基于abaqus的血管支架有限元模拟分析
血管支架是一种薄壁管状结构,利用其可扩张的特性,借以支撑血管狭窄部位来治疗冠状动脉。
本文利用creo3.0 绘制了血管支架及相关模型,并利用abaqus仿真分析了某型号血管支架植入人体过程中的准静态受力分析。对血管支架的研究设计以及血管支架的医学植入具有一定的理论指导意义。
一、模型的建立
血管支架治疗的过程为:在植入前,将血管支架放在气囊外侧,并将其运输到动脉血管狭窄部位处。通过给气囊充气,致使血管支架支撑狭窄部位的血管壁。为了全面仿真某型号血管支架的植入过程,本文建立了气囊、血管支架、血小板、血管四个物理模型。
1.1 气囊
气囊的图形如下图1所示。两边为半球,中间为圆柱。气囊的初始直径为1.4mm,厚度为0.02mm,长度为10mm。由于气囊很薄,模型中使用薄膜单元。考虑到creo与abaqus 的连接关系,在abaqus中建立气囊模型。

图1 气囊物理模型图
1.2 血管支架
血管支架由主筋和连接筋组成。主筋的草绘图形如下图2所示,连接筋的示意图如下图3所示。

图2 主筋的草绘示意图

图3 连接筋的草绘示意图
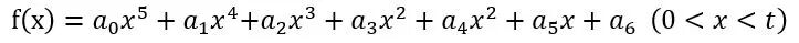
为了使连接筋与主筋在连接处光滑过渡,在主筋和连接筋之间有一处很短的过渡的直筋。连接筋的曲线取x的五次多项式,函数如下式1所示。
函数f(x)需要满足f(0)、f(p)、f(t)等于0;同时f’(0)=0, f’(t)=0。考虑到以上函数的条件,我们将函数表达式改为是式(2)所示

其中,p为使f(x)取最大值为p1。
模型首先通过在creo建立,并导入到abaqus中。相关的物理模型如下图4所示。

图4 血管支架的模型
1.3 血小板
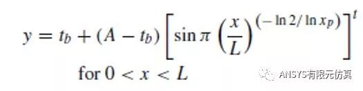
血管壁内部积累了一定数量的血小板。血管壁内部紧缩的物理曲线模型使用如下式(3)3所用的解析几何模型。

其中,L为血管壁的长度,A为厚度。相应的血管壁上聚集的血小板物理模型如下图5所所示。

图5 血小板的模型
1.4 血管
血管被视为圆柱形,内径为3mm,外径为4.4mm,长度为15mm。相应的物理模型如下图6所示。

图6 血管的物理模型
二、网格的划分
2.1 气囊
气囊的单元采用显示动力学缩减积分四节点薄膜单元M3D4R。网格划分中单元的尺寸为0.1mm,气囊的材料模型选用弹性模型。
2.2 血管支架
血管支架的单元采用显示动力学缩减积分八节点单元C3D8R。为了使血管支架可以进行扫描划分方法,需要对从creo导入进来的模型进行拓扑合并以及相关的切割操作。网格划分的单元尺寸为0.02mm。主筋的材料模型选用Ti-Ni形状记忆合金。相关材料的物理性能参数采用东北大学裴丽丽硕士论文《生物医用TiNi形状记忆合金的制备及性能研究》中相关性能参数。
2.3 血小板
血小板的单元采用显示动力学缩减积分八节点单元C3D8R。网格划分的单元尺寸为0.4mm。血小板的材料模型选用6项式超弹性模型,其中材料模型中D取0,材料具有不可压缩性。
2.4 血管
血管的单元采用显示动力学缩减积分八节点单元C3D8R。网格划分的单元尺寸为0.5mm。血小板的材料模型选用Neo-Hookean超弹性模型。整个模型划分网格的节点总数量为213067,单元的数量为146814。装配体的划分网格后的模型图7所示。

