伯努利方程的来龙去脉
一、伯努利方程的历史
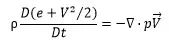
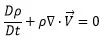
伯努利方程是流体力学最著名的方程之一。这个方程将流场中的压强变化与速度变化联系在一起,因此在流场分析中成为不可或缺的分析工具。丹尼尔●伯努利在1738年发表的Hydrodynamica一书中最早关注到速度与压强之间的相关关系。在图1所示的管道实验中,丹尼尔发现流速高的地方液柱下降,流速低的地方液柱上升。丹尼尔的父亲约翰●伯努利在1743年发表的Hydraulica一书中对压强概念做了更深入的阐释。丹尼尔认为压强仅是与液柱高度有关的一个量,约翰则认为压强是作用在流体上的力,并且是一个与流场中的点相关的变量。

图1 丹尼尔●伯努利所做的管道实验
这里有一个有趣的插曲,父亲约翰●伯努利是个性格古怪、同时对名誉看得很重的人,为了抵消儿子丹尼尔的影响力,他把自己书的出版日期从1743年改为1728年,以显示这个压强-速度关系是他先提出的。

图2 丹尼尔●伯努利、达朗贝尔和欧拉
丹尼尔●伯努利发现压强与速度之间的关系后,并没有将这个关系表述为我们熟悉的伯努利方程,因为在他发现这个关系的时候,偏微分方程还没有作为数学工具引入流体力学的研究。将偏微分方程引入物理学研究的是达朗贝尔,达朗贝尔在1747年将偏微分方程引入物理学并建立了数学物理,并且在1749年写出微分形式的流体力学连续方程。连续方程是质量守恒定律在流体运动中的数学表达。作为达朗贝尔的有力竞争者,欧拉在1757年利用偏微分方程描述理想流体流动,并写出理想流体的动量方程。由此,丹尼尔●伯努利、达朗贝尔和欧拉成为理论流体力学的奠基人。欧拉将理想流体的动量方程积分后得到我们熟知的伯努利方程,因此,严格地说,伯努利方程也可以用欧拉的名字命名。
二、伯努利方程的推导
伯努利方程有三种形式,一种是由欧拉沿流线积分得到的伯努利方程,还有一种是引入无旋条件后,在整个无旋场内成立的伯努利方程,最后一种是用理想、绝热流体的能量方程积分后得到的可压缩流的伯努利方程。
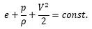
2.1 理想流体动量方程沿流线积分
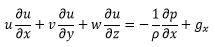
在直角坐标系中,理想流体沿x轴方向的动量方程为:
|
(1) |
伯努利当年考虑的是管道中定常水流的压力和速度的关系,因此(1)式中的非定常项和重力项可以暂时忽略,进而简化为:
|
(2) |
将上式乘以dx可得:
|
(3) |
流线方程为:
|
(4) |
将流线方程引入(3)式可得:
|
(5) |
注意到:
|
(6) |
(5)式既变为:
|
(7) |
即:
|
(8) |
同理可在y轴和z轴方向得到类似的关系:
|
(9) |
将x、y、z三个方向的方程相加可得:
|
(10) |
注意到:
![]() |
(11) |
所以(10)式变为:
|
(12) |
即:
|
(13) |
此式就是欧拉最早得到的沿流线的动量方程,将此式积分后可得:
|
(14) |
将右端的常数const.写为压强形式,既有:
|
(15) |
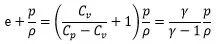
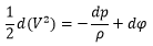
这就是我们熟悉的不可压流的伯努利方程,其左端两项分别为流体的静压和动压,右端项为总压。这个方程表征的是流体中机械能的守恒关系。在等熵流动中,总压是个常数,因此速度(动压)和压强(静压)之间就存在如丹尼尔●伯努利所说的那种“此起彼伏,此消彼长”的跷跷板关系。
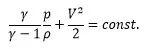
(15)式中的伯努利方程是从理想动量方程沿流线积分得到,因此我们说它沿流线成立。在非均匀流场中,总压分布不均匀,因此不同流线对应的总压不相等,伯努利方程就不能在全流场成立。在均匀流场中,总压分布均匀,各条流线的总压相同,此时伯努利方程就可以在全流场成立,因而就可以在不同流线之间使用。判断流场是否均匀的一个窍门是看流场入口附近流场是否为均匀场,比如一个不可压流场的入口静压、速度都是均匀分布的,则由于流场内部是无粘的,整个流场必然是均匀的,此时就可以在全流场使用伯努利方程,比如远前方直匀流绕过翼型的流动就可以看作全场均匀流,因而可以在全流场使用同一个伯努利方程进行计算(图3)。

