CFD专栏丨电机一维CFD快速热仿真
更新于2025年5月12日 13:59电机快速热仿真方法
集总参数热模型
集总参数热模型(Lumped Parameters Thermal Model )是根据传热学基本定律和电路理论,将分布热源和热阻等效为少量的集中热源和热阻,为电机建立等效热路(网络)模型,通过电路理论分析求解热路模型,得到电机各部件温度的方法。热路模型中的热源为电机各部分损耗:绕组铜耗、定转子铁心的铁耗、永磁体损耗和摩擦损耗。热阻可以根据理论公式、经验公式和实验数据计算得到。这种方法优点是:模型简单、计算量小,在电机参数优化过程中能够快速地计算电机温度。
FluxMotor 和Flow Simulator耦合分析
电机快速热仿真
FluxMotor用于电机的概念设计,以较短时间进行电磁性能、散热冷却策略和结构 NVH 评估的仿真。从v2024.1版本开始,用户可以在FluxMotor模块中导出电机的集总参数热路模型,并调用一维流体CFD模块Flow Simulator求解,通常稳态温度场计算仅需十几秒。
FluxMotor 的热设计
► Step1:选择电机结构形式
Topology
- 定子和转子尺寸,级数
- 气隙
HOUSING(壳体冷却方式)
- 机座尺寸
- 散热筋布局(径向/平行)
- 水冷回路(zig-zag/Solenoid/user define)
SHAFT
- 主轴和轴承尺寸
► Step2:转子和定子电磁参数
Rotor
- Magnet永磁体参数
- Polarization极化参数
Stator
- Slot定子槽参数
- Winding绕组参数
► Step3:冷却参数
External 外表面冷却模式
- 自然对流冷却
- 强迫风冷
Internal 内表面冷却模式
- 自然对流冷却
- 强迫风冷
- 接触热阻
- 等效槽内热模型
► Step4:选择材料库
- 壳体,主轴,轴承
- 转子磁体
- 定子绝缘,磁钢,线圈
- 流体材料
► Step5:Test 虚拟测试
- 用户可以根据之前步骤输入的电磁参数和热参数,进行电机的虚拟性能测试。
- Thermal根据电机运行参数分析的铁损,铜损和机械损耗进行温度场的计算。
从FluxMotor的温度场快速分析结果可以显示:
- 电机能否在目标工作点运行而不会出现过热?
- 不同类型的冷却是否有助于达到良好的性能?
► Step6:Export 数据导出
- 在Advanced Tools工具栏中,点击Flow Simulator,导出电机的热路模型,文件包含后缀名*flo的模型数据,以及*png图片。
- 用户可以在Flow Simulator中基于现有模板,进一步细化电机热路模型,提高分析精度。
► Step7:Flow Simulator中打开*flo文件,查看电机热路模型。
FluxMotor导出的电机热路模型默认从两个维度创建:轴向和径向。按区域可分为以下几组:转子,定子,绕组,气隙,端部空间,轴承,主轴,壳体,以及热辐射网络。每组自动打包成一个Group,用单个颜色盒子显示,双击可以解压展开。这样用Group分组显示复杂的热网络模型,方便用户查看。
电机轴向热网络(Group view)
电机轴向热网络(Group展开图)
电机径向热网络(Group view)
轴向和径向热网络图
永磁体,磁钢,绕组等相邻固体之间存在接触热阻,材料本身内部也存在热阻。空气和固体表面存在对流冷却,和局部流速有关。不直接接触的固体表面之间还存在热辐射交换热量。FluxMotor自动搭建出星形热网络,该网络共包含约200个基本的传导,对流,辐射等元器件,极大的提高了建模效率。
对于这款电机,转子采用插入式永磁体,转子表面覆盖着一层薄的金属,对传热的影响不能忽略,热网络模型在自动生成的时候也考虑到了这点。
定子和转子热网络(局部)
(a)转子热网络
(b)定子热网络
Flow Simulator一维CFD模型