图7 装配体的网格划分结果图
三、载荷及边界条件
3.1 载荷
气囊进入血管壁紧缩部位,对气囊进行充气,到一定压力后保持,进而泄气。因此,本文采用如下的加载方式:在0-0.03s之间,给气囊内表面施加3.6Mp的压力;在0.03~0.05s之间保持压力3.6Mpa;从0.05~0.06s之间,压力逐渐将为0。选用abaqus中的光滑幅值加载曲线。
3.2 边界条件
固定血管的两端,使其U1,U2,U3等于0。同时血管由于模型的对称,在血管中间部位只存在径向位移,因此需要约束血管中间面的轴向位移,为了加载这一边界条件,在模型的建立中,需要对模型进行分割处理。
3.3 接触的设置
在载荷分析的初始,设置主筋和连接筋为Tie连接,同时血小板和血管也为Tie连接。在第一步分析时,设置气囊和血管支架、血管支架和血小板、气囊和血小板为surface-to-surface 连接。算法采用罚刚度算法,滑移选用有限滑移。接触类型中,正向压力采用硬接触,切向压力中,摩擦系数选为0.2。同时,气囊的外表面设置为自接触。
3.4 模型的求解
由于本文模型运用的是abaqus的显示动力学求解准静态模型,因此,需要采用一定的方法来加速问题的模拟。在abaqus中准静态加速分析的方法包含质量放大,加大加载速率等方式。
Abaqus explicit中稳定的时间增量与单元的特征长度成正比,与材料的膨胀速度成反比;而材料的膨胀速度与弹性模量的根方成正比,与材料的密度根方成反比。增加abaqus explicit 求解时的稳定增加时间增量,以加快求解速度。因此,在模型的求解中通过提供材料的密度进而对物体的质量进行放大,以实现求解速度的加快,经过多次尝试之后,本文采用的质量放大系数为1000。
四、结果的分析
4.1 评估结果的有效性‘’
评估abaqus explicit模拟是否产生了正确的准静态响应分析。具有普遍意义的方式是研究模型中的各种能量。式4是abaqus explicit 中的能量平衡方程。

作为一般性的规律,在大多数过程中,变形材料的动能将不会超过其内能的一个很小的比例(典型的为5%~10%)。

图8 动能和内能岁时间的变化关系图
本文求解中,动能与内能变化曲线的关系如图8所示。模拟过程中,动能占内能的比例为(0.611/9.519)6%左右,因此此次的准静态模拟结果是可接受的。
4.2 不同阶段的血管支架的扩张图
如下图9所示为不同阶段处气囊和支架的扩张图。在开始阶段,气囊未与支架进行接触,气囊独自膨胀,当气囊与支架进行接触后,气囊与支架进行扩张,在0.042时,支架膨胀到最大,后支架进行收缩,即进行弹性回弹,因为支架的弹性变形。根据下式(4)的表达式求解回弹半径。

计算得到相关的回弹半径为0.145mm。

(a)

(b)


(c)

(d)
图9 不同阶段血管支架和气囊的扩张图
(a) 0s (b)0.03s (c)0.039s (d)0.06s
4.3 血管支架应力分布

图10所示为血管支架最大等效应力随时间的变化曲线。整体上,血管支架的最大等效应力随着时间的进行,先增大,继而保持不变,再下降的趋势。曲线上的异常的点可能由于网格的畸变引起的应力变化。

图11 血管支架的等效应力分布图

图12 血管支架的最大塑性主应变分布图
图11和图12分别为血管植入结束后血管支架的等效应力和最大塑性主应变的分布图。由图11可知,植入结束后等效应力的峰值在主筋与连接筋的连接处,这是因为这个设计是使血管膨胀的一个特点。最大的塑性主应变发生在主筋的圆弧拐角处,这是防止血管回弹设计的主要特点。
4.4 血小板和血管壁的应力分布
图13和图14分别为血管植入结束血小板和血管壁的等效应力分布图。在血小板处,血管与血小板连接的部位是最大应力的发生部位,最大应力为0.013Mpa。血管的内应力要小于血小板处的内应力。因为支架设计和血小板物理模型的原因,血小板的最大应力发生在血小板的中间。

图13 血管支架的等效应力分布图

图14 血管壁的等效应力分布图

工程师必备
- 项目客服
- 培训客服
- 平台客服
TOP




















