四反潜望长焦设计 | SYNOPSYS 光学设计软件第74课
更新于2024年9月11日 11:071.基础背景
何为潜望式长焦镜头?顾名思义,潜望式镜头其实是借鉴了潜艇中潜望镜的基本原理。世界上最早记载潜望镜原理的古书,是公元前二世纪我国的《淮南万毕术》。书中记载了这样的一段话:“取大镜高悬,置水盘于其下,则见四邻矣。”可见那个时候的人们就已经开始懂得通过光的反射来观察外界。
1.1潜望镜工作原理
而到了20世纪初,随着潜艇和坦克的出现,潜望镜在军事中的运用日益频繁。潜望镜,就是指从海面下伸出海面或从低洼坑道伸出地面,用以窥探海面或地面上活动的装置。其构造与普通望远镜相似,只不过另加两个反射镜使物体光线经两次反射后传入眼中。而这一折叠光路的设计,也正是潜望式镜头最基础的工作原理。
对于当前的相机镜头来说,一般都假设其成像模型为小孔成像模型,因此成像位置位于镜头的焦点附近。依据这一原理,其拍摄的物体越近,其成像的焦距便越短,反之如果需要拍摄的物体越远,则成像时的焦距也就越长。潜望式长焦镜头的最大优点便是能够让手机拍摄到更远处的景物
图1.1.1普通长焦镜头成像
图1.1.2潜望式长焦镜头成像
2.关于手机上长焦镜头和潜望式长焦镜头的区别
潜望式长焦是一种手机镜头的设计方式,通过光线在镜头内部的反射,实现了更长的物理焦距,提高了手机的远摄能力。潜望式长焦镜头将光路弯折了90度,将镜组躺在手机里,传感器立起来,从而突破了机身厚度的限制。潜望式长焦和长焦的区别在于,潜望式是一种实现方式,而长焦是一种效果。
传统的潜望长焦架构通常采用45°棱镜,外界环境光透过摄像头 deco玻璃后,被45°棱镜反射,光路转向90°,光线经过镜片组后聚焦到CIS上成像
2.1潜望式长焦的优势
长焦模组的视角由等效焦距决定,和是不是使用潜望式没有区别。所以并不是说它不是潜望式就做不了长焦了。但是正因为长焦模组的等效焦距很长(一般都超过 80mm,大多数在 100mm 等效左右),导致传统结构如果要控制厚度,同时又不想牺牲等效焦距,那么只能用小底(1/5.5" 左右)而潜望式长焦模组由于将光路弯折了 90°,所以把模组的厚度(Z 轴高度)转化为长度(X 轴长度)。这样在 Z 轴高度不变的情况下实际焦距能做得更长,换言之就是在等效焦距一致的情况下底能做得更大:1/3.4" 左右,像素也能做得更多了,或者相反也可以。
2.2传统长焦的优势
传统长焦的优势在于结构简单。由于不需要棱镜或者其他的结构用于反射,所以传统长焦拥有更少的光损,更小的模组体积。另外,虽然潜望式的底比传统能做得更大,但是不代表弱光下传统长焦就差很远,毕竟传统长焦光圈更容易做大。一样算等效光圈的话:毕竟传统长焦光圈更容易做大。一样算等效光圈的话:1/5.5" 的传统长焦为 F26.4而 1/3.4" 的潜望式则为 F24.48,不算光学系统损耗潜望式进光量也就多了16%,没到一档。
潜望长焦很大程度上决定了手机拍摄能力的上限,Apple 在 iPhone15 Pro Max 中首次引入了潜望长焦模组,根据Apple 官网和专利显示,有别于传统的单次反射转折90°方案,苹果的潜望镜头采用四次反射棱镜架构,今天我们以苹果四反潜望长焦专利为基础,使用 Synopsys 设计出一款三片式镜头的四反潜望长焦镜头,来进行实际案例的设计:
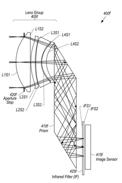
3.架构解析
为了解决潜望长焦模组的空间占用问题,对传统的潜望长焦架构进行了升级:
1.把镜片组从棱镜后方,前置到棱镜上方。
2.棱镜的楔角θ做到33°以下,这样会把棱镜压扁压平,降低了棱镜高度。设计四次往复反射,能够尽可能的压缩了模组的横向长度。
来看第1点, 镜片组前置先对环境光进行聚焦,而单反架构镜片组在棱镜后方,环境光过来后没有收束的动作,尤其是潜望长焦的视场角比较大的时候,四反架构相比单反架构,可以大幅缩减棱镜尺寸和镜片组口径,如下图所示,相同焦距和孔径下,显然单反架构镜片组尺寸更大。从这一点来讲,镜片组前置的四反架构更容易再镜片组尺寸相同的条件下,系统达成更大的光圈,更符合暗环境拍摄需求。
棱镜的楔角θ做到33°以下,iPhone是做到30°左右。把棱镜压扁压平,让光路在其中往复反射四次,除了四个反射表面还有入光和出光面,一共经历6个表面。其中,S2和S5不满足全内反射条件,所以该表面要镀反射膜。S1和S3表面有部分重合,S1是入射面,S3是反射面,因为S3满足全内反射条件,所以S1和S3重合不影响,S4和S6同理。由光线的折射反射定律在此棱镜中的实际光线路径,通过多次在棱镜中反射,相比单反架构的直接出射,极大降低了横向长度,尤其是镜头焦距越长,相比单反架构横向长度压缩越明显。
