城市区域建筑抗震分析实例及应用
更新于2022年2月18日 12:10☞
1.研究背景
城市重要建筑的地震安全水平及韧性水平由于现代抗震及减震控制技术的大量应用正在获得实质性提高,但其水平到底如何,最终提高到什么水平才能满足经济发展对于地震安全性的诉求,需要一个客观的评价标准和技术体系。因此,基于韧性的抗震设计可以进一步指导工程结构的利益相关者采取更加合适的措施,去改进或提高其韧性能力,或者采取其它的防灾备灾预案,从而达到更加有效的减灾目标。而本实例主要从多尺度下进行抛砖引玉,给出区域建筑地震仿真分析的实例。本贴仅探究城市区域性建筑的建筑结构系统抗震分析,暂不讨论地震后城市引发的次生灾害及非结构构件等其他评估。旨在对于区域地震进行可用于韧性评估较准确的精细化分析。
由于土木工程的研究对象是材料、构件、结构、建筑、社区、城市等多尺度的范围,地震灾害会对各类受灾体造成损伤,因此无论是小到一种材料、一个个体,还是大到一座城市区域,都存在韧性的问题。从多尺度角度进行问题的拆分层次看,将区域建筑拆分成单体建筑,进而拆分成构件,进而研究材料本构。从该帖的验证研究思路将从本构模型验证到构件验证,进而到单体建筑最后到区域建筑模拟分析。
图 1-1 城市建筑地震安全性分析层次
☞
2.材料本构及构件模型解读与分析
2.1材料模型
当遭遇强烈地震作用时,结构将进入非线性阶段,其材料特性发生较大改变,只进行线弹性阶段的分析会造成较大误差,因此在进行建筑结构时程分析中应考虑材料的非线性。
2.1.1 混凝土
2.1.1.1常规墙板采用软件自带CDP
ABAQUS中,软件自带的有两种常用的适用于混凝土的本构材料模型,分别为混凝土弥散裂缝模型(Concrete Smeared Cracking)和混凝土塑性损伤模型(Concrete Damaged Plastici-ty),前者以裂缝模型为基础,一般适用于带有钢筋特性的混凝土,仅适用于单调加载分析;后者以损伤模型为基础,考虑了损伤效应,可用于往复荷载作用分析,适用于模拟地震工况下的混凝土力学行为。
在使用ABAQUS结合《混凝土结构设计规范》GB50010-2010对结构进行弹塑性分析时,其中规范中的“损伤演化参数”Dc与ABAQUS中的“损伤因子”dc并不是一个概念,Dc为应力应变曲线上的割线损伤,而dc为卸载刚度损伤。因而在根据规范中的本构模型计算输入ABAQUS塑性损伤参数的时候,要进行相应的转换。
一维混凝土材料模型采用规范指定的单轴本构模型,能反应混凝土滞回、刚度退化和强度退化等特性,其轴心抗压和轴心抗拉强度标准值按《混凝土结构设计规范》表4.1.3采用。混凝土单轴受拉的应力-应变曲线方程按附录C公式C.2.3-1~C.2.3-4计算。
混凝土材料进入塑性状态伴随着刚度的降低。如应力-应变及损伤示意图所示,其刚度损伤分别由受拉损伤参数dt和受压损伤参数dc来表达,dt和dc由混凝土材料进入塑性状态的程度决定。
二维混凝土本构模型采用弹塑性损伤模型,该模型能够考虑混凝土材料拉压强度差异、刚度及强度退化以及拉压循环裂缝闭合呈现的刚度恢复等性质。
当荷载从受拉变为受压时,混凝土材料的裂缝闭合,抗压刚度恢复至原有抗压刚度;当荷载从受压变为受拉时,混凝土的抗拉刚度不恢复,如下图所示。
图 2-2 CDP模型受拉性能示意图
图 2-3 CDP模型受压性能示意图
图 2-4 混凝土拉压刚度恢复示意图
根据Abaqus中的CDP模型开发ABSCDP V1.0,可充分考虑试验修正值和非弹性应变步长,程序截面见下图。
图 2-5 ABSCDP V1.0界面示意图
感谢您投上宝贵的一票,关于混凝土损伤模型及Abaqus-CDP参数详解,可参看我在技术邻的帖子(浅谈混凝土损伤模型及Abaqus中CDP的应用)
(2022.01.07更新)新插件下载可看帖子:Abaqus内置JYCDP插件