图3 直匀流绕翼型流动
2.2 无旋流场的伯努利方程
除了均匀流可以在全场使用同一个伯努利方程外,无旋流也可以在全场使用同一个伯努利方程。流场无旋的意思是速度场的旋度为零,即:
|
(16) |
打开上式有:
|
(17) |
由此式可得:
|
(18) |
将(18)式代入x轴方向定常理想流体动量方程(2)可得:
|
(19) |
即:
|
(20) |
同理可得y、z两个方向的两个类似的方程:
|
(21) |
将x、y、z三个方向的方程分别乘以dx、dy、dz,然后相加既有:
|
(22) |
此式与(12)式完全相同,积分后可以得到形式相同的伯努利方程(15),但这个伯努利方程是在引入无旋条件后获得的,因此在无旋流场中处处成立。
2.3 计入彻体力的伯努利方程
在上面的推导中没有考虑彻体力的影响。彻体力主要包括重力和电磁力两种,在水利工程、大气动力学和洋流分析等大尺度问题中,重力不可忽略,对于等离子体流场而言,电磁力不可忽略。在(2)式中将重力项添加进去可得:
|
(23) |
在引入流线方程(4)或无旋关系(16)后,形式相同的(12)式和(22)均变为:
|
(24) |
因为重力为有势力,假设重力位势函数为
,则有:
|
(25) |
则(24)式变为:
|
(26) |
积分后可得:
|
(27) |
这个公式适用于彻体力为有势力的问题,最常见的就是重力问题。如果计算中采用的坐标系z轴与重力方向重合,则(27)式还可以写成:
|
(28) |
2.4 无旋流场中的非定常伯努利方程
在无旋流场中,由于速度场是无旋的,所以必定存在一个速度势函数
,使得:
|
(29) |
这样一来可以保留(1)式中的非定常项,积分后得到非定常形式的伯努利方程:
|
(30) |
2.5 可压缩流中的伯努利方程
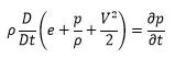
前边讲述的伯努利方程都是在不可压流场中成立的,在可压缩流场中也有伯努利方程,不过其来源是直接从能量方程得到的,而不是从动量方程积分得到。能量这个概念最早来源于亚里士多德提出的“活力”的概念,在17世纪后期莱布尼茨发现重力势能与动能之和存在守恒关系,18世纪丹尼尔●伯努利和欧拉发现流体中的压力位能与动能之间存在守恒关系,19世纪中期迈尔发现能量守恒关系,热力学第一定律才宣告问世。但是比较可惜的是流体力学中的能量方程究竟是谁最早提出的已经不可考,所以这里我们只能直接使用这个方程,而无法详述其历史。绝热、理想流体的能量方程为:
|
(31) |
其右端项可分解为:
|
(32) |
另有:
|
(33) |
同时连续方程为:
|
(34) |
将(32)式代入(31),(34)式代入(33)式,再将(31)式与(33)式相加整理可得:
|
(35) |
在流动为定常流时,(35)式右端为零,可得:
|
(36) |
注意到:
|
(37) |
则有:
|
(38) |
则(36)式可以写为:
|
(39) |
或:
|
(40) |
(40)式与欧拉给出的伯努利方程非常相似,因此比较容易记忆。上式在推导过程中引用了理想气体状态方程、比热比定义式和定压比热与定容比热关系式:
|
除此以外,我们引入焓的定义:
|
(41) |
则从(36)可知:
|
(42) |
即:
|
(43) |
这个方程在形式上与不可压流伯努利方程形式上相同,仅仅是用焓代替了压强,在可压缩流理论中是很常见的一个方程,其中的h为静焓,
为总焓。
三、伯努利方程的应用
伯努利方程在流体力学中有广泛的应用,比如用于测量流场内某个点上流速的皮托管,用于测量管道流速的文丘里管等等。

图4 皮托管测速原理
皮托管用于测量流场内的流速,其理论依据就是(15)式所示的伯努利方程。由(15)式可知,只要知道了流场一点处的总压和静压,就可以算出该点的流速。皮托管就是利用这个原理进行流场的流速测量。图4是皮托管的原理图:将两个直径不同的同心圆管套装在一起,中心的细圆管在顶端开口,外面的粗圆管在圆管侧面开口。将这个套管放置在流场中,让顶端的开口迎风放置,尽量使管道轴线与来流流线平行,则此时侧面开口应与来流流线平行。由于来流速度在顶端的开口处滞止为零,而在侧面开口处与当地流场静压相同,因此可以用这种办法同时获得总压和静压。在测出这两个压强的值后,再利用(15)式就可以得到当地的流速。
皮托管是在1732年由法国工程师皮托设计出来的,这个时间比丹尼尔●伯努利提出伯努利原理早了6年,比欧拉写出伯努利方程早了25年。当时皮托接受委派去测量塞纳河的水流,他发现在给定水深的地方,正对着水流的管道入口处的测压液柱的高度与流速平方成正比,并据此设计出了早期的皮托管。图4中的皮托管则是在19世纪中叶由达西改造而成的。根据(15)式,皮托当时实际上发现了在静压不变时,总压与速度平方成正比。这一点早于伯努利方程的提出,因此也成为工程实践早于理论成果的一个实例。

图5 文丘里管测流量
文丘里管通常用来测量管道流量速率(Flow Rate),这种测量装置是在1797年由意大利物理学家、学者文丘里设计制作的。如图5所示,将(15)式分别在1、2两点写出,再做适当变换既有:
|
(44) |
同时1、2两点处流量相等:
|
(45) |
这里A代表管道的横截面积。假设1、2两点的横截面积和流体密度是已知的,因此将(44)、(45)两式联立,在测出1、2两点的压强差之后,就可以解出1、2点的速度,进而求出管道的流量。

图6 NACA 0012翼型绕流
伯努利方程还经常用来解释“飞机为什么会飞”这样的问题。如图6所示,流经翼型上下的两股气流,上面的气流流管变窄,局部速度提高,压强下降;下面的气流流管变宽,局部速度降低,压强上升,因而在上下翼面产生压强差,最终形成的合力有向上的分力和向后的分力,向上的分力就是升力,向后的分力就是阻力。当升力大于重力时,飞机就飞起来了。
以上详细介绍了伯努利方程的来龙去脉,希望对大家有帮助!
来源:流体中文网公众号,版权归作者所有。
工程师必备
- 项目客服
- 培训客服
- 平台客服
TOP

































































