,在全局坐标系S下,依次旋转g1和g2’,得到局部坐标系s2的取向矩阵g2为:
同理,假设在全局坐标系S下,局部坐标系s2的取向矩阵为g2,在局部坐标系s1下,局部坐标系s2的取向矩阵为g2’。那么,在全局坐标系S下,依次旋转g2和g2’-1,局部坐标系s1的取向矩阵为g1:
弥勒指数
除了使用欧拉角、取向矩阵表示空间中晶格的取向,还可以使用弥勒指数进行描述,表示格式为(hkl)[uvw]。如(-112)[1-11],表示晶胞的(-112)面平行于轧板的轧面,[1-11]方向平行于轧向。已知一个晶面(hkl)和它所属的晶向[uvw],就很容易得到二者之间的关系:hu+kv+lw=0,通常把这个关系式称为晶带定律。
以上三种方法是描述晶格取向最常见的方法,由于三维空间中晶格的取向信息包含三个自由度,因此以上三种方法并不独立,而是存在如下联系。
图8 欧拉角、取向矩阵与弥勒指数之间的联系
晶体塑性材料模型
晶体塑性材料模型在ABAQUS中作为用户材料子程序(Huang’s UMAT)实现,取向信息通过inp文件中材料参数部分里的local system和global system实现赋予。
图9 晶体取向信息的赋予
变形过程中通过SDV将取向数据进行输出,SDV37~39和SDV73~75代表第一组滑移系(1,1,1)[0,-1,1]对应的滑移面法向和滑移方向,取向信息表示为g1。由于第一组滑移系的取向信息是固定的G1,因此,在全局坐标系下,晶体取向信息可表示为:G = G1*g1-1。例如,晶体初始取向信息为[90,35,45],全部滑移系输出的晶体取向信息可表示为如下:
表1 初始取向信息为[90,35,45]12组滑移系输出的晶体取向信息
h
k
l
u
v
w
H
K
L
U
V
W
Slip
0.406
0.406
0.819
-0.579
-0.579
0.574
0
0
1
1
0
0
0
-0.338
0.000
0.941
0.815
0.500
0.292
1
1
1
0
-1
1
1
-0.338
0.000
0.941
-0.815
0.500
-0.292
1
1
1
1
0
-1
2
-0.338
0.000
0.941
0.000
-1.000
0.000
1
1
1
-1
1
0
3
0.331
-0.816
0.473
-0.004
0.500
0.866
-1
1
1
1
0
1
4
0.331
-0.816
0.473
-0.819
0.000
0.574
-1
1
1
1
1
0
5
0.331
-0.816
0.473
0.815
0.500
0.292
-1
1
1
0
-1
1
6
0.331
0.816
0.473
-0.004
-0.500
0.866
1
-1
1
0
1
1
7
0.331
0.816
0.473
-0.819
0.000
0.574
1
-1
1
1
1
0
8
0.331
0.816
0.473
-0.815
0.500
-0.292
1
-1
1
1
0
-1
9
-1.000
0.000
-0.005
-0.004
-0.500
0.866
1
1
-1
0
1
1
10
-1.000
0.000
-0.005
-0.004
0.500
0.866
1
1
-1
1
0
1
11
-1.000
0.000
-0.005
0.000
-1.000
0.000
1
1
-1
-1
1
0
12
图8 274个晶粒的初始织构(0~180°随机织构)
建立完模型后对第一增量步的晶体取向(初始取向)进行验证,如图9所示,说明有限元模型被正确的赋予了这些随机取向,并验证了取向计算程序的正确。
图9 建立模型后对第一步晶体取向的验证
图11 织构演变模拟常见的边界条件
织构演变结果
完成Abaqus构建有限元模型所有关键步骤后,输出inp文件并提交Job,查看织构演变结果如下(由于计算资源的限制,仅计算了simple compression和plane strain compression):
simple compression
plane strain compression
以多晶体中一号节点为例,在塑性变形过程中它的织构演变如下:
1号节点织构取向演变
参考资料
Polycrystalline Plasticity and the Evolution of Crystallographic Texture in FCC Metals
Texture evolution and mechanical behaviour of irradiated face-centred cubic metals
A User-Material Subroutine Incorporating Single Crystal Plasticity in the ABAQUS Finite Element Program
附件
取向旋转矩阵计算
% 取向旋转矩阵计算,本程序适用于将欧拉角(角度制)转换为取向旋转矩阵(G)
function Rotation = Euler_to_Rotation(Euler_Input)
euler_1 = Euler_Input(1,1)/180*pi;
euler_2 = Euler_Input(1,2)/180*pi;
euler_3 = Euler_Input(1,3)/180*pi;
u0=cos(euler_1)*cos(euler_3)-sin(euler_1)*sin(euler_3)*cos(euler_2);
v0=-cos(euler_1)*sin(euler_3)-sin(euler_1)*cos(euler_3)*cos(euler_2);
w0=sin(euler_1)*sin(euler_2);
uvw0 = [u0;v0;w0];
r0=sin(euler_1)*cos(euler_3)+cos(euler_1)*sin(euler_3)*cos(euler_2);
s0=-sin(euler_1)*sin(euler_3)+cos(euler_1)*cos(euler_3)*cos(euler_2);