感谢您投上宝贵的一票,关于混凝土损伤模型及Abaqus-CDP参数详解,可参看我在技术邻的帖子(浅谈混凝土损伤模型及Abaqus中CDP的应用)
(2022.01.07更新)新插件下载可看帖子:Abaqus内置JYCDP插件
2.1.1.2关于杆系混凝土的UMAT/VUMAT子程序
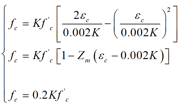
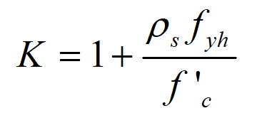
由于混凝土的CDP模型无法在杆系单元(B31/B32)中使用,所以这里采用了Kent-Park的本构关系,利用Fortran将该本构写入UMAT进行验证分析,并将UMAT的本构修改成VUMAT格式,对模型进行显式动力弹性分析。Kent-Park的本构关系其考虑了箍筋作用对混凝土强度和应变的提高及不同加载速率对应力-应变关系的影响,数学表达式如下:
其中
式中fc、εc分别为任一点的单轴压应力和相应的应力;f'c为圆柱体抗压强度;ρs为体积配箍率,fyh为箍筋的屈服强度;h''为箍筋约束核心区混凝土的高度;sh为箍筋间距。
(a) 骨架线
(b) 加卸载规则
图 2-6 混凝土单轴本构
2.1.2钢筋
ABAQUS软件自带的适用于动力分析下的钢材模型有等向强化模型与随动强化模型。等向强化即假设加载曲面是屈服曲面在形状、中心位置均不变的情况下做等向膨胀得到的;随动强化则假设加载曲面、屈服曲面只是发生中心位置的移动,两个曲面大小、形状保持一致。通过大量实验表明,材料的加载曲面与屈服曲面实际上既有中心位置的移动,也有曲面大小的改变,即介于等向强化和随动强化之间。
本次模型中,钢材的本构选用随动强化模型,需要弹性模量、屈服强度以确定本构关系。该模型可以考虑包辛格效应,能够较好地描述钢材在往复作用下的弹塑性发展,并有较高的计算效率。钢材的强屈比设定为1.2,极限应力所对应的极限塑性应变为0.025。
图 2-7 钢材动力硬化模型
2.2 构件建模
二维墙板采用分层壳单元,钢筋层采用钢材本构,混凝土采用CDP,内置本构已经过大量验证,这里不再验证。一维杆系单元采用自主开发UMAT/VUMAT子程序进行计算分析,为验证本构正确性,取清华大学钢筋混凝土框架及关键构件试验数据库中的混凝土框架柱来进行验证模型分析。
由图 2-10可知,模拟计算分析与试验的峰值与趋势吻合较好。模拟时,曲线负向向正向加载时刚度略大,原因是采用的钢筋本构为双折线,而钢筋存在软化现象。所以,将以上材料、构件模型综合起来即可建立超高层建筑与城市防灾仿真。
图 2-8 清华大学某钢筋砼框架柱试验
图 2-9 混凝土框架柱有限元模型
图 2-10 模拟与有限元对比
2.3 积分方法选取
对于城市防灾(地震)的分析,对结构进行的弹塑性分析将采用基于显式积分的动力弹塑性分析方法,这种分析方法未作任何理论的简化,直接模拟结构在地震力作用下的非线性反应,具有如下优越性:
(1)完全的动力时程特性:直接将地震波输入结构进行弹塑性时程分析,可以较好地反映在不同相位差情况下构件的内力分布,尤其是楼板的反复拉压受力状态;
(2)几何非线性:结构的动力平衡方程建立在结构变形后的几何状态上,“P-∆”效应,非线性屈曲效应等都被精确考虑;
(3)材料非线性:直接在材料应力-应变本构关系的水平上模拟;
(4)采用显式积分,可以准确模拟结构的破坏情况直至倒塌形态。
☞
3.高层建筑在罕遇地震下的动力弹塑性分析试算
目前,我国超高层建筑工程的建设规模已位居世界前列。超高层建筑体型优美,同时能为人们提供舒适办公和生活环境。由于其层数多,使用面积大,容纳人数较多,分析超高层结构在罕遇地震下的弹塑性响应,对于抗震设计有重要意义,并能实现城市建筑地震安全性水平及韧性的科学评价。
由于该分析的数据量较多,本文采用Matlab+Python的形式辅助Abaqus进行一系列分析及数据提取。
