OptiSystem应用:EDFA中离子-离子相互作用效应
本案例展示了EDFA中的两种离子-离子相互作用效应:
1.均匀上转换(HUC)
2.非均匀离子对浓度淬灭(PIQ)
离子-离子相互作用效应涉及稀土离子之间的能量转移问题。当稀有离子的局部浓度变得足够高时,就不能假设每个孤立的离子都是独立作用于其周围。当放大转换的上能级被能量转移耗尽时,这可能对放大器性能产生负面影响。
一、均匀上转换
均匀上转换效应是Er3+–Er3+相互作用效应,其对EDFA性能的影响与光纤中铒离子的浓度有关。在具有高浓度铒离子(nt>5.1024m-3)的光纤中,与具有较低铒浓度的光纤相比,非均匀上转换往往会对放大器性能造成更大的损害。
为了证明EDFA中均匀上转换的影响,针对不同的光纤模拟了图1中所示的系统,并分析了增益。
图1.用于分析EDF中均匀上转换的系统布局
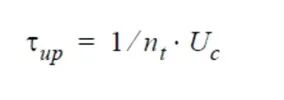
光纤的上转换寿命定义为:
其中nt是铒离子的浓度,而Uc是两粒子上转换系数。
分别仿真四种光纤:一种光纤没有均匀的上转换效应,三种光纤的上转换寿命分别为1ms、2ms和5ms。
所有光纤都考虑了相同的铒离子浓度。在考虑均匀上转换的纤维的情况下,上转换系数(Uc)的值被设置之后,便确定了相应的上转换寿命。
图2(a)显示了没有均匀上转换的光纤的选项卡设置,图2(b)考虑了1ms的上转换寿命。
a)不考虑均匀上转换
b)考虑了1ms的上转换寿命
图2.光纤设置
对泵浦功率进行参数扫描,如图3:
图3.泵浦参数扫描设置
在模拟之后,绘制了每个光纤的增益与泵浦功率的曲线。图4显示了模拟结果。该结果显示了由于上转换效应而导致的EDFA的性能下降。为了补偿增益的下降,必须增加泵浦功率。
图4.光纤的增益与泵浦功率的曲线(HUC)
二、非均匀离子对浓度淬灭
非均匀离子对浓度淬灭(PIQ)效应意味着两个或多个离子之间的能量传递速率在时间尺度上明显快于泵浦速率,因此在所考虑的泵浦功率下,泵浦无法保持两个离子都被激发。
当用户选择离子-离子相互作用效应参数的非均匀选项时,掺铒光纤组件将这种效应考虑在内。在这种情况下,用户必须指定光纤中簇的相对数量(K)和每个簇的离子数量(mk)。图5显示了K=1.4%和mk=2的掺杂光纤的示例。
图5.设置光纤中的非均匀离子对浓度淬灭
通过仿真验证了PIQ对EDFA性能退化的影响。模拟中使用的光纤参数和系统布局如图6所示。该系统仿真1530nm处的信号增益相对于泵浦功率的曲线。输入信号功率保持在-20dBm,980nm处的泵浦功率在2mW到50mW之间变化。
图6.用于分析EDF中非均匀离子对浓度淬灭的系统布局
在这些模拟中,除了簇的相对数量外,所有光纤参数都保持不变,这对于每条曲线都是不同的。在模拟中获得了三条曲线来证明泵效率的降低。图7显示了与没有PIQ的光纤(K=0)相比,两个相对簇数量(K=10%和K=20%)的增益降低。
图7.光纤的增益与泵浦功率的曲线(PIQ)
模拟结果表明,由于非均匀离子对浓度淬灭的影响,EDFA的性能有很高的退化。
参考文献:
[1]P. C. Becker, N. A. Olsson, and J. R. Simpson. “Erbium-Doped Fiber Amplifiers: Fundamentals and Technology”. Optics and Photonics, 1999.
[2]P. Mylinski, D. Nguyen, and J. Chrostowski.”Effects of concentration quenching on the performance of erbium doped fiber amplifiers”. Journal of Lightwave technology, vol. 15, no 1, January 1997.
工程师必备
- 项目客服
- 培训客服
- 平台客服
TOP




















