汉航振动传感器标定与校准系统HS7710CA
引言
传感器是将物理量转化为电信号的器件,在航空航天、军工、汽车、电子等各个领域有着广泛的应用。根据需求的不同,市场上流通的传感器种类繁多,且随着测试需求的增加,对各类传感器的需求量也越来越大。传感器生产商要想其产品获得更大的竞争优势,就必须从各个方面提高传感器的性能,以确保其能够满足特定的需求。
其中,灵敏度、频响特性和不确定度一直是工程技术人员在设计和使用过程中最为关心的问题。汉航振动传感器标定与校准系统是专为标定振动传感器的灵敏度、频响特性曲线及不确定度而设计,在本系统中,我们采用了多种标准及方法来校准振动传感器,并生成传感器校准报告。
汉航HS7710CA振动传感器标定与校准系统
系统构成
汉航振动传感器标定与校准系统主要由汉航自研数据采集硬件、NTS.LAB软件、振动台、功率放大器组成,其中数据采集硬件主要负责提供必要的输入通道及信号输出功能。
某单位使用汉航HS7710CA系统对传感器进行校准
测试方法
- 绝对法校准
- 背靠背直接比较法校准
- 背靠背替换比较法校准
测试原理
01
绝对法校准-激光振动测量的基本原理
利用相干的激光束照射振动物体表面,由于光波多普勒效应,被物体表面反射回来的光会发生频移,在光波波长一定时,决定这种频移唯一的因素是振动面相对于观察者的运动速度。利用光学和电子学的方法测出反射光的频移,便可测得振动表面的各个振动参数,如振幅、振频、速度和加速度等。
绝对法试验原理
02
背靠背直接比较法
被测加速度计与参考加速度计背靠背安装,假设两个加速度计在垂直于安装面的方向产生理想的线性运动,则二者在该方向是承受相同的振动。被测加速度计在该方向的灵敏度可由下式计算:
其中:
Sref:参考传感器灵敏度;
Vuut、Vref:分别为被测传感器和参考传感器的输出电压;
Guut、Gref:分别为被测传感器和参考传感器电荷放大系数。
背靠背直接比较法校准步骤
03
背靠背替换比较法
背靠背替换比较法是将一个稳定性好的工作标准加速度计固定于振动台上,然后用一个参考标准加速度计和一个被校加速度计与此相比较。替换法校准需要进行两次背靠背测量:
a)首先测量并保存工作标准加速度计和参考标准加速度计之间的传递函数Hr(f);
b)移除参考标准加速度计并安装被测加速度计,测量并储存被测试加速度计和工作标准加速度计之间的传递函数Hu(f)。
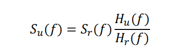
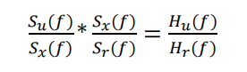
这种技术可抵消大部分由于振动台失真及测量仪器允差造成的不确定度分量。在两次测量中,工作标准加速度计始终安装在振动台上,而标准参考加速度计和被测加速度计分别同工作标准加速度计进行比较,利用替换技术可以在较宽频带范围内改善背靠背直接比较校准方法的精度,被测试加速度计的灵敏度按下列公式进行计算:
由此得到:
其中:
Su(f):被测加速度计的灵敏度;
Sr(f):标准参考加速度计的灵敏度;
Sx(f):工作标准加速度计的灵敏度;
Hu(f):被测加速度计与工作标准加速度计之间的频率传递函数;
Hr(f):参考标准加速度计和工作标准加速度计之间的频率传递函数。
背靠背替换比较法校准步骤
绝对法主要用于标定标准加速度计,其设备复杂,校准准确度高;比较法主要用于工作加速度计的检定,与绝对法校准相比,操作相对简单,要求复杂贵重的仪器少,成本低,其校准准确度略低于采用绝对法校准准确度,因而一般工作加速度计通常都采用比较法进行校准。NTS.LAB VCS传感器校准系统,支持上述三种方法校准,用户可根据需求,选择合适的校准方法。
NTS.LAB VCS 传感器校准方法选择
系统特点
🔷 易于使用
--直观、易操作的软件界面,无需工程经验
🔷 全面的数据库
--存储与用户传感器的所有相关数据、校准所需的所有数据以及每个传感器的所有校准历史记录,有了这些数据,整个设置和校准程序就可以简单地自动化实现
🔷 快速简便地显示结果(确定通过/未通过),方便用户快速诊断传感器性能
🔷 可定制和打印校准证书
🔷 准确性
--数据采集前端可自动校准,校准精度极高。校正系数存储在数据库中,以便后续使用和溯源
--数据库中存储了各个系统的频率响应特性,通过对这些特性进行校正,可最大限度地减少校准不确定性和校准时间
🔷 安全
--可设置多个用户级别,并定义访问权限,最大限度地提高系统安全性
🔷 灵活性
--灵活配置,支持全频率范围
--校准范围为:0.1Hz~20kHz
--频率响应测试范围为:0.1Hz~80kHz
🔷 校准几乎所有类型的传感器:电荷、CCLD、压阻、可变电容、电压、伺服和电动(例如速度传感器)
🔷 几乎可以兼容任何电磁式振动台
🔷 选择国际单位制或英制单位
🔷 完整的标准系统包括必要的硬件,以满足您的特定应用和需求
🔷 多种激励方法
--随机激励:多频带快速测量和实时频率响应信息
--定频正弦激励:主要针对于低频校准,并满足特殊要求
--多定频激励:快速获取多个频点的灵敏度及频响特征
--正弦扫频激励:通过正弦扫频信号获取各个频点的灵敏度值及频响特征。
使用NTS.LAB VCS软件进行振动传感器校准
总结
汉航振动传感器标定与校准系统HS7710CA可对所有影响加速度计性能及测量不确定度的因素进行检定,主要是通过对规定频率下的轴向灵敏度的标定及频率响应测量,来检验加速度计的技术状态。用户可以根据使用场景及精度需求,选择不同的校准方法及信号类型。基于测试结果,NTS.LAB VCS软件模块还可快速生成校准报告,校准结果一目了然!
如需了解更多产品信息与应用详情,欢迎您与我们联系。
点击下方蓝色字体“阅读原文”,了解更多信息。
工程师必备
- 项目客服
- 培训客服
- 平台客服
TOP




















