基于Abaqus的高纯铝不同应变率下单晶塑性变形的取向依赖性研究
2024年11月2日 21:56浏览:2372 收藏:1
文章题目:《Strain rate effect of high purity aluminum single
crystals: Experiments and simulations》
文章doi:10.1016/j.ijplas.2014.10.002
推荐理由:作者研究了高纯铝不同应变率下单晶塑性变形的取向依赖性,不同应变率下的流动应力情况通过Laue Back-Reflection 技术测量,并提出了两类单晶本构模型用于预测单晶不同应变率的应力响应的能力,研究表明,相较于传统的单晶幂律流动模型,所提出的另外的唯象和位错密度模型很好捕捉了应变率效应,提出的唯象模型参数少,便于拟合,物理模型参数更多,但物理意义更明确,这在捕捉单晶多滑移系开动时提供了更准确的预测(更接近实验结果)。(原因是位错密度模型提供了位错之间更合理的相互作用形式)
作者的研究思路
一,通过实验获得两种取向的单晶在不同应变率下的流动应力,并发现了单晶变形的流动应力与应变率和取向是强相互影响的
二,为了捕捉这种应变率响应,作者在huang经典程序的技术上进行了修改,提出了两类新的流动和硬化的晶体塑性模型,三类模型分别如下:
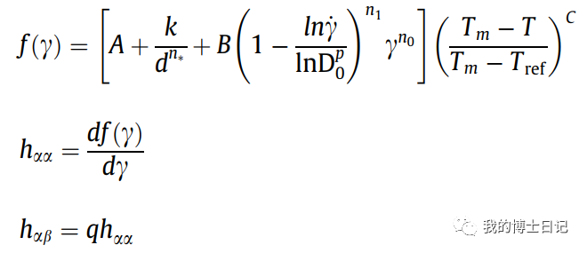
类型一:经典单晶唯象本构方程
类型二:应变率修正的单晶唯象本构方程(类似于JC的修改形式,考虑温度和应变率)
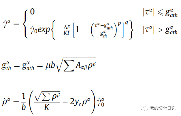
类型三:考虑热激活和位错密度的物理本构模型
作者详细探讨了三种模型的差异性和预测能力,并对物理模型的参数给出了大概的区间以及参数的影响,对于使用位错密度模型提供了很好的范例
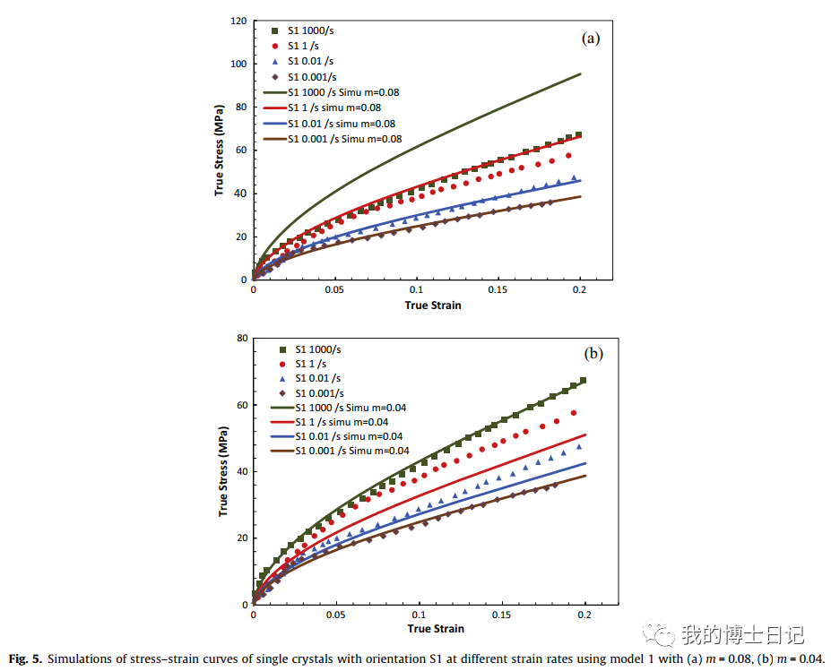
三类模型的预测结果如下所示:
模型一的预测结果
模型二的预测结果
模型三的预测结果
作者认为模型三对单晶变形的预测能力最好,因为其捕捉了更多的物理特征。
最后,有需要的小伙伴欢迎联系。
技术邻APP
工程师必备
工程师必备
- 项目客服
- 培训客服
- 平台客服
TOP
2
1




















