晶体塑性每日文章推荐(十五)
文章doi:10.1016/j.actamat.2018.01.024
推荐理由:作者通过考虑晶界效应(晶界处的高位错储存),对传统的KM位错密度模型进行扩展。用于分析FCC结构的晶粒尺寸效应,并以Cu为例进行分析,其研究表明,晶粒内部的初始位错密度在晶粒尺寸效应中起主导作用,同时对于较大的初始位错密度和晶粒尺寸大于40um的结构,流动应力与晶粒尺寸的平方根反比定律被打破。
作者的理论框架:
基于超弹性的本构框架建立的KM位错密度模型
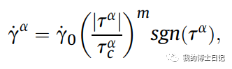
流动模型为:
其中硬化模型伪为:
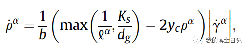
位错密度的演化遵循经典的KM模型:
L表示位错的平均自由程:
为了考虑晶界效应,作者为位错的平均自由程进行修改
Ks表示晶界处存储系数。dg表示该滑移系统距离最临近晶界的距离,对于FCC-Cu,ks根据位错动力学模拟获得约为5,其余参数如下
作者的案例模型:
相同位错密度不同晶粒尺寸以及相同晶粒尺寸不同位错密度的流动应力结果如下:
相同位错密度不同晶粒尺寸的累计滑移云图为:
相同位错密度不同晶粒尺寸的位错密度分布云图:
相同位错密度不同晶粒尺寸的等效应力分布云图:
流动应力和晶粒尺寸关系云图:
不同初始位错密度下,晶粒尺寸与流动应力关系
可以看到,尽管作者只对KM模型进行了简单的唯象修改,但很好的表现了晶界的应力,位错密度集中现象以及对晶粒尺寸效应的影响,并且相关参数均来源于位错动力学的模拟,具有真实的物理含义。
数值模拟结果表明,屈服应力受初始位错密度的控制,与晶粒尺寸无关。然而,应变硬化率表现出对平均晶粒尺寸的强烈影响,这主要归因于位错在晶界处的储存。
同时两个主要因素决定了多晶晶界提供的强化:平均晶粒尺寸和初始位错密度。其他微观结构因素(晶粒尺寸分布的宽度、织构)在尺寸效应的大小中起着次要作用。
基于作者的思路,可以对之前提到的位错密度模型进行简单修改,即可得到作者使用的模型,即考虑晶界效应的位错密度本构模型。
与前述案例一致这里展示一下简单的实现效果。参数与文献参数保持一致,初始位错密度为1.2e16mm^-2
几何模型:包含0.3mm*0.3mm包含67个晶粒的二维模型,包含90000个四边形网格:
边界条件:施加X方向变形的周期性边界条件,应变为5%
变形结束后滑移系统总位错密度分布情况:
变形结束后应力分布情况:
变形结束后累计taylor剪切为:
可以看到模型很好的符合了作者文献的模拟效果
如果推荐文献对您有帮助,欢迎点赞,订阅,打赏¥¥¥
工程师必备
- 项目客服
- 培训客服
- 平台客服
TOP




