3.1 工程概况
本工程为某超高层写字楼,地面以上33层,标准层层高,采用现浇钢筋混凝土主次梁楼盖形式,主次梁和板的混凝土强度为C30,柱和剪力墙的混凝土强度为C45,有限元模型见图 3-1。
图 3-1 高层有限元模型
3.2 地震波的选取
图3-2、3-3分别给出了所输入的El波地震动加速度时程曲线、加速度反应谱。根据GB 50011-2010《建筑抗震设计规范》(2016年版)的规定,截取该地震波的有效波长前30s进行计算分析。修正X+0.85Y输入烈度为8度罕遇400Gal。
图 3-2 El波X、Y向加速度时程
图 3-3 El波X、Y向加速度反应谱
图 3-4 El波傅里叶谱
图 3-4 El三联谱
感谢您投上宝贵的一票,关于SignalData软件及使用教程,可参看我在技术邻的帖子(SignalData软件开发应用分享)
3.3 弹塑性时程分析结果
3.3.1结构动力特性
结构的动力特性如下表所示,一阶周期为4.17s。结构的前十阶模态如下图各图所示。
(a) 结构一阶振型
(b) 结构二阶振型
(c) 结构三阶振型
(d) 结构四阶振型
(e) 结构五阶振型
(f) 结构六阶振型
(g) 结构七阶振型
(h) 结构八阶振型
(i) 结构九阶振型
(j) 结构十阶振型
图 3-4 结构前10阶振型
3.3.2层间位移角
在该地震波情况下最薄弱的地方是5号楼层,且XY方向的最大层间位移角为1/91和1/34,最大顶点位移XY分别为0.144m和0.323m。
图 3-5 结构X、Y向层间位移角示意图
3.3.3基底剪力
由下图可得到,在该地震波情况下,X向的基地剪力为128.3MN,Y向的基地剪力为97.5MN。
图 3-7 X、Y向基底剪力
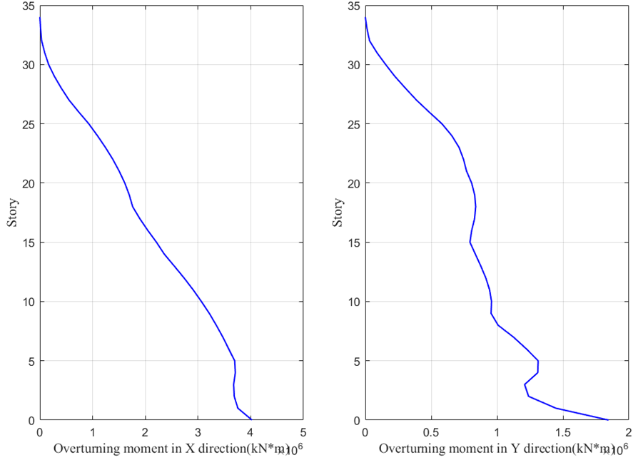
3.3.4层间剪力与倾覆力矩
图 3-8 X、Y向层间剪力
图 3-9 X、Y向倾覆力矩
3.3.5结构应力与损伤破坏
图 3-10 梁柱钢筋应力云图
图 3-11 墙板钢筋应力云图
图 3-12 墙板最终受压损伤示意图
图 3-13 墙板最终受拉损伤示意图
图 3-14 梁柱最终受压损伤示意图
图 3-15 梁柱最终受拉损伤示意图
图 3-16 结构变形示意图
☞
4.区域建筑抗震案例
由上可验证得到材料→构件→单体建筑的分析验证,进一步的将构建城市区域建筑进行抛砖引玉的浅析。建立的区域建筑群模型如下,仍采用El波8度罕遇地震进行输入。
图4-1 区域建筑模型
图4-2 区域建筑输入El地震波
表4-1 结构破坏的判别准则
图 4-1 城市变形示意图
图 4-2 城市梁柱受拉损伤过程示意图
表4-2 区域建筑损伤统计
图 4-2 区域建筑地震过程示意图
☞
5.结论
本文基于有限元软件Abaqus,建立了一套从材料、构件、建筑再到城市的地震安全性的有限元技术体系。通过与既有试验数据进行对比,表明本文的本构模型具有较好的精度。并建立某超高层结构以及城市的动力弹塑性分析模型,通过施加了El波,研究了某超高层结构以及区域建筑在遭受罕遇地震作用下的弹塑性时程响应。结果表明:这套技术体系可用于建筑地震安全性水平及结构层面水平的分析。基于Abaqus为总结建筑地震韧性的评价流程做一个铺垫分析方法,对后续重要建筑地震韧性评价研究给了方法,为后续建筑地震韧性的定义及等级划分标准,以及对地震韧性的相关评价指标,建立损伤指数与功能损失之间的关系,做好铺垫分析。
仿真计算采用的设备基本情况:
CPU:Inetl(R)Core(TM)i9-10980XECPU@3.00Hz 3.00Ghz (36核)
内存(RAM):128GB
总计算耗时约:36h~50h
为TA投票
工程师必备
- 项目客服
- 培训客服
- 平台客服
TOP




















