曼大《Science》子刊:材料介电函数的自洽性,精确计算范德华力!
2021年6月21日 11:27
Casimir-van der Waals (vdW)力的理论计算研究的特点是,对许多已知材料,包括水,有大量不一致的结果和相互矛盾的报告,与实验测量结果相矛盾。尽管它对基本方面和实际应用方面的概念进步很重要,但缺乏准确确定Casimir-vdW力的通用框架。
在此,来自英国曼彻斯特大学的Mohsen MoazzamiGudarz&伊朗凝聚态国家实验室的Seyed Hamed Aboutalebi等研究者,提出了一个计算Casimir-vdW力的通用理论平台,该平台考虑了电子介电常数、光学带隙、密度和化学成分。相关论文以题为“Self-consistent dielectric functions of materials: Toward accurate computation of Casimir–van der Waals forces”发表在Science Advances上。
论文链接:
https://advances.sciencemag.org/content/7/22/eabg4041
1948年,卡西米尔提出理论认为,量子电磁波动或零点能量变化,会导致真空中完美的平行中性导体之间产生引力。后来,Lifshitz及其同事设计了一种卡西米尔-范德瓦尔斯(vdW)力的一般理论,使得从材料的复介电函数计算这些力成为可能。然而,到目前为止,尽管这些力在物理现象中很重要,如润湿和粘附、摩擦和聚合物流动、(生物)胶体稳定性、超分子化学、生物物理化学相互作用、蛋白质折叠、稳定性和变形,甚至麻醉剂的效力,但与此同时,许多不一致和矛盾的结果已广泛报道,使其难以定制Casimir-vdW的实际应用。
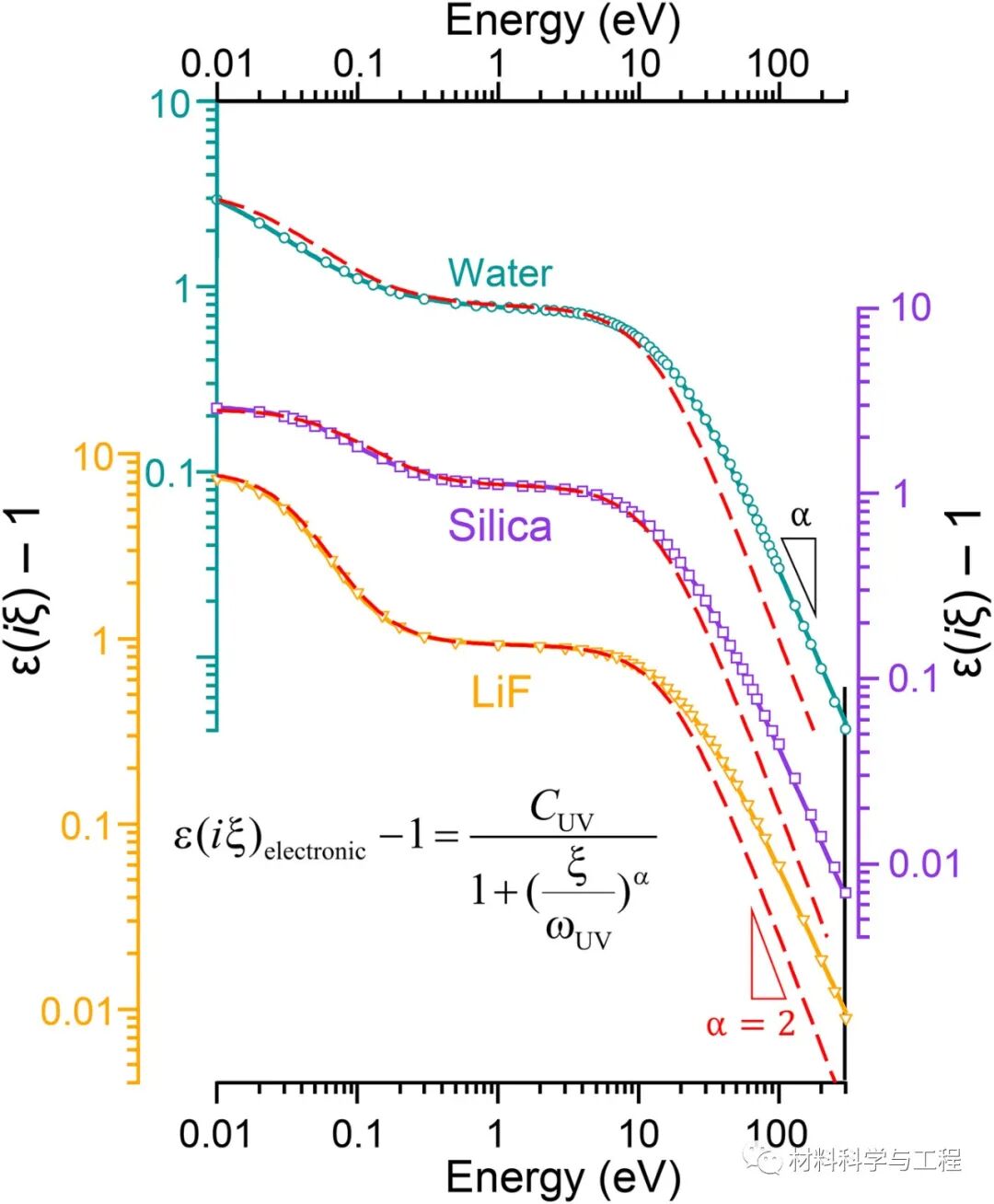
例如,水的介电函数被反复“改进”,一些早期的估计被证明是不准确的,但仍被许多研究者使用。另一个关键的例子是乙醇,它的介电函数是用错误的参数计算的,导致了对红外(IR)折射率的荒谬估计,远远高于硅的报告指数。类似的不准确性,也破坏了铁氟龙介电函数的估计。对于研究较少的材料,vdW相互作用的估计误差甚至更大。例如,氧化石墨烯在水中的近似Hamaker常数,在2.4和49 zJ之间变化。通常的误差,来自于不准确的估计介电函数,其基于单谐振子来解释光的紫外(UV)区域的吸收波段。
基于此,研究者提出了一个计算55种材料卡西米尔- vdw力所需的全频范围内的介电函数的理论框架,包括各种金属,半导体和绝缘体,有机和无机等。研究者利用光和规则和Kramers-Kronig关系,验证了编译数据的内部一致性。与此同时,研究者证明了基于这些数据计算的vdW力与实验测量的vdW力非常吻合。
图1 水的介电函数。
图2 改进的谐振子模型。
图3 用改进的谐振子建立半导体和绝缘体介电函数的电子部分的模型。
图4 金属中卡西米尔- vdw力大小的分析。
图5 Casimir-vdW力的测量与计算比较。
综上所述,研究者通过对大量不同材料的自洽介电函数的实验测量,引入了一种新的经验修正谐振子模型。这种改进的模型可以预测只有四个输入的半导体和绝缘体的电子极化:电子介电常数,光学带隙,密度和化学成分。基于改进模型计算的估计力,与实验测量的Casimir-vdW力非常吻合。在金属的例子中,研究者的分析表明,一旦系统中载流子与总电子的比例变小,带间跃迁对vdW-Casimir力大小的作用就变得至关重要。(文:水生)
本文来自微信公众号“材料科学与工程”。欢迎转载请联系,未经许可谢绝转载至其他网站。
实用!Origin软件使用经典问题集锦
免费下载:18款超实用软件轻松搞科研
欢迎留言,分享观点。点亮在看👇
工程师必备
- 项目客服
- 培训客服
- 平台客服
TOP




















