[VirtualLab] SiO2膜层的可变角椭圆偏振光谱(VASE)分析
2026年4月9日 09:02摘要
可变角度椭圆偏振光谱仪(VASE)是一种常用的技术,由于其对光学参数的微小变化具有高灵敏度,而被用在许多使用薄膜结构的应用中,如半导体、光学涂层、数据存储、平板制造等。在本用例中,我们演示了VirtualLab Fusion中的椭圆偏振分析器在二氧化硅(SiO2)涂层上的使用。对于系统的参数,我们参考Woollam等人的工作 "可变角度椭圆偏振光谱仪(VASE)概述。I. 基本理论和典型应用",并研究该方法对轻微变化的涂层厚度有多敏感。
![[VirtualLab] SiO2膜层的可变角椭圆偏振光谱(VASE)分析的图1](https://q7.itc.cn/images01/20260409/c025c4e92343445e9c6175e8fe6a6784.png)
任务描述
![[VirtualLab] SiO2膜层的可变角椭圆偏振光谱(VASE)分析的图2](https://q6.itc.cn/images01/20260409/2531a1fdf0154ff9926de12b5f0edcf2.png)
镀膜样品
关于配置堆栈的更多信息。
利用界面配置光栅结构
一般光栅组件能够对周期性结构进行建模。在各向同性的情况下,使用一个非常小的周期,以确保只有0阶会传播。二氧化硅层也是根据参考文献来定义的。
- 涂层厚度:10纳米
- 涂层材料。二氧化硅
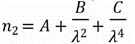
- 折射率:扩展的Cauchy模型。
![[VirtualLab] SiO2膜层的可变角椭圆偏振光谱(VASE)分析的图3](https://q1.itc.cn/images01/20260409/0e528e9e5d094f2abdbb7e0133748f26.png)
𝐴 = 1.44, 𝐵 = 0.00422𝜇𝑚², 𝐶 = 1.89𝐸 - 05𝜇𝑚4
- 基板材料:晶体硅
- 入射角度。75°
![[VirtualLab] SiO2膜层的可变角椭圆偏振光谱(VASE)分析的图4](https://q1.itc.cn/images01/20260409/e2fa2835df51487fab5580a03b3b4e18.png)
椭圆偏振分析仪
![[VirtualLab] SiO2膜层的可变角椭圆偏振光谱(VASE)分析的图5](https://q0.itc.cn/images01/20260409/82b53454bb434f2c976ea325467cc8bc.png)
椭圆偏振分析仪用于计算相位差𝛥,以及反射光束的振幅分量Ψ。
有关该分析仪的更多信息可在这里找到。
椭圆偏振分析仪
![[VirtualLab] SiO2膜层的可变角椭圆偏振光谱(VASE)分析的图6](https://q1.itc.cn/images01/20260409/f60f98a161bd419081a364ae58a1bad3.png)
总结 - 组件...
![[VirtualLab] SiO2膜层的可变角椭圆偏振光谱(VASE)分析的图7](https://q6.itc.cn/images01/20260409/81a09a73c67846a59393c1b46892b613.png)
![[VirtualLab] SiO2膜层的可变角椭圆偏振光谱(VASE)分析的图8](https://q6.itc.cn/images01/20260409/8103d46bc23a4dba97042eb27f0bc06e.png)
椭圆偏振系数测量
椭圆偏振分析仪测量反射系数(s-和p-极化分量)的比率𝜌,并输出相位差𝛥,以及振幅分量Ψ,根据
![[VirtualLab] SiO2膜层的可变角椭圆偏振光谱(VASE)分析的图9](https://q1.itc.cn/images01/20260409/841553eca5a34626b5758425e4b85b17.png)
在VirtualLab Fusion中,复数系数𝑅p和𝑅s是通过应用严格耦合波分析(RCWA),也被称为傅里叶模态法(FMM)来计算。因此,在研究光栅样品的情况下,这些系数也可以是特定衍射阶数的瑞利系数。
![[VirtualLab] SiO2膜层的可变角椭圆偏振光谱(VASE)分析的图10](https://q2.itc.cn/images01/20260409/6f0c4320239f44f58a42769fb7d86585.png)
椭圆偏振对小厚度变化的敏感性
为了评估椭偏仪对涂层厚度即使是非常小的变化的敏感性,对10纳米厚的二氧化硅层和10.1纳米厚的二氧化硅膜的结果进行了比较。即使是厚度的微小变化,1埃的差异也高于普通椭圆偏振的分辨率(0.02°为𝑇,0.1°为𝛥*)。因此,即使是涂层中的亚纳米变化也可以通过椭偏仪来测量。
![[VirtualLab] SiO2膜层的可变角椭圆偏振光谱(VASE)分析的图11](https://q9.itc.cn/images01/20260409/263de2f3aed84f9b91dddcd77cbdab29.png)
* 数值根据Woollam et al., Proc. SPIE 10294, 1029402 (1999)
仿真结果与参考文献的比较
被研究的SiO2层厚度变化为1埃时,𝛹和𝛥的差异。
![[VirtualLab] SiO2膜层的可变角椭圆偏振光谱(VASE)分析的图12](https://q5.itc.cn/images01/20260409/ab933866edcd43d3bfb8fe6cc08ac90c.png)
VirtualLab Fusion技术
![[VirtualLab] SiO2膜层的可变角椭圆偏振光谱(VASE)分析的图13](https://q2.itc.cn/images01/20260409/2dec936edeec4472891c9f6b3ec4c37f.png)
![[VirtualLab] SiO2膜层的可变角椭圆偏振光谱(VASE)分析的图14](https://q3.itc.cn/images01/20260409/cd04600c5b8743609eb96531f0ea7c75.png)
文件信息
![[VirtualLab] SiO2膜层的可变角椭圆偏振光谱(VASE)分析的图15](https://q1.itc.cn/images01/20260409/5351eb9e425149d295efbfc86d4c9163.png)
更多阅览
- Ellipsometry Analyzer
工程师必备
- 项目客服
- 培训客服
- 平台客服
TOP




