基本的热网络是通过搭建若干个convector, conductor, radiator热单元组合,描述复杂的热系统。如果系统内必须求解流体的温度变化,通过搭建若干个tube, fan, pump, junction, orifice等流动单元组成流动网络,描述冷却系统。
Flow Simulator的热单元库
一维Thermal Network模型
- 流动网络和热网络可以耦合,交换热量。例如电机壳体的液冷通道,可以计算出冷却液的温升,压力降。
- 可计算稳态温度场或瞬态温度变化过程。
Flow Simulator 的分析类型
管路外冷却(Thermal Network)+ 管内流动(Flow Network)
电机热网络模型搭建完成后,可执行Muticase多工况,优化和参数敏感性分析。例如,对于电机的气隙尺寸,磁钢导热系数,绝缘材料厚度,冷却液流量等参数设定变化范围,分析对温度影响最大的参数。
Flow Simulator的电机冷却模型
气隙冷却:空气在狭窄的环形通道中流动,冷却定子内表面和转子外表面,研究表明流态呈现复杂的环形Taylor-Couette流,换热系数采用Taylor Rotating Gap模型计算。
气隙冷却模型
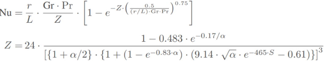
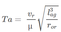
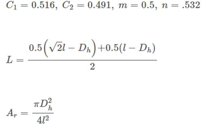
► Taylor Rotating Gap 理论公式
气隙的Taylor数
Nusselt数计算公式
气隙的对流换热系数
Motor End Space Convection 端部冷却:可分为5类:
- 转子端部
- 定子端部
- 轴端部
- 绕组端部
- 壳体端部
电机内部空气冷却主要是转子高速旋转带动,FlowSimulator根据电机形状和转速确定相应的对流换热系数HTC。
电机端部冷却模型
► Motor End Space Convection理论公式
► 电机外壳体冷却:根据散热翅片的布局和尺寸参数计算HTC
电机外壳体冷却模型
► 散热片冷却理论公式
竖直散热片
水平散热片
液冷通道:根据通道的尺寸,材料,表面粗糙度,冷却液流量计算HTC。
液冷通道计算模型
► 液冷通道的理论公式
雷诺数
层流Nusselt数
湍流Nusselt数
液冷对流换热系数
► 冲击式冷却
功率密度高的电机会采用冲击冷却,让冷却油直接和端部绕组等高温部件接触带走热量。
敞开式冲击冷却
浸没式冲击冷却
冲击冷却模型
► Impingement 模型理论公式
液体冲击冷却的Nusselt数
► 冲击冷却模型验证试验
喷嘴尺寸
热源表面热电偶位置
不同喷嘴的Nusselt数
电机验证模型
- 永磁同步电机,额定功率75kw。
- 测试采用两种工作模式:正弦电流,PWM逆变器。
电机外观
电机参数
电机内部热电偶(红点)
电机外部热电偶
电机两种工作模式下的损耗
不带变频器的电机温度
仿真和试验对比
带变频器的电机温度
仿真和试验对比
► Flow Simulator热网络模型计算结果(稳态温度场)
Flow Simulator电机温度(不带变频器)
本期的电机一维CFD快速热仿真分享就到这里啦,下一期我们将分享更多实用功能,敬请期待。
对本专栏感兴趣的朋友们欢迎持续关注 Altair 官方微信公众号,点击文末的CFD专栏,还可以阅读更多往期文章,下期见~
申请免费试用
如您对 HyperMesh CFD 感兴趣
欢迎扫描二维码申请免费试用:
关于 Altair 澳汰尔
Altair(纳斯达克股票代码:ALTR)是计算智能领域的全球领导者之一,在仿真、高性能计算 (HPC) 和人工智能等领域提供软件和云解决方案。Altair 能使跨越广泛行业的企业们在连接的世界中更高效地竞争,并创造更可持续的未来。
公司总部位于美国密歇根州,服务于16000多家全球企业,应用行业包括汽车、消费电子、航空航天、能源、机车车辆、造船、国防军工、金融、零售等。
欲了解更多信息,欢迎访问:
工程师必备
- 项目客服
- 培训客服
- 平台客服
TOP




















