晶体塑性每日文章推荐(二十四)
文章doi:10.1016/j.ijmecsci.2016.11.011
推荐理由:
作者提出了一个整体迭代方案,本构积分使用全隐式背向欧拉方案,应力与位错密度同时求解,并且使用滑移阻力作为收敛判据保证程序的稳定性,整体数值积分框架介绍的非常完整且清晰。并通过铝合金纳米压痕,不同取向单晶铝拉伸模拟,以及多晶率剪切的模拟和实验对比,证明了数值模型预测的准确性,以及积分方案的稳定性。
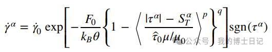
作者的本构框架使用超弹性框架,流动方程使用busso等人提出的热激活模型:
模型中各个参数含义可以参考原始文献,作者对各个参数范围以及影响进行了详细说明。
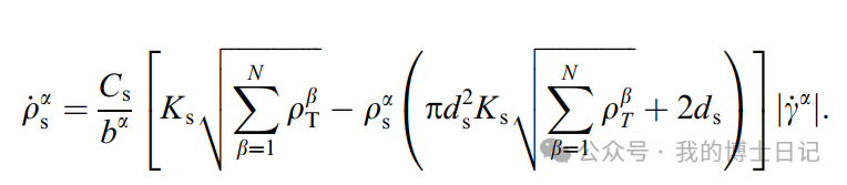
滑移阻力的演化基于经典的位错理论,并由Ke-Shen Cheong等人进行了扩展,即将位错密度细化为刃位错和螺位错。
两种类型的演化分别为:
这里需要指出的是作者使用的模型起源于《Discrete dislocation density modelling of single phase FCC polycrystal aggregates 》
螺位错演化的正确方程为:
原始文献对每个参数的来源进行了详细说明。其中需要拟合的参数仅仅包含两个,其余参数的物理意义清晰。详细了解可以参考该文献。
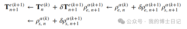
时间积分方案策略:
过程为:
通过线性方程组单次迭代求解满足收敛判据的pk2应力以及位错密度
收敛判据
为了避免位错密度波动对数值稳定性的影响,修正收敛判据为:
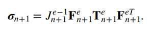
收敛之后更新柯西应力:
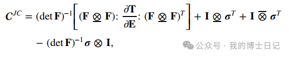
一致性切线模量:
数值模型验证:
材料参数:
不同取向单晶铝合金拉伸模拟与实验结果对比:
不同取向单晶铝合金纳米模拟与实验结果对比:
多晶铝合金剪切模拟:
DIC结果与数值模拟结果:
表面粗糙度对比:
可以看到作者使用的模型可以很好的得到不同情况下铝合金的变形特征,且作者认为这类方案相较于以往的双重迭代方案计算更加高效。
感兴趣的同学可以尝试采用这类积分方案与以往传统积分方案进行对比
这里首先尝试了该类本构方程的传统的积分方案求解,发现,两类模拟结果在数值上无明显差异。之后推文中会进行简单对比。
传统积分方案计算多晶模型案例:
包含200个晶粒的铝合金(参数使用文章提供的参数)拉伸变形10%的结果:
应力分布
总位错密度分布:
刃位错密度分布:
螺位错密度分布:
工程师必备
- 项目客服
- 培训客服
- 平台客服
TOP




















