GLAD:光学参量振荡器
浏览:2095
概述
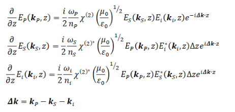
光学参量放大(OPA)涉及三波转换过程、单轴晶体中的双折射现象、k矢量的相互作用以及色散效应等。OPA的基本方程是用来描述泵浦光Ep,信号光Es以及闲频光Ei之间相互作用的方程组:
以上公式都不含时间变量,并假设三波的频率之间满足下述等式:
上述方程必须与分步衍射传输方程同时求解。
仅当Dk×z=0时,三波之间才会发生强耦合作用。当色散能够补偿k矢量失配时上述条件得以满足。但是k矢量失配会导致光束的横向剪切,引起效率降低。当三矢量相互平行且Dk矢量为0时必然会发生强耦合作用。常规色散材料会导致Dk不为0,这就使得耦合非常弱。利用双折射材料中e光与o光折射率不同的特点,可以将Dk减小到0,从而获得强耦合作用。
系统描述
本例介绍了谐振腔内的OPA过程,即OPO过程。谐振腔由2个平面镜、一块长度为1cm的OPA晶体构成。在定义完OPA过程涉及的晶体折射率、晶体匹配角以及
Dk等参数后,通过MACRO利用OPO命令定义了OPA的作用过程。在此基础上定义了参量放大的信号光束在谐振腔中往返传输一次所涉及各个步骤。至此完成了OPO过程的定义。最后调用名为OPORES的MACRO实现了OPO过程的模拟。
模拟结果
图1 OPO输出的激光模式
图2 输出功率随OPO迭代次数的变化过程
技术邻APP
工程师必备
工程师必备
- 项目客服
- 培训客服
- 平台客服
TOP




















