首页
学院
直播
问答
悬赏
全部悬赏
发布悬赏
专家入驻
会议
社区
CAE工程师认证
CAE服务
搜索
发布
注册
/
登录
注册领
666
大礼包
化学工艺
关注
发布
化学工艺论坛,化学工艺的问答讨论,以及视频教程、实例教学等学习资料分享。
全部分类
文章
视频
问答
最新发布
最新评论
精华
全部
我的发布
我的收藏
我的点赞
关注的问答
帖子
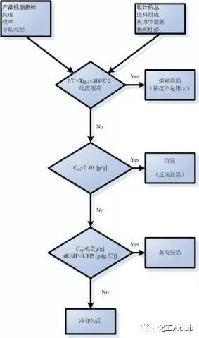
工业结晶过程的设计程序
化工设备人
3259
2023-02-23
随着工业界对工业结晶技术了解程度的加深,越来越多的企业想通过结晶这个手段来提高自己产品的品质。所以本文侧重介绍对于某一特定体系,如何进行工业结晶过程的设计。以便使企业和科研单位沟通更有共同语言,利于交流。 结晶工艺当前的状况 因为虽然工业结晶技术受到前所未有的重视,市场日益需要对工业结晶及后续过程进行开发、优化、控制和管理,但遗憾的是,至今为止还没有一个系统的设计程序和理想的控制模型来实现前述的目
帖子
技术邻直播讲师招募中!更有现金补贴等你来!
技术邻公告
4793
9
17
2022-11-29
2022 技术邻直播讲师招募 把握现在机遇 双赢美好未来 详情介绍 直播目的:干货知识分享 所属行业:任何行业 (诚邀船舶行业和能源行业的) 直播要求:时间、内容、主题、地点、不限 直播方式:线上讲课模式(以PPT或软件操作为主、无须露脸) 直播设备:一台电脑即可 直播周期:可长期或只直播一两场 直播福利:我们会提供一定的现金补贴!!! 联系方式 只要感兴趣的用户都可以来咨询 扫码回复【直播咨询】
帖子
反应釜搅拌器的分类、选型与特点!
化工设备人
4688
2022-11-29
搅拌器是反应釜关键部件之一,根据釜内不同介质的物理学性质、容量、搅拌目的等选择相应的搅拌器,对促进化学反应速度、提高生产效率能起到很大的作用。 掌握搅拌器的分类及适用场合有助于选择合适的搅拌器,达到更好的反应效果! 一、反应釜的应用 反应釜是广泛应用于石油、化工、橡胶、农药、染料、医药、食品,用来完成硫化、硝化、氢化、烃化、聚合、缩合等工艺过程的压力容器。 二、反应釜的组成 反应釜由釜体、釜盖、夹
案例
工业硅基础知识系列一:有机硅
化工交流
5289
1
2
2
2022-11-29
有机硅化合物是指含有硅碳键的化合物,且至少有一个有机基团通过硅碳键结合到硅原子上。如甲基硅烷CH3SiH3、二甲基二氯硅烷(C2H5)2SiCl2等都是有机硅化合物,而SiC、Si3N4等则属于无机硅化合物。 自然界中至今未发现有机硅化合物的存在,只有在动物羽毛和禾本科植物中发现有硅酸酯类化合物,但这类物质并不含有硅碳键(Si-C),而只是含有硅-氧碳键(Si—O—C)。 有机硅高聚物
帖子
常见DCS工艺流程图识别!
