技术分享︱多重参考系模型在风扇通风仿真中的自动化实现:精度与效率的工程平衡
更新于2026年3月25日 14:09
引言
在厂房通风、数据中心散热等封闭空间的流体力学仿真中,旋转风扇对全流场流速分布的驱动作用是计算的核心。传统的仿真工作流通常依赖人工进行几何处理、网格划分与求解器设置,难以满足海量工况的快速评估需求。
为解决这一痛点,神工坊®技术团队开发了一套基于 HPC 集群的SimForge™仿真应用平台。该平台将底层复杂的网格拓扑与物理模型封装,实现了从参数输入到结果输出的全自动化。在构建该平台的核心求解逻辑时,如何在“计算精度”与“求解效率”之间取得最佳平衡,是算法选型的关键。
01 MRF模型选型论证

多重参考系模型应用示例
在处理包含旋转机械的计算流体力学问题时,静止域与旋转域动静干涉边界的处理是求解的核心难点。当前工业界针对该类问题的主流处理模型主要分为两类:瞬态滑移网格模型(Sliding Mesh Model, SMM)与稳态多重参考系模型(Multiple Reference Frame, MRF)。
瞬态滑移网格模型(SMM)基于网格的真实物理运动进行非定常求解,能够高保真地捕捉转子与定子交互时的强瞬态气动效应(如尾迹脱落与流场脉动)。然而,SMM 求解严格受限于 Courant 稳定性条件,要求极小的物理时间步长。这导致计算资源与时间成本呈指数级增长,难以匹配 SaaS 平台对高并发与计算结果高效流转的工程需求。
多重参考系模型(MRF)则采用稳态近似策略,将全局计算域在空间上严格解耦为静止域(如厂房宏观环境)与旋转域(如风扇叶轮近场区域)。在数学处理上,静止域内的纳维-斯托克斯(Navier-Stokes)方程在绝对参考系下封闭求解;而旋转域内的控制方程则转换至跟随转子同步旋转的相对参考系下求解,最终通过网格交界面实现动量与质量通量的守恒传递。

单旋转叶轮几何模型
基于宏观封闭空间通风的工程场景特性,全流场的时间平均分布特征(如宏观风流分布、有效风速覆盖率)远比局部的强瞬态动静干涉现象更为关键。因此,本平台底层求解器选型确立为 MRF 模型,并由此引出“冰冻转子法”的工程论证。
在物理等效性上,MRF 模型不考虑旋转域与相邻静止域之间的真实相对位移,相当于将转动部件在其某一瞬态几何相位上“冻结”,进而求解该位置下的稳态流场。基于此物理近似特征,该理论方法在工程计算中被称为“冰冻转子法”(Frozen Rotor Approach)。该方法在确保宏观流场计算精度的前提下,大幅降低了计算开销,实现了求解效率的最大化,是支撑大规模云端自动化仿真落地的理想核心算法。
02 速度变换与算子映射
基于前述的MRF模型(冰冻转子法),旋转域与静止域采用不同的参考系描述。为实现静止网格上的旋转效应模拟,其核心在于速度场的参考系变换,以及动量方程的重构。与瞬态滑移网格方法不同,MRF 求解器并非物理移动网格,而是通过算子对控制方程进行运动学与动力学变换,将旋转坐标系下的惯性力(如科里奥利力、离心力) 以源项形式引入。
2.1 相对速度公式化与附加源项算子

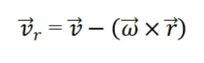
静止与运动参考系
在旋转非惯性系中,流体质点的绝对速度v 与相对速度r 之间由牵连速度算子联系:

其中,ω为旋转角速度矢量,r为位置矢量。
若以相对速度v作为动量方程的求解变量,由于参考系的旋转,必须在动量方程中显式引入两个附加的体积力源项算子,以维持力学平衡。其一为科里奥利力算子(Coriolis Force Operator),表达式为
该算子表征流体在旋转参考系中相对运动时,因参考系旋转而受到的切向与法向偏转效应。其二为离心力算子(Centrifugal Force Operator),表达式为
该算子表征流体随参考系转动时,受到的背离旋转轴向外的径向惯性力。