t0=-cos(euler_1)*sin(euler_2);
rst0 = [r0;s0;t0];
h0=sin(euler_3)*sin(euler_2);
k0=cos(euler_3)*sin(euler_2);
l0=cos(euler_2);
hkl0 = [h0;k0;l0];
Rotation = [uvw0,rst0,hkl0];
欧拉角计算
% 欧拉角计算,本程序适用于将取向旋转矩阵(G)转换为欧拉角(角度制0~180)
function Euler = Rotation_to_Euler(Rotation_Input)
phi1 = atan2(-Rotation_Input(3,1), Rotation_Input(3,2))*180/pi;
phi2 = atan2(Rotation_Input(1,3), Rotation_Input(2,3))*180/pi;
phi = atan2(sqrt(Rotation_Input(1,3)^2+Rotation_Input(2,3)^2), ...
Rotation_Input(3,3))*180/pi;
Euler_origin = [phi1,phi,phi2];
Euler_origin(Euler_origin<0)=180+Euler_origin(Euler_origin<0);
euler_1 = [Euler_origin(1),Euler_origin(1)+180];
euler_2 = [Euler_origin(2),Euler_origin(2)+180];
euler_3 = [Euler_origin(3),Euler_origin(3)+180];
Num = 500;
Euler_all_flag = randi(2,[Num,3]);
Rotation_Input_error = zeros(Num,1);
Euler_all = zeros(Num,3);
for i = 1 : Num
Euler_all(i,:) = [euler_1(Euler_all_flag(i,1)),euler_2(Euler_all_flag(i,2)),euler_3(Euler_all_flag(i,3))];
Rotation_Input_error(i,:) = sum(sum(Euler_to_Rotation(Euler_all(i,:)) - Rotation_Input)).^2;
end
Euler = Euler_all(find(Rotation_Input_error == min(Rotation_Input_error),1),:);
SDV提取保存
# SDV提取,本程序适用于将odb输出文件的SDV提取导出保存
import odbAccess
import numpy as np
myOdb = odbAccess.openOdb(r"D:\CPFEM_Abaqus_V2\Course3_3\Job-1201-001.odb",readOnly=False)
myStep = myOdb.steps["Step-1"]
myFrame = myStep.frames
i = len(myFrame)-1
myField = myFrame[i].fieldOutputs
AA = 3;
myValue = myField["SDV37"].values
temp_h = []
for value in myValue:
myData = value.data
temp_h.append(myData)
myValue = myField["SDV38"].values
temp_k = []
for value in myValue:
myData = value.data
temp_k.append(myData)
myValue = myField["SDV39"].values
temp_l = []
for value in myValue:
myData = value.data
temp_l.append(myData)
myValue = myField["SDV73"].values
temp_u = []
for value in myValue:
myData = value.data
temp_u.append(myData)
myValue = myField["SDV74"].values
temp_v = []
for value in myValue:
myData = value.data
temp_v.append(myData)
myValue = myField["SDV75"].values
temp_w = []
for value in myValue:
myData = value.data
temp_w.append(myData)
Data = temp_h+temp_k+temp_l+temp_u+temp_v+temp_w
np.savetxt(r"D:\CPFEM_Abaqus_V2\Course3_3\Out_end.txt",Data,fmt="%.5f")
SDV数据转换
% SDV数据转换,本程序适用于将输出SDV数据转换为欧拉角(角度制0~180)
function Euler = SDV_to_Euler(SDV_Input_hkl,SDV_Input_uvw)
hkl=[1,1,1]; uvw=[0,-1,1];
b_bf = transpose( uvw/sqrt(sum(uvw.^2)) );
n_bf = transpose( hkl/sqrt(sum(hkl.^2)) );
t_bf = cross(n_bf,b_bf) / sqrt(sum(cross(n_bf,b_bf).^2));
G_1 = [b_bf,t_bf,n_bf];
SDV_Input_rst = cross(SDV_Input_hkl,SDV_Input_uvw) /...