金属材料的世界
3796
1
3
2022-11-29
每一个项目在投标前都会经设计院设计工艺流程图,然后投标者依据流程图上标识的DCS控制点及设备连接线路和连锁来分析控制原理。但是对于刚刚接触DCS行业的人员,或非自动化专业人员,难免会遇到无法正确识别DCS工艺流程图中图形符号的困扰,导致无法正确读图 针对该现象,小编特提供以下常见图形符号及代码表示,方便大家学习。 #管道符号识别 1、主要物料管道、辅助物料管道、引线、管件、阀门、仪表线和设备轮廓线
帖子
炼化装置中变压吸附(PSA)工艺原理、特点及单元程控阀的应用
化工交流
5296
2022-11-17
编 辑 | 化工活动家 来 源 | 中石化长城能源 石油化工自动化 作 者 | 孙震 关键词 | 炼化装置 PSA 程控阀 共 3021 字 | 建议阅读时间 13 分钟 导 读 采用变压吸附(PSA)进行气体分离的工艺原理是依靠吸附剂在物理吸附过程中所具有的两个基本性质: 一是对不同组分的吸附能力不同,可实现对混合气体中某些组分的优先吸附而使其他组分得以提纯; 二是吸附质在吸附剂上的吸附容量随吸
帖子
工艺流程图正确的画法
化工交流
5385
1
1
2022-11-17
工艺流程图 工艺流程图是化工生产的技术核心,包含了物料平衡、设备、仪表、阀门、管路等信息,每一个化工厂都有一份独一无二的工艺流程图,可以说从一份完整工艺流程图中可以看中一个工厂大部分的技术信息。所以无论是设计院的工程师、化工厂的工艺员、还是中控控制室的主操能看、能画工艺流程图,都是必不可少的技能。 今天小编就向大家介绍,工艺流程图包括哪些,重点介绍PID的制图标准与常用图例。 工艺流程图内容 既然
帖子
技术邻双十一专题领券通道
技术邻公告
4264
11
12
2022-11-09
九月初,技术邻将推出「专业」和「专题」模块。 专题」的使命是让志同道合的工科人相聚,不论是主流技术还是小众软件,都能精准地聚集大批同好邻友。 「专题」归属于「专业」。首次更新,我们将推出近20个「专业」,一百多个「专题」。目录涵盖软件、应用、技术、研究对象...等工科方方面面。 「专题」是属于工科人的表达和交流思想的自由平台,您可以在专题下学习知识、分享案例、结交同行,体验别具特色的工科互动平台。
帖子
干货!化工工艺流程图符号大全
化工交流
5534
1
1
2
2022-11-08
看到各种化工工艺流程图的时候,总是一片茫然,满脸懵逼!看到图中各种奇形怪状的符号不知所指。关于流程图的设备、管件管道、阀门、仪表四大方面都有哪些符号呢?一起来看看! 四 大 方 面 设备、管件管道、阀门、仪表 设备符号 常用 重点说明 管件管道符号 常用图例及说明 管件图例 阀门 常见阀门 阀门重点说明 仪表 常见仪表 安装位置 其它 最 常 用 图 例 压力管道工艺流程设计 本平台转载文章内容仅
帖子
石化废水处理方法和工艺有哪些?特点是什么?
化工设备人
3682
1
2022-10-12
石化废水种类多!都有什么特点?有哪些废水处理方法和工艺? 石化废水的特点 石油化工废水种类繁多,组成复杂,毒性大,抑制生物降解和浓度高,主要特性如下: 1、水量大、水质复杂和变化大 石油化工生产规模趋向于大型化,生产过程中需加入各种溶剂、助剂和添加剂,再经过各种反应。因此,污水水量大,成份相当复杂。 2、有机污染较严重 石油化工污水所含的有机物主要是烃类及其衍生物。某些石化装置排出的高浓度的废液经
案例
全国首套芳烃型移动床轻烃芳构化装置的设计及工业应用
化工交流
4181
1
2022-10-12
来 源 | 洛阳院 炼油技术与工程 作 者 | 郭劲鹤 导 读 轻烃芳构化是一种以轻烃(C4~C7)为原料,以改性分子筛为催化剂,将低分子的烃类直接转化为苯、甲苯和二甲苯(BTX)或汽油等轻质芳烃的石油加工技术。BTX是最具代表性的芳烃产品,已被广泛应用于多种化工产品的制备过程中。大力发展芳烃生产符合传统炼油企业由燃料型向化工型转型的发展趋势。 由中石化石油化工科学研究院(石科院)与中石化洛阳工程
案例
典型乙烯装置(顺序分离流程)冷分离单元扩能改造方案优化总结
化工交流
4889
4
2022-09-28
来 源 | 乙烯工业 SEI 作 者 | 刘永莉 关键词 | 乙烯装置 顺序分离 扩能改造 共 6842 字 | 建议阅读时间 20 分钟 导 读 对于乙烯分离工艺技术,典型的分离流程主要包括顺序分离流程、前脱乙烷流程、前脱丙烷流程。顺序分离流程以鲁姆斯(Lummus)公司技术为代表,其主要特点为:五段裂解气压缩,三段出口碱洗,顺序分离,低压脱甲烷,碳二碳三后加氢。国内多套乙烯装置采用顺序分离流程
帖子
关于特殊精馏的介绍
