Fluent FMG 航空发动机尾三维喷管仿真(一)
2025年5月18日 20:48根据上次收集到的问卷,本案例利用Fluent对三维航空发动机尾喷管气动特性展开了初步仿真计算,并介绍了FMG初始化方法。后续可以通过该方法对各种不同的机尾喷管进行仿真优化,应用于声隐身、红外隐身、舰载机挡板适配等领域。
1 workbench 设置
本案例计算模型简单,且为瞬态计算,仅需选择Fluent(带网格划分模块即可),相关的workbench设置如下图:
2 SCDM 设置
2.1 导入几何
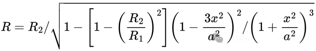
采用的喷管稳定段长1200mm,收缩段600mm,收缩段进口直径600mm,出口538mm。利用维氏公式进行建模。相关的公式和几何结构如下图:
3 Fluent meshing 设置
采用了Fluent meshing进行前处理,采用多面体的方法对体网格进行划分。具体的划分结果如下图所示:
4 FLUENT 设置
4.1 General设置与网格导入
由于本文只探讨稳态计算结果,此处的设置比较简单,使用密度基求解器进行稳态求解。
4.2 材料设置
此处需要采用理想气体进行计算,具体设置如下:
4.3 边界条件设置
根据几何图中的边界条件对边界条件进行设置,喷管处压力进口为inlet,外域压力进口为inlet2,压力远场为far。
首先对压力远场边界进行设置,为了更好的收敛,此处对马赫数进行了0.05的设置,压力为101325Pa,温度为300K。
对喷管入口边界进行设置,压力为154000Pa,温度为1072K。
对外域压力入口边界进行设置,压力为101325Pa,温度为300K。
对压力出口边界进行设置,压力为101325Pa,温度为300K。
4.4 初始化设置
首先进行标准初始化设置,具体设置如下图:
初始化结束后,进行FMG初始化,在TUI窗口中输入命令:
/solve/initialize/fmg-initializationyes
进行FMG初始化,具体输入界面如下图:
该方法可以获得更好的初始结果,使仿真计算得到更快的收敛。初始化后的速度和温度云图如下图,可以发现该结果与最终结果类似。
4.5 计算设置
此处进行的计算设置如下:
5 后处理结果
5.1 残差结果
本案例仅计算了200步,收敛标准为10e-3,可以发现在100左右就已经达到了收敛标准,残差结果如下图所示。
5.2 后处理云图结果
此处对速度云图与温度云图展开了绘制,具体结果如下。
速度云图结果:
温度云图结果
工程师必备
- 项目客服
- 培训客服
- 平台客服
TOP




