2.2 绝对速度公式与算子简化
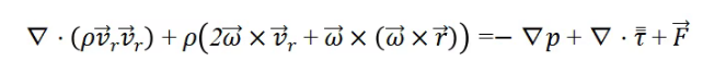
在风扇全流场模拟中,主流底层求解器通常默认采用绝对速度公式化。该方法以绝对速度v作为求解变量,但在计算跨越网格面的对流质量通量时依然使用相对速度v。
通过严格的代数推导,上述复杂的科里奥利力算子与离心力算子可以被合并与化简,最终在动量方程中表现为单一的简化旋转源项算子
化简后的稳态动量方程形式为:

该公式化的工程优势在于,算子的简化不仅降低了计算复杂度,更重要的是,在具有强烈旋流的区域(如风扇尾流区),绝对速度公式化能够有效避免离散化过程中的数值耗散,从而显著提高全场求解的鲁棒性和精度。
2.3 MRF交界面公式化与通量传递
由于计算域被划分为静止域(如厂房)和旋转域(如风扇叶轮),两者的控制方程参考系不同。实现“冰冻转子法”的关键在于交界面(Interface)处的数据传递。
首先是局部参考系转换算子的应用。当底层求解器在旋转域边界计算通量并向静止域传递时,系统会自动应用速度矢量的空间转换算子。
其次是通量守恒的严格保证。无论是采用相对速度还是绝对速度公式化,流经交界面的质量通量(Mass flux)、动量通量(Momentum flux)和其他标量通量,都会通过
关系严格转换为相邻域所在参考系下的表达形式,确保物理量在非一致性(Non-conformal)网格交界面上的绝对守恒。
03 自动化实现与调度
在 SaaS 平台的后台架构中,上述多重参考系理论通过 Python 脚本与底层求解器的高效交互得以实现。该自动化工作流精确映射了 MRF 模型的关键边界设置与求解需求,其核心落地流程涵盖以下三个技术环节。
3.1 区域智能识别与交界面构建
算法自动解析几何空间的拓扑特征,将全局计算域自适应划分为静止域与多个相互独立的旋转域。在此基础上,后台脚本自动生成底层交互指令,创建非一致性网格交界面。该机制确保了动量通量与质量通量在不同参考系边界处的数据插值与严格守恒传递。
3.2 运动参考系的动态映射
针对多风扇阵列的复杂工况,自动化脚本动态读取前端输入的风扇空间坐标与转速参数,精准定位每个转子的旋转轴与原点。通过这一映射过程,旋转角速度 ω 的物理定义被精确转化为底层求解器所识别的运动参考系边界条件,实现了非惯性系算子的自动施加。
3.3 HPC 并行调度与高效求解
针对多风扇流场引入的千万级网格规模,平台架构在底层深度集成了 Slurm 等高性能计算集群调度系统。通过脚本动态配置节点资源与通讯文件,系统调用 OpenMPI 驱动底层 CFD 求解器执行多节点跨核并行计算。该架构在保证流场宏观计算精度的前提下,实现了仿真任务的高并发与高效流转。
04 结语
本文从工程痛点出发,深度解构了 SaaS 化通风仿真平台底层的核心计算理论。通过引入稳态多重参考系(MRF)模型,并利用非惯性系下速度场与动量方程的算子变换,神工坊®技术团队成功在计算精度与求解效率之间找到了最优解。结合 HPC 集群与 Python 自动化脚本,复杂的物理算子与底层交互被完全黑盒化。这不仅大幅降低了多风扇联合仿真的门槛,也为同类流体计算的 SaaS 化落地提供了可靠的技术参考。

工程师必备
- 项目客服
- 培训客服
- 平台客服
TOP




