化工交流
4612
1
2022-09-21
亲爱的旁友们,你们知道什么是特殊精馏吗?特殊精馏有哪些种类?添加剂精馏和复合精馏有什么特点?什么是非常规条件下的精馏?今天就跟大家说说什么是特殊精馏。 come on,旁友们! 什么是特殊精馏? 当待分类组分之间形成共沸物或相对挥发度接近1时,用普通精馏是无法实现分离或是经济上不合理的。此时,向体系中加入一种适当的新组分,通过与原体系中各组分的不同作用,改变组分之间的相对挥发度,使系统变得易于分离
案例
丙烷脱氢(PDH)制丙烯反应及再生原理及工艺流程详细解读
化工交流
8602
2
2022-09-13
文章来源| 化工活动家 来 源 | 炼油技术与工程 乌石化研究院 作 者 | 许磊等 导 读 目前,全球大部分丙烯来自于乙烯蒸汽裂解和炼油厂催化裂化的副产品。丙烷脱氢制丙烯技术(PDH)与其他烯烃生产技术相比,具有产品收率高、路线简单的优势,并可副产高附加值氢气。国内丙烷脱氢制丙烯装置大多采用进口丙烷为原料,本文采用炼油厂副产丙烷气进行丙烷脱氢制丙烯的工艺研究,考察反应温度、空速、载气、再生温度等
帖子
化学合成过程中的工艺安全
化工交流
3620
2022-09-13
化学合成生产工艺复杂,包括回流、蒸馏、冷冻、酸化、碱化、压滤等工艺过程,常有高温、高压、负压,并大量使用易燃易爆危险化学物品。 许多化学单元反应有燃烧爆炸危险,反应中产生的中间体或副产品也大多易燃易爆,有些反应还使用活性镍、钯炭等极易自燃的物质作为催化剂。所以化学合成生产过程中的危险性较大。 一、备料 在生产现场,易燃易爆、剧毒、腐蚀、强氧化剂、遇水燃烧等危险化学物品的存量原则上
帖子
多效蒸发技术在高盐废水处理中的应用,超详细!
化工交流
3363
1
2022-09-06
多效蒸发处理器主要用来处理高浓度、高色度、高含盐量的工业废水。同时,回收废水处理过程中产生的附产品。蒸汽耗量低、蒸发温度低、浓缩比大、更合理、更节能、更高效。本文将介绍多效蒸发器在废水处理中的应用。 工业废水分类通常有以下三种: 第一种是按工业废水中所含主要污染物的化学性质分类,含无机污染物为主的为无机废水,含有机污染物为主的为有机废水。例如电镀废水和矿物加工过程的废水,是无机废水;食品或石油加工
帖子
8大行业、27个高浓度难降解废水处理技术及典型工艺流程
化工加
3593
1
2022-08-30
高浓度难降解有机废水是指有机物浓度(以COD计)较高,一般均在2000mg/L以上,有的甚至高达每升几万至十几万毫克;所谓“难降解”是指这类废水的可生化性较低(BOD5/COD值一般均在0.3以下甚至更低,难以生物降解。所以,业内普遍将COD浓度大于2000mg/L,BOD5/COD值低于0.3的有机废水统一称为高浓度难降解有机废水。本文设计8大行业、27个高浓度难降解废水处理技术及典型工艺流程!
帖子
搅拌对结晶的影响
化工交流
4667
1
2022-08-18
常见的结晶釜搅拌(Stirred tank crystallizer)是如图中a所示的轴流桨式,这里作者设计了一个类似锚式的刮壁搅拌桨(scraped surface crystallizer),并选取了三个不同类型的API来研究搅拌对结晶的影响。 第一个是ibuprofen(IBP),将水滴加到25 °C的IBP的DMSO溶液中进行结晶。使用ST轴流桨式搅拌60 rpm转速结晶时,搅拌不好,25
帖子
中石化九大拟建在建乙烯工程汇总,产能超千万吨级
化工707
3686
2022-08-18
来到2022年8月,中石化有多个百万吨级的乙烯项目陆续在全国多地进行建设,总产能超过千万吨级。 中石化百万吨乙烯项目 01 中石化岳阳150万吨/年乙烯工程 中石化在岳阳布局炼油化工一体化项目(1500万吨/年炼油和150万吨/年乙烯),是中石化实施“建设世界领先清洁能源化工公司”战略和“一基两翼三新”发展布局的重要内容。有利于巴陵石化、长岭炼化两家企业优化资源配置、提高资源利用效率、提高盈利水平
帖子
碳中和背景下的化工行业十大发展趋势!
化工活动家
2893
2022-08-08
碳中和是未来中国化工行业一个比较确定性的发展趋势,在碳达峰及碳中和的“双碳”发展趋势下,中国化工行业将会迎来巨大的转变。转变的大方向,小编认为将会是化工产业转型升级、减碳及双碳能源革命的转变。 在这样的大趋势下,中国化工行业发展将会出现怎样的变化?小编对未来化工行业的十个猜想 01 在碳中和大趋势下,中国能源结构、产业结构、消费结构将会发生重大区域性结构转变 首先,为了实现碳中和,中国在未来30年
热榜
1月
1年
全部
文章
视频
问答
用户排行榜
1月
1年
总榜
影响力
创作榜