sqrt(sum(cross(SDV_Input_hkl,SDV_Input_uvw).^2));
g_1 = [transpose(SDV_Input_uvw),transpose(SDV_Input_rst),transpose(SDV_Input_hkl)];
g_ij_new = G_1 * inv(g_1);
Euler = Rotation_to_Euler(g_ij_new);
SDV数据批处理
% SDV数据批处理,本程序适用于将输出SDV数据转换为欧拉角(角度制0~180)
clc
clear
close all
% Data = load('D:\CPFEM_Abaqus_V2\Course3_3\Out_end_rolling.txt');
Data = load('D:\CPFEM_Abaqus_V2\Course3_3\Out_end_compression.txt');
HKLandUVW = reshape(Data,length(Data)/6,6);
data = HKLandUVW(1:1:end,:);
Unique_data = data(1:20:end,:);
Euler = zeros(length(Unique_data(:,1)),3);
for i = 1:length(Unique_data(:,1))
Euler(i,:) = SDV_to_Euler(Unique_data(i,1:3),Unique_data(i,4:6));
end
Unique_Euler = Euler;
plot(Unique_Euler(:,1),'r.');hold on
plot(Unique_Euler(:,2),'k.');hold on
plot(Unique_Euler(:,3),'b.');hold on
多晶体取向可视化
% 取向可视化,本程序适用于将多晶体取向可视化
cs = crystalSymmetry('cubic');
ss = specimenSymmetry('triclinic');
ori = orientation.byEuler(Euler(:,1)*degree,Euler(:,2)*degree,Euler(:,3)*degree,cs,ss);
plotPDF(ori,Miller({1,0,0},{1,1,0},{1,1,1},cs),'all','MarkerSize',1)
pause(5)
Index = transpose(1:length(Euler(:,1)));
Phase = ones(length(Euler(:,1)),1);
X = transpose(1:length(Euler(:,1)));
Y = transpose(1:length(Euler(:,1)));
MAD = rand(length(Euler(:,1)),1);
BC = ceil(100*rand(length(Euler(:,1)),1));
BS = zeros(length(Euler(:,1)),1);
Bands = ceil(10*rand(length(Euler(:,1)),1));
Error = zeros(length(Euler(:,1)),1);
Reli = ones(length(Euler(:,1)),1);
Data = [Index, Phase, X, Y, Euler, MAD, BC, BS,...
Bands, Error, Reli];
for i = 1 : length(Euler(:,1))
fid = fopen('Euler_to_EBSD_File.txt','a+');
if i == 1
fprintf(fid,'Index Phase X Y phi1 Phi phi2 MAD BC BS Bands Error Reli \n');
end
fprintf(fid,'%4i %5i %6.1f %4.1f %10.3f %6.2f %6.2f %6.4f %2i %5i %8i %5i %10.4f \n',Data(i,:));
fclose(fid);
end
cs = crystalSymmetry('m-3m', 'mineral', 'Cu') ;
fname = fullfile('D:\Download_Files\Download_Doc_From_IE_Browser\Spider_Teacher','Euler_to_EBSD_File.txt');
ebsd = loadEBSD(fname, 'CS' ,cs,...
'interface', 'generic', 'Bunge', 'ignorePhase' ,[0 2],...
'ColumnNames', { 'Phase' 'x' 'y' 'phi1' 'Phi' 'phi2'},...
'Columns', [2 3 4 5 6 7]);
odf = calcODF(ebsd('Cu').orientations, 'halfwidth' ,15*degree);
h = [Miller(0,0,1,cs),Miller(0,1,1,cs),Miller(1,1,1,cs)];
plotPDF(odf,h,'points','all');
网上参考数据测试:
http://muchong.com/bbs/viewthread.php?tid=12562139
随机欧拉角数据测试:
[-180°~180°]
[-90°~90°]=[0°~180°] 1000seeds
[-90°~90°]=[0°~180°] 8000seeds
[-90°~90°]=[0°~180°] 80000seeds
[-45°~45°]
[0°~90°]
[0°~90°] 80000seeds
[-10°~10°]
单个欧拉角数据测试:
工程师必备
- 项目客服
- 培训客服
- 平台客服
TOP




