3.1初始结构搜索
Synopsys 支持初始结构的搜索功能,设置要求的基础技术参数,输入 DSEARCH,
搜索宏,镜头文件
请评论区留言联系工作人员获取
从系统找到的十个初始结构中,找出一个最佳结构,接下来进行下一步分析:调整光线长度,放置四个反射镜来实现光路的折返。
3.2光学总体高度解析
潜望长焦镜头的总体高度由三部分组成:
d:镜片组高度,叠加镜片组和棱镜间隙的总体高度
h:棱镜的厚度
b:光线穿越棱镜的工作距
在设计上严格要求光学总体高度不能超标。通常在设计阶段提高优化效率,我们把棱镜后的长焦系统简化成下图来处理,假定棱镜前方的镜片组高度不变,则潜望长焦镜头的总体高度主要由玻璃板的厚度h,后方的工作距b共同决定。
假设边缘光线以θ角入射到玻璃板,对应的折射角为i,边缘光线在玻璃板的入光面高度为d,在玻璃板出光面高度为d2,则很容易推导:
如果我们把玻璃厚度在当前基础上增加Δh,同理可得:
由于潜望长焦镜头的视场角不大,基本满足近轴关系。据此可知在玻璃厚度增加Δh的时候,后工作距减少量为Δh与玻璃折射率之比。
我们接着计算潜望镜头用折叠棱镜后的总体高度,把表达1和ΔB带入高度表达式,我们可以推导出:
从上式可知,可以通过增加棱镜厚度来缩减多反架构潜望模组的整体高度,具体的变化关系就是ΔTTL,式中的Δh指的是光在棱镜材料中的路径长度增量,式中的θ指的是棱镜的楔角,式中的n指的是棱镜材料折射率。
3.3棱镜光路分析
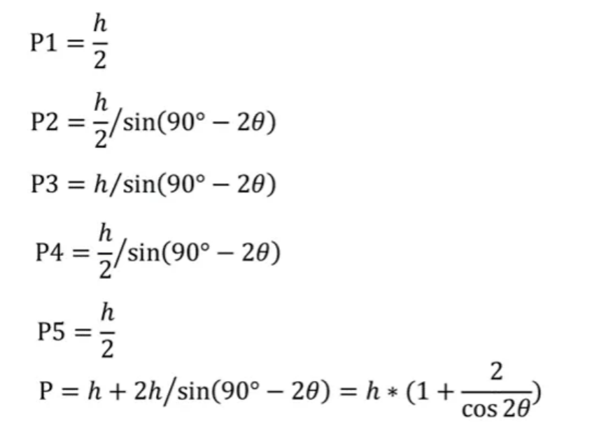
该四反棱镜结果如下所示,红色为中心光线,我们来计算该光线在棱镜中的长度。
假设棱镜的高度为h,楔角为θ,则中心光线在棱镜中走过的路径是5段折线,每段的长度以及总长度计算如下:
如果楔角θ=30°,我们很容易看到总长P=5h
3.4棱镜长度解析
对于棱镜的长度,同样我们也可以通过棱镜厚度h和楔角θ进行分解计算。
按照光路顺序,我们把棱镜长度依次拆解为5段,求得棱镜的总体长度为:
根据P公式可知,光线总路径长度确定前提下,楔角越小棱镜越厚。根据L公式可知,棱镜厚度确定的前提下,楔角越大棱镜越长。综合以上结论,棱镜楔角优选取值为28°~33°之间的范围。
3.5 棱镜设置解析
本次设计,棱镜楔角我们设定30°,在Synopsys中,我们使用WS插入反射镜通过计算反射镜的角度,光线每次改变方向,我们都要来切换到新的方向下的角度,通过多次角度切换从而建立起多次反射光路。如果没有计算正确,棱镜各个表面没有衔接起来,会显得棱镜很怪异,我们需要对相关表面设置对应的光学口径,和角度,当所有镜子正确衔接后,棱镜外形就能正常显示。
3.6基本参数
全视场点列图和点列图
思维发散
iPhone 15 Pro Max 的望远镜头用了不同的设计来达到了同样的功能,只是过程不同,但结果相似目的相同,虽然是四次反射,但这样的设计目的与两次反射是一样的,至于为什么用四次反射而不是两次90度反射呢?原因很简单,因为四次反射能够精简镜头模组的空间,如果设计两次90度反射,那么棱镜的长度会比现在还要的长一点。
那么 iPhone 15 Pro Max 望远镜头还算是潜望式镜头吗?我认为在狭义上不是,但广义上它是,潜望式镜头的定义是光路必须经过90°反射,一般是双反射,其实即使是单反射,也算是潜望式,但 iPhone 15 Pro Max 并不是90°反射,在这里推测可能是60°-120°-120°-60°四次反射,并且苹果官方似乎也从未在官方推文上表明他们的镜头是潜望式。所以可以发现 Apple的iPhone 15 Pro Max 当然没有重新定义所谓的潜望式镜头,它其实是以很苹果的方式。简化的设计更少的元件,做出看起来好像更复杂的镜头功能,与此同时,画质上有可能会更好。这种解决方式,非常符合苹果的平衡精神,目前是 iPhone 最强的望远镜头。首次利用四重反射棱镜实现相较于主摄的5倍光学变焦
本文根据 Apple 的长焦专利架构,解析了四次反射棱镜式潜望长焦的设计逻辑,大家可以根据这个逻辑来进行2次反射,3次反射,甚至5次反射潜望的架构分析,在有限的空间内做出更好的长焦镜头。
总结
本文根据 Apple 的长焦专利架构,使用 Synopsys 展示了一个类似三片式四反潜望长焦镜头的设计,解析了四次反射棱镜式潜望长焦的设计逻辑,向大家展示了数值计算确认结构配置的重要性。有需要文中 Synopsys 光学设计初始宏和文档的朋友,请私信下方公众号,联系我们的工作人员。
工程师必备
- 项目客服
- 培训客服
- 平台客服
TOP




